12091 (647393)
Текст из файла
Абсорбция газов
Абсорбция газов (лат. absorptio, от absorbeo-поглощаю), объемное поглощение газов и паров жидкостью (абсорбентом) с образованием раствора. Применение абсорбции в технике для разделения и очистки газов, выделения паров из паро-газовых смесей основано на разл. р-римости газов и паров в жидкостях. Процесс, обратный абсорбции., наз. десорбцией; его используют для выделения из р-ра поглощенного газа и регенерации абсорбента. Поглощение газов металлами (напр., водорода палладием) наз. окклюзией. асорбция .- частный случай сорбции.
Различают физ. и хим. абсорбцию. При физической абсорбции энергия взаимод. молекул газа и абсорбента в р-ре не превышает 20 кДж/моль. При химической абсорбции (или абсорбция с хим. р-цией, часто наз. хемосорбцией) молекулы растворенного газа реагируют с активным компонентом абсорбента-хемосорбентом (энергия взаимод. молекул более 25 кДж/моль) либо в р-ре происходит диссоциация или ассоциация молекул газа. Промежут. варианты абсорбции характеризуются энергией взаимод. молекул 20-30 кДж/моль. К таким процессам относится растворение с образованием водородной связи, в частности А. ацетилена диметилформамидом.
Статика абсорбции. Характеризует термодинамич. равновесие р-ра с паро-газовой смесью, а также материальный и энергетич. балансы процесса. При физ. абсорбции с образованием идеального р-ра для р-рите-ля и растворенного газа во всем интервале изменения состава в соответствии с законом Рауля растворимость газа:
где Р°2- давление паров над чистым сжиженным газом при данной т-ре системы; р2 - парциальное давление газа; звездочкой обозначаются параметры в-ва в условиях равновесия. Индексы "1" и "2" относятся соотв. к р-рителю и газу. Идеальная р-римость x*2,ид-ф-ция только т-ры, св-ва р-ри-теля влияния на нее не оказывают.
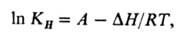
Зависимость р-римости газов х*2 от их парциального давления при физ. абсорбции в бесконечно разбавленном р-ре (х2 ->0) и при низких давлениях Р в системе описывается законом Генри (рис. 1, прямые 1-3):
где КH-коэф. Генри, изменяющийся с изменением т-ры. Если абсорбция проводят под давлением, но х*2 ->0, р-римость газа можно рассчитать по уравнению Кричевского - Казарновского:
где Кф-коэф. физ. р-римости, равный КH при х2-> 0 и Р-> -> 0; f*2-летучесть газа;
-парциальный мольный объем растворенного газа в жидкой фазе при бесконечном разбавлении; R- универсальная газовая постоянная; Po1-давление насыщ. паров чистого р-рителя при абс. т-ре системы Т. Если 0 < х*2
(0,05-0,1) молярной доли (разбавленные р-ры), то при низких давлениях справедливо ур-ние Сеченова:
где А1,2-коэф., не зависящий от состава р-ра.
Рис. 1. Зависимость р-римости х2* нек-рых газов в жидкостях парциального давления газов над растворами: I- СО2 в воде при 20 °С; 2-СО2 в пропиленкар-бонате при 25 С; 3 С2Н4 в диметилформамиде при 25 °С; 4-СО, в водном о-ое содержащем 25% К2СО3 и 10% диэтаноламина при 60°C 5-СО, в 2,5 н водном р-ре моноэтаноламина при 20°С; х2* - в м3 газа (при нормальных условиях - 20°С и 0,1 МПа) на 1 м3 жидкости. 2
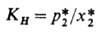
Рис. 2. Зависимость коэф. Генри (в мм рт. ст./молярные доли) для р-ров газов в додекане от т-ры.
Зависимость растворимости газа от температуры как при физ., так и при хим. абсорбции приближенно описывается ур-нием:
где
-тепловой эффект растворения газа. Если р-р при А. нагревается,
. С изменением т-ры
обычно либо остается постоянной, либо незначительно изменяется. Р-римость газа в смешанном растворителе (содержащем малополярные компоненты) можно оценить по соотношению:
где КН.си, КН.N-коэф. Генри соотв. для газа в смеси р-рителей и для р-ров этого газа в чистых компонентах р-рителя;
-коэф. активности компонентов р-рителя (молярные доли
относятся к смеси р-рителей, свободной от растворенного газа).
