12091 (647393), страница 2
Текст из файла (страница 2)
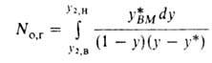
No,r-общее число единиц переноса в газовой фазе:
Этот важный параметр зависит только от технол. режима процесса, определяется положением рабочей и равновесной линий и показывает, как влияет движущая сила абсорбции на высоту аппарата. Число единиц переноса, а следовательно, и высота абсорбера, бесконечно велики, если абсорбер работает при миним. кол-ве циркулирующего абсорбента, когда
. При увеличении
габариты аппарата уменьшаются, но возрастают расход энергии и степень растворения плохо растворимых компонентов газовой смеси, что приводит либо к их потере и загрязнению извлекаемого газа, либо к дополнит. затратам на разделение растворенных газов.
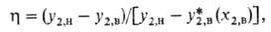
При расчете абсорберов, особенно тарельчатых, часто используют понятие эффективности ступени, или степени приближения к равновесию
. Эту величину можно определить как отношение фактически реализованного изменения состава к изменению, к-рое произошло бы при достижении равновесия:
где индексом "в" обозначается верх. сечение противоточного аппарата.
Во мн. типах ступенчатых контактных устройств достигнута
. Это означает, что при мат. анализе таких устройств правомерно использовать понятие о равновесной ступени. Рассчитав число теоретич. тарелок и зная эффективность ступени
, можно определить число реальных ступеней, необходимых для обеспечения заданной степени разделения.
Основы технологии абсорбционных процессов. А. часто осуществляют в виде абсорбционно-десорбционного цикла (циклич. процесс), однако стадия десорбции может отсутствовать, если в результате А. получают готовый продукт или регенерация поглотителя невозможна (разомкнутый процесс). На рис. 4 приведена одна из простейших схем абсорбционного разделения газов. Для снижения расхода энергии иногда применяют двух- и многопоточные схемы с отводом грубо- и тонкорегенерированного р-ров в разных сечениях десорбера и подачей их в разл. точки абсорбера либо направляют насыщ. р-р абсорбента в разные точки десорбера и т.п.
Рис. 4. Принципиальная схема абсорбционно-десорбционного цикла: 1 -абсорбер; 2-насос; 3-десорбер; 4 - холодильник; 5-теплообменник; 6-кипятильник; 7 - конденсатор.
Регенерацию абсорбентов (десорбцию газов) можно проводить снижением давления (вплоть до вакуумирования), нагреванием, отдувкой плохо р-римыми газами и парами кипящего абсорбента, а также сочетанием этих приемов.
Физ. абсорбция осуществляют, как правило, при т-ре окружающей среды (20-40°С) или при пониженных т-рах, т.к. р-римость хорошо р-римых газов возрастает с уменьшением т-ры. Кроме того, при снижении т-ры уменьшается р-римость плохо р-римых газов, т.е. увеличивается селективность и снижаются потери плохо р-римого компонента и загрязнение им извлекаемого газа, а также уменьшаются давление паров абсорбента и его потери. При хим. А. увеличение т-ры приводит к значит. росту коэф. массопередачи и, помимо этого, к возрастанию р-римости мн. абсорбентов в разбавителях, а следовательно, к увеличению до определенного предела общей поглотит. способности абсорбента.
При физ. абсорбции с повышением парциального давления поглощаемого компонента поглотит. способность абсорбента почти всегда увеличивается приблизительно пропорционально парциальному давлению или концентрации газа. Поэтому кол-во циркулирующего абсорбента почти не зависит от концентрации извлекаемого газа в исходной газовой смеси. При хим. А. характер изменения р-римости газа с ростом его парциального давления сильно зависит от константы равновесия р-ции и степени превращения абсорбента. В результате при увеличении концентрации извлекаемого газа кол-во циркулирующего абсорбента возрастает.
Физ. абсорбция, как правило, наиб. эффективна при грубой очистке от больших кол-в газа под давлением. Хим. абсорбция чаще всего применяют при извлечении малых кол-в примесей и при тонкой очистке; при этом обычно существенно выше селективность абсорбента, ниже кол-во циркулирующего р-ра вследствие большой поглотит. способности, меньше расход электроэнергии, но выше расход теплоты.
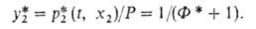
Режим абсорбции. При расчете абсорбции обычно задают параметры очищаемого газа (давление, т-ру, состав) и предъявляют требования к очищенному газу. Необходимый для осуществления абсорбции расход жидкости (кол-во циркулирующего абсорбента) определяется материальным балансом и кинетикой абсорбции. Концентрация у2,в извлекаемого компонента в очищенном газе зависит от х2,в:
где
-степень приближения к равновесию на выходе газа из абсорбера, зависящая от скорости процесса. В общем случае:
где G2-кол-во извлекаемого газа. При необратимой р-ции миним. кол-во циркулирующего поглотителя определяют из стехиометрич. ур-ния р-ции и находят
.
