12501 (647585)
Текст из файла
Влияние природы углеродных наполнителей на свойства и эксплуатационные характеристики обожженных анодов
А. Н. Савина, А. Н. Селезнев, В. Д. Лазарев, А. Ф. Жаров, В. В. Веселков
Алюминиевая промышленность является одним из основных потребителей электродного кокса. В качестве кокса-наполнителя для приготовления анодной массы на отечественных алюминиевых заводах успешно применяются нефтяной и пековый коксы. Для производства обожженных анодов используется только нефтяной кокс, дефицит которого в стране составляет -500 тыс. т/год [1] и в ближайшей перспективе маловероятно увеличение объемов производства. В то же время известен успешный опыт промышленного изготовления конструкционных графитов для нужд атомной энергетики на основе пековых коксов [2]. Обожженные аноды являются менее ответственными изделиями, чем графитированная продукция, и пековые коксы можно использовать в качестве сырья для их производства. Учитывая дефицит нефтяного электродного кокса и растущие цены на нефтепродукты, изучение возможности применения пекового кокса в производстве обожженных анодов достаточно актуально.
Для сравнительных исследований физико-химических свойств образцов, прессованных и обожженных в лаборатории, были применены прокаленный пековый кокс производства ЮАР; смесь пековых коксов, поставляемых для Иркутского алюминиевого завода (ИркАЗ); нефтяные коксы Пермского, Ангарского НПЗ и прокаленный нефтяной кокс СПЗ «Сланцы».
На первом этапе исследований были проведены физико-химические анализы указанных коксов (табл. 1) для определения содержания в них золы и
Таблица 1
Содержание зольных примесей в коксах
| Примесь | Содержание по Т"! 1913-001-00200992-%, не более | У Нефтяные коксы | Пековые коксы | |||
| ' Пермский НПЗ | Ангарский НПЗ | СПЗ «Сланцы» | смесь ИркАЗ | ЮАР | ||
| Si | 0,08 | 0,05 | < 0,01 | 0,04 | 0,06 | 0,02 |
| Fe | 0,08 | 0,01 | 0,01 | 0,04 | 0,09 | 0,02 |
| V | 0,018 | 0,047 | 0,015 | 0,008 | < 0,001 | < 0,001 |
| Na | 0,06* | 0,01 | 0,01 | 0,02 | 0,02 | следы |
| S | 1,2 | зд | 2,0 | 1,6 | 0,2 | не опр. |
| Зола | 0,6 | 0,2 | 0,4 | 0,6 | 0,3 | 0,1 |
изучения ее состава. В электролитическом способе получения алюминия наиболее вредными примесями являются железо, кремний, ванадий и сера. Первые три при электролизе полностью переходят в металл, загрязняя его.
Вредное влияние серы связано с ее окислением до сернистого ангидрида, который взаимодействует с металлическими конструкциями электролизера. Образующаяся окалина попадает в расплав, загрязняя алюминий железом. Кроме того, сера накапливается в растворах газоочистки (при «мокром» способе очистки газов) и требуется дополнительный расход содового раствора для вывода сульфатов из процесса.
Известно, что натрий является катализатором реакции горения углерода. Большое содержание данного металла приводит к повышенному расходу анодов, что увеличивает себестоимость алюминия. Поэтому содержание натрия в коксе также лимитируется. Отмечается сравнительно высокое содержание натрия в смеси коксов с ИркАЗа и в коксе СПЗ «Сланцы».
Анализируя полученные данные, можно отметить повышенное содержание железа в смеси коксов с ИркАЗа по сравнению с установленными требованиями, что может быть связано с загрязнением коксов при шихтовке, перевалке и хранении на заводском складе.
Нефтяные коксы отличаются более высоким содержанием серы и ванадия. Особенно это касается кокса Пермского НПЗ. По содержанию золы все коксы вполне укладываются в требования ТУ 1913-00200992-95. Выделяется только кокс с СПЗ «Сланцы», содержащий золу на верхнем допустимом пределе. Таким образом, с точки зрения химической чистоты пековые коксы не уступают нефтяным, а кокс производства ЮАР даже превосходит их.