Нек-рые данные о р-римости газов приведены в таблице, где газы и р-рители расположены в порядке возрастания энергетич. параметров
и
потенциала Леннард-Джонса. Эти параметры м. б. использованы для приближенной оценки р-римости газов при низких давлениях по ур-нию:
где
-р-римость в 1 м3 газа, приведенная к нормальным условиям (20 °С, 0,1 МПа) на 1 м3 абсорбента; kв- константа Больцмана; Р0, T0-соотв. давление и т-ра при нормальных условиях; Р, Г-то же при рабочих условиях. Р-римость умеренно растворимых газов в данном р-рителе возрастает линейно с увеличением
Ниже приведены значения параметров потенциала Лен-нард-Джонса
(в К) для газов
и жидкостей
:
Тепловой эффект растворения газа АЯ линейно изменяется с увеличением
; соотв. р-римость плохо р-римых газов
, в основном Не, Ne, H2, N2, CO, Аr, О2 и NO, с возрастанием т-ры увеличивается (за исключением водных р-ров), а р-римость хорошо р-римых газов
уменьшается. Типичные примеры для бесконечно разбавленных р-ров приведены на рис. 2. Р-римость таких газов, как H2S, COS, SO2, HC1, NH3, C12, обычно значительно выше, чем рассчитанная по ур-нию (1), вследствие специфич. взаимод. с молекулами р-рителя.
При хим. абсорбции поглотит. способность абсорбента (емкость, соответствующая предельному кол-ву газа, к-рый поглощается единицей объема абсорбента) и
больше, чем при физ. абсорбция. При необратимой р-ции (напр., при поглощении СО2 р-рами NaOH с образованием Na2CO3) равновесное давление газа над р-ром равно нулю, пока в р-ре есть непрореагировавший абсорбент, и поглотит. способность определяется стехиометрией р-ции. При обратимой р-ции давление газа над р-ром равно нулю, но по сравнению с физ. абсорбцией резко изменяется характер зависимости р-римости газа от давления (рис. 1, кривые 4,5). Так в простейшем случае, когда в р-ре происходит только одна р-ция и активности компонентов р-ра равны их концентрациям, имеем:
где Кх = ASKфKP-константа равновесия системы газ-жидкость; Кр — константа равновесия р-ции;
-равновесная степень превращения абсорбента; x1- начальная концентрация абсорбента; h-число молей продуктов р-ции на 1 моль прореагировавшего газа; j-число молей абсорбента, вступивших во взаимод. с 1 молем растворенного газа; A5-коэф., зависящий от стехиометрии.
Коэф. ускорения абсорбции могут быть достаточно велики. Так, в случае поглощения СО2 в насадочной колонне при одинаковых нагрузках по фазам, т-ре и давлении, используя 2 н. водный р-р КОН (15% К содержится в р-ре в виде карбоната), можно получить
по сравнению с физ. абсорбцией СО2 водой. Гипотетич. идеальный р-ритель, не обладающий сопротивлением переносу в жидкой фазе и имеющий бесконечно большую реакц. способность, обеспечил бы
Увеличение
и
(иногда в неск. раз) может происходить под влиянием поверхностной конвекции, вызываемой локальными градиентами поверхностного натяжения, к-рые возникают в ряде случаев в результате массоотдачи, особенно при одноврем. протекании р-ций (напр., при абсорбции СО2 водными р-рами моноэтаноламина). Это необходимо учитывать при подборе новых хемосорбентов. Значение
если р-ция приводит к возникновению поверхностной конвекции, следует определять на основе коэф. массоотдачи при физ. абсорбции, найденного в условиях воздействия на процесс конвективных микропотоков вблизи границы раздела фаз.
При расчете скорости абсорбции часто используют коэф. массо-передачи, определяемые по гипотетич. поверхностным составам и, следовательно, по гипотетич. движущим силам. Обычно принимают, что коэф. массопередачи, отнесенный к концентрации в газе, Кг [кмоль/(м2 *МПа*с)] обусловлен движущей силой (у2-у*2), где у*2-молярная доля поглощаемого компонента в газе, к-рая отвечает равновесию с жидкостью, имеющей средний объемный состав х2; у2 -средний объемный состав газа в данном сечении аппарата. Тогда получим:
Аналогично можно найти движущую силу (x*2 — х2) и коэф. массопередачи Кж. Из выражений (2) и (3) следует:
где т = (y2,гр — y*2)/(x2,гр - х2)-наклон равновесной линии в интервале концентраций от х2, у2до x2,гр, y2,гр. Выражение (4) записано для локального коэф. массопередачи и показывает, что этот коэффициент зависит от наклона линии равновесия. Наиб. удобно рассчитывать коэф. массопередачи по ур-нию (4) в случаях, когда наклон равновесной линии остается почти постоянным в рабочем интервале концентраций. При искривленной линии равновесия необходимо учитывать зависимость m от концентрации.