Соотношение расходов жидкости и газа определяется ур-нием:
При разомкнутых процессах обычно
, при циркуляционных - х2,в
х2,р (концентрация газа в регенерированном р-ре). В простейшем случае (при
и
) имеем:
. Если р-римость описывается законом Генри, то
.При этом кол-во циркулирующего абсорбента не зависит от кол-ва извлекаемого газа. При достижении равновесия на выходе из абсорбера
Важный параметр процесса - т. наз. абсорбционный фактор:
к-рый при полном извлечении газа
1. Этот фактор равен отношению тангенсов углов наклона рабочей и равновесной линий, к-рые выражают зависимость соотв. реальной и равновесной концентраций извлекаемого компонента в газовой фазе от его концентрации в жидкости. Параметр А одновременно характеризует избыток кол-ва циркулирующего абсорбента по сравнению с минимально необходимым для полного извлечения р-римого газа.
Режим десорбции газов (регенерации абсорбентов). Максимально допустимую концентрацию растворенного компонента в регенерированном р-ре
определяют из условия равновесия на выходе из абсорбера (при противотоке). Минимально достижимую концентрацию газа
в том же р-ре при десорбции в результате снижения давления, нагревания или отдувки парами абсорбента находят с помощью условия равновесия на выходе р-ра из десорбера:
где Р и Рпар- общее давление в регенераторе и давление паров абсорбента. В нек-рых случаях, особенно при регенерации хемосорбентов, предельная глубина регенерации определяется равновесием в к.-л. другом (не в нижнем) сечении десорбера. Это т. наз. критич. сечение определяют после построения равновесной и рабочей линий десорбции либо спец. расчетом.
При регенерации отдувкой плохо р-римым газом предельная глубина регенерации не ограничена давлением и т-рой в десорбере, но зависит, как и при отдувке парами абсорбента, от расхода отдувочного агента. Его миним. расход
находят из условия соблюдения ур-ния (5) не только на выходе р-ра из десорбера, но и в любом его сечении. Верх, сечение противоточного аппарата, где газ выходит из оегенератора, часто является лимитирующим. Тогда
= G2Ф*, где Ф* = р*пар/p2*(t,x2,в)-отношение давления паров абсорбента к давлению газа над р-ром. Если отдувка производится плохо р-римым газом, то Ф * = = (Р — p2,в*)/p2,в. При отдувке парами кипящего р-рителя, когда т-ра в критич. сечении десорбера задана, Ф = = pпар/(Р - pпар). Окончат. расход отдувочного агента можно определить только после построения рабочей и равновесной линий, нахождения местоположения в аппарате критич. сечения и оптимизации абсорбционно-десорбционного цикла.
При десорбции парами кипящего абсорбента давление, т-ра и концентрация газа в р-ре связаны изобарной равновесной зависимостью Tкип от х2, где Tкип-т-ра кипения р-ра при давлении Р в регенераторе. Расчет десорбции смеси газов проводят на основе ур-ния, аналогичного (5):
где
-сумма давлений растворенных газов. Режим десорбции находят совместным решением ур-ния (6) с ур-ниями материального баланса по каждому компоненту методом последоваг. приближений. Равновесную линию десорбции строят по ур-нию:
Построение рабочей линии при десорбции парами кипящего абсорбента значительно отличается от построения рабочей линии абсорбера и заключается в совместном решении ур-ний материального и теплового балансов по участкам аппарата при заданном общем расходе теплоты. Рабочая и равновесная линии при десорбции (рис. 5) могут пересечься не в конечных точках х2,в или х2,н, как при А., а в промежуточном (критическом) сечении десорбера. Это характерно для "сильных" хемосорбентов (напр., при десорбции СО2 из водных р-ров моноэтаноламина) при их глубокой регенерации. Миним. расход отдувочного агента определяется равновесием в критич. сечении и зависит от глубины регенерации.
Рис. 5. Равновесная (/) и рабочие (2, 3) линии десорбции СО2 из водного раствора моноэтаноламина при давлении 0,18 МПа и разл. глубине регенерации: x2, у2-концентрации СО2 соотв. в газе и жидкости.
Др. параметры десорбции, в частности число единиц переноса, рассчитывают так же, как при А. Однако коэф. массопередачи могут неск. отличаться от величин, найденных при А., вследствие наличия пузырьков газа (пара), возникающих при кипении жидкости или в результате сброса давления, влияния теплоты конденсации отдувочного агента, существенного изменения расходов фаз по высоте аппарата. Скорость хим. А. зависит от скорости прямой р-ции образования соединения между поглощаемым газом и активной частью хемосорбента, а скорость десорбции-от скорости разложения этого соединения и т.п.