При выборе кокса-наполнителя для производства обожженных анодов, жесткие требования предъявляются не только к химической чистоте. Сырье и технология должны обеспечить, с одной стороны, получение анодов с высокой плотностью и низкими пористостью и реакционной способностью при электролизе, с другой — достаточно высокую механическую прочность и электропроводность анодов.
Поэтому на втором этапе были исследованы объемно-структурные и электромеханические характеристики коксов. Для стабилизации свойств все коксы (кроме прокаленного пекового кокса производства ЮАР и прокаленного нефтяного кокса СПЗ «Сланцы») прокаливали при температурах 1100—1220 °С: нефтяные коксы — до действительной плотности (а?Дейст) 2,02, 2,05, 2,07 г/см3; смесь пековых коксов с ИркАЗа — до 1,98, 2,00, 2,02 г/см3. Полученные результаты представлены на рис. 1. На графиках не приведены характеристики по коксу ЮАР, но все показатели по этому коксу превосходят аналогичные для смеси коксов с ИркАЗа.
У всех коксов с повышением температуры прокаливания отмечено закономерное повышение объемной плотности и насыпного веса. Также было ожидаемым уменьшение величины удельного электросопротивления с ростом температуры их обработки. Обращает на себя внимание более высокая прочность пековых коксов.
Рис. 1. Зависимость свойств кокса от действительной плотности:
а — удельное электросопротивления (УЭС), мкОм • м; б — коэффициент прочности, отн. ед; в — насыпной вес, г/см3; г — общая пористость, %; 1 —кокс Пермского НПЗ, 2 — кокс Ангарского НПЗ, 3 — кокс СПЗ «Сланцы», 4 — кокс ИркАЗ
На основании результатов исследований можно сделать вывод, что пековые коксы имеют более плотную структуру и превосходят нефтяные по показателям объемного и насыпного весов и прочности при близких значениях электропроводности.
Также можно отметить специфичные свойства нефтяного кокса, прокаленного на СПЗ «Сланцы», который при одинаковой с нефтяными коксами действительной плотности имеет похожие с пековыми коксами объемно-структурные характеристики. Вероятно, это объясняется свойствами коксов, которые шихтуются перед прокаливанием, и особенностями технологии процесса прокалки кокса в ретортных печах.
Для технологии производства обожженных анодов, как и для других видов прессованной углеродной продукции, очень важным является правильный подбор упругих и пластических свойств кокса-наполнителя. Данные свойства характеризуются коэффициентом упругого расширения (Кур) и коэффициентом релаксации (Крел). Методика и устройство для определения коэффициентов разработана А. Ф. Красюковым [3].
Известно, что чем выше способность материала к релаксации (пластичность), тем он лучше уплотняется без разрушения частиц при наложении давления. В то же время, чем больше упругое расширение кокса, тем в большей степени спрессованный материал стремится вернуться в исходное состояние после снятия нагрузки. Понятно, что с повышением Кур кокса увеличивается вероятность расслоения образца и образования трещин.
Учитывая разнонаправленность изменения Крел и Кур при наложении давления прессования, А.Ф. Красюков ввел понятие коэффициента прессовой добротности (Адц), характеризующего преобладание пластических свойств над упругими.
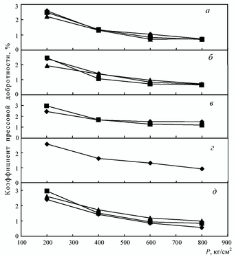
На третьем этапе, используя указанный подход к оценке технологических свойств наполнителей, проводили изучение прессовых характеристик прокаленных коксов (фракция 1,0—1,5 мм) в интервале давления прессования 200—800 кг/см2. При увеличении поверхности шлифов коксов в 1000 раз также изучалась их структура.
В интервале давления от 200 до 600 кг/см2 (см. рис. 2) происходит значительное снижение Кпд на основании чего можно сделать вывод, что в данном интервале давление прессования может влиять на физические свойства «зеленых» и обожженных образцов. При более высоком давлении от 600 до 800 кг/см2 зависимости становятся более монотонными и значения отличаются друг от друга незначительно. В указанном интервале начинает происходить раздавливание материала, вследствие этого нарушается начальный фракционный состав шихты и возникают предпосылки к возникновению трещин в «зеленых» образцах за счет сил упругого расширения после окончания прессования.