Абсорбция осуществляют в массообменных аппаратах, наз. абсорберами,-тарельчатых, насадочных (устаревшее название-скрубберы), пленочных, роторно-пленочных и распылительных. Схема материальных потоков в абсорбере представлена на рис. 3. Связь между концентрациями поглощаемого компонента в газе у2 и в жидкости в любом горизонтальном сечении аппарата находят из ур-ния материального баланса (т. наз. ур-ние рабочей линии). В общем случае это ур-ние имеет вид:
где L и G-расходы жидкости и газа. Когда объемы фаз в ходе абсорбции изменяются незначительно, рабочая линия-прямая:
Здесь индексом "н" обозначается ниж. сечение противоточного абсорбера или десорбера.
Существенное влияние на ход рабочей и равновесной [у* =f(x*2)] линий могут оказать тепловые эффекты абсорбции. Ход рабочей линии может сильно зависеть от интенсивности испарения р-рителя (особенно при десорбции). Если абсорбция сопровождается значит. выделением теплоты, а кол-во абсорбированного в-ва достаточно велико, р-ритель может сильно нагреваться при прохождении через колонну. Примеры-осушка воздуха с помощью конц. H2SO4, растворение НС1 в воде при получении конц. соляной к-ты. Температурный режим абсорбера, от к-рого зависят равновесное давление поглощаемого компонента, т.е. движущая сила процесса, физ.-хим. св-ва системы и ход рабочей линии рассчитывают по ур-нию теплового баланса абсорбера.
Рис. 3. Схема материальных потоков в абсорбере и хол рабочей и равновесной линий (а-при противотоке, 6-при прямотоке): ЛВ-рабочая линия; ОС-равновесная линия; и
-движущая сила соотв. в газовой фазе в верх, и ниж. сечениях
аосороера и в газовой и жидкой фазах на ступени.
При отсутствии внеш. подвода или отвода теплоты, при одинаковых т-рах газа и жидкости и без учета испарения и конденсации абсорбента и теплот растворения др. газов изменение т-ры абсорбента в любом сечении абсорбера составляет:
, где Ср - теплоемкость р-ра,
-изменение концентрации газа в рассматриваемом сечении. Обычно принимают, что т-ра жидкости на межфазной границе и в объеме одинаковая. Поскольку наиб. концентрация растворенного газа и соотв. наиб. тепловыделение наблюдаются вблизи пов-сти контакта фаз, т-ра межфазной пов-сти, определяющая истинное равновесие, часто существенно отличается от т-ры объема жидкости. Методы учета этого явления разрабатываются.
Чтобы вычислить пов-сть массообмена F, необходимую для обеспечения желаемого изменения состава газа в абсорбере, можно использовать локальные значения скорости массопередачи [см. ур-ние (3)1 совместно с ур-нием материального баланса по абсорбируемому компоненту. При постоянстве коэф. массоперелачи по высоте аппарата:
где G-мольная массовая скорость газа, кмоль/(м2*с);
Характеристики
Тип файла документ
Документы такого типа открываются такими программами, как Microsoft Office Word на компьютерах Windows, Apple Pages на компьютерах Mac, Open Office - бесплатная альтернатива на различных платформах, в том числе Linux. Наиболее простым и современным решением будут Google документы, так как открываются онлайн без скачивания прямо в браузере на любой платформе. Существуют российские качественные аналоги, например от Яндекса.
Будьте внимательны на мобильных устройствах, так как там используются упрощённый функционал даже в официальном приложении от Microsoft, поэтому для просмотра скачивайте PDF-версию. А если нужно редактировать файл, то используйте оригинальный файл.
Файлы такого типа обычно разбиты на страницы, а текст может быть форматированным (жирный, курсив, выбор шрифта, таблицы и т.п.), а также в него можно добавлять изображения. Формат идеально подходит для рефератов, докладов и РПЗ курсовых проектов, которые необходимо распечатать. Кстати перед печатью также сохраняйте файл в PDF, так как принтер может начудить со шрифтами.