Установлено, что нефтяные коксы обладают меньшим АДЦ, за исключением кокса СПЗ «Сланцы», что указывает на их худшие прессовые характеристики и увеличение вероятности возникновения трещин и расслоений. Отмечены близкие значения АГВД пековых коксов и смеси нефтяных СПЗ «Сланцы», что вполне согласуется с полученными данными при изучении объемно-структурных характеристик коксов.
Исследование структуры коксов проводили на оптическом микроскопе. На рис. 3 светлые участки соответствуют более близкой к поверхности части кокса. Полученные снимки свидетельствуют о выраженной изотропной структуре пековых коксов, в отличие от нефтяных, имеющих более анизотропную микроструктуру с существенной долей волокнистых составляющих.
Рис. 2. Зависимость коэффициента прессовой добротности (ЛГ„д) °т давления прессования (Р):
а — кокс Пермского НПЗ, » — 4гейСт = 2,02; • — йдейст = 2,05; А — йдейст = 2,07;
б — кокс Ангарского НПЗ, » — йдейст = 2,02; • — йдейсг = 2,05; А — йдейсг = 2,07;
в — кокс СПЗ «Сланцы», » — йдейст = 2,03; • — йдейст = 2,07;
г — кокс производства ЮАР, » — йдейст = 1,99;
д — смесь коксов с ИркАЗа, » — 4вйст = 1>98; • — 4»cr = 2,00; А — йдейст = 2,02
Кокс СПЗ «Сланцы» отличается большими областями мелкопористой структуры (светлые участки) в сравнении с другими нефтяными коксами. В то же время, в сравнении с исковыми коксами, поры у этого кокса более крупные и вытянутые. Согласно имеющимся представлениям более упругими свойствами будет обладать материал, который имеет заметную долю волокнистой структуры. Этим объясняются более низкие значения Кт нефтяных коксов Ангарского и Пермского НПЗ.
На четвертом этапе изучались физико-химические свойства «зеленых» и обожженных образцов на основе представленных коксов, прокаленных предварительно при разных температурах. Гранулометрический состав шихты и удельная поверхность пыли, кроме содержания связующего, задавались близкими для всех образцов. Количество пека для пековых и нефтяных коксов изменялось в соответствии с их различной пористостью. Для пековых коксов содержание связующего составляло 15%, для нефтяных 16%. Смешивание шихты, прессование и обжиг производили при равных параметрах для всех видов коксов. Результаты физико-химических испытаний представлены в табл. 2.
Обожженные образцы на основе пековых коксов характеризуются меньшей пористостью, более высокими значениями кажущейся плотности, их электропроводность, механическая прочность, теплопроводность и модуль упругости также выше, чем у образцов из нефтяных коксов.
В то же время химическая стойкость в среде углекислого газа у образцов на основе пековых коксов с действительной плотностью 2,00 и 2,02 г/см3 значительно ниже, чем у образцов на основе пермского и ангарского коксов. Однако при плотности 1,98 г/см3 для смеси коксов ИркАЗа и 1,99 г/см3 для кокса ЮАР показатели стойкости приближаются к значениям нефтяных коксов.
Характеристики
Тип файла документ
Документы такого типа открываются такими программами, как Microsoft Office Word на компьютерах Windows, Apple Pages на компьютерах Mac, Open Office - бесплатная альтернатива на различных платформах, в том числе Linux. Наиболее простым и современным решением будут Google документы, так как открываются онлайн без скачивания прямо в браузере на любой платформе. Существуют российские качественные аналоги, например от Яндекса.
Будьте внимательны на мобильных устройствах, так как там используются упрощённый функционал даже в официальном приложении от Microsoft, поэтому для просмотра скачивайте PDF-версию. А если нужно редактировать файл, то используйте оригинальный файл.
Файлы такого типа обычно разбиты на страницы, а текст может быть форматированным (жирный, курсив, выбор шрифта, таблицы и т.п.), а также в него можно добавлять изображения. Формат идеально подходит для рефератов, докладов и РПЗ курсовых проектов, которые необходимо распечатать. Кстати перед печатью также сохраняйте файл в PDF, так как принтер может начудить со шрифтами.















