10784 (646705)
Текст из файла
Введение
Липидами (от греч. lipos — эфир) называют сложную смесь эфироподобных органических соединений с близкими физико-химическими свойствами, которая содержится в клетках растений, животных и микроорганизмах. Липиды широко распространены в природе и вместе с белками и углеводами составляют основную массу органических веществ всех живых организмов, являясь обязательным компонентом каждой клетки. Они широко используются при получении многих продуктов питания, являются важными компонентами пищевого сырья, полупродуктов и готовых пищевых продуктов, во многом определяя их пищевую и биологическую полноценность и вкусовые качества.
Липиды не растворимы в воде (гидрофобны), хорошо растворимы в органических растворителях (бензине, диэтиловом эфире, хлороформе и др.).
В растениях липиды накапливаются, главным образом, в семенах и плодах. Ниже приведено содержание липидов (%) в разных культурах:
Подсолнечник (семянка) .................................................. 30—58
Хлопчатник (семена)......................................................... 20—29
Соя (семена) ...................................................................... 15—25
Лен (семена) ...................................................................... 30—48
Арахис (ядро) .................................................................... 50—61
Маслины (мякоть) .............................................................28—50
Конопля (семена).............................................................. 32—38
Тунг (ядро плода) ..............................................................48—66
Рапс (семена) .....................................................................45—48
Подсолнечник (семянка) .................................................. 30—58
Хлопчатник (семена)......................................................... 20—29
Соя (семена) ...................................................................... 15—25
Лен (семена) ...................................................................... 30—48
Арахис (ядро) .................................................................... 50—61
Маслины (мякоть) ..............................................................28—50
Конопля (семена)............................................................... 32—38
Тунг (ядро плода) ...............................................................48—66
Рапс (семена) .....................................................................45—48
У животных и рыб липиды концентрируются в подкожных, мозговой и нервной тканях и тканях, окружающих важные органы (сердце, почки). Содержание липидов в тушке рыб (осетров) может достигать 20 – 25%, сельди – 10%, у туш наземных животных оно сильно колеблется: 33% (свинина), 9,8% (говядина), 3,0% (поросята). В молоке оленя – 17 – 18%, козы – 5,0%, коровы – 3,5 – 4,0% липидов. Содержание липидов в отдельных видах микроорганизмов может достигать 60%. Содержание липидов в растениях зависит от сорта, места и условий их произрастания; у животных — от вида, состава корма, условий содержания и т.д.[1]
-
Классификация липидов
1.1 Классификация липидов по строению и способности к гидролизу
По строению и способности к гидролизу липиды разделяют:
- омыляемые;
- неомыляемые
Омыляемые липиды при гидролизе образуют несколько структурных компонентов, а при взаимодействии с щелочами – соли жирных кислот.
По физиологическому значению липиды делят:
- запасные (резервные);
- структурные
Резервные липиды депонируются в больших количествах и при необходимости расходуются для энергетических нужд организма. К резервным липидам относят триглицериды. Структурные липиды (в первую очередь, фосфолипиды) образуют сложные комплексы с белками (липопротеиды), углеводами, из которых построены мембраны клеток и клеточных структур, и участвуют в разнообразных сложных процессах, протекающих в клетках. По массе они составляют значительно меньшую группу липидов (в масличных семенах 3—5%).
Липиды делят на две основные группы:
- простые (нейтральные);
- сложные
К простым нейтральным липидам (не содержащим атомов азота, фосфора, серы) относят производные высших жирных кислот и спиртов: глицеролипиды, воски, эфиры холестерина, гликолипиды и другие соединения.
Молекулы сложных липидов содержат в своем составе не только остатки высокомолекулярных карбоновых кислот, но и фосфорную и серную кислоты. К сложным липидам относят: фосфолипиды (глицерофосфолипиды, сфингофосфолипиды), стероиды (холестерол, эргостерол, ланостерол, стигмастерол, экдистероиды) и др.[3]
1.2 Простые липиды
1.2.1 Ацилглицерины
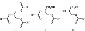
Наиболее важная и распространенная группа простых нейтральных липидов — ацилглицерины. Ацилглицерины (или глицериды) — это сложные эфиры глицерина и высших карбоновых кислот (табл. 1). Они составляют основную массу липидов (иногда до 95%) и, по существу, именно их называют жирами или маслами. В состав жиров входят, главным образом, триацилглицерины (I), а также диацилглицерины (II) и моноацилглицерины (III) (рис.1).
Рисунок 1 – триацилглицерины (I), диацилглицерины (II) и моноацилглицерины (III); R, R', R'' – углеводородные радикалы.
Таблица 1 – Основные карбоновые кислоты, входящие в состав природных масел и жиров
| Кислота | Формула | Число атомов С |
| Насыщенные кислоты | ||
| Лауриновая | СН3-(СН2)10-СООН | 12 |
| Миристи новая | СН3-(СН2)12-СООН | 14 |
| Пальмитиновая | СН3-(СН2)14 - СООН | 16 |
| Стеариновая | СН3-(СН2)16-СООН | 18 |
| Арахиновая | СН3-(СН2)18-СООН | 20 |
| Ненасыщенные кислоты | ||
| Олеиновая | СН3- -(СН2)7-СН=СН-(СН2)7-СООН | 18 |
| Эруковая | СН3- -(СН2)-СН=СН-(СН2)11-СООН | 22 |
| Линолевая | СН3- (СН2)4-СН=СН-СН2-СН=СН-(СН2)7-СООН | 18 |
| Линоленовая | СН3- -(СН2-СН=СН)3-(СН2)7-СООН | 18 |
| Арахидоновая | СН-(СН2)3-(СН2-СН=СН)4-(СН2)3-СООН | 20 |
| Оксикислоты | ||
| Рициноленовая | СН3- -(СН2)5-СНОН-СН2-СН=СН-(СН2)7-СООН | 18 |
Триацилглицерины (ТАГ), молекулы, которых содержат одинаковые остатки жирных кислот, называются простыми, в противном случае — смешанными. Природные жиры и масла содержат, главным образом, смешанные триацилглицерины. Чистые ацилглицерины — бесцветные вещества без вкуса и запаха. Окраска, запах, и вкус природных жиров определяются наличием в них специфических примесей, характерных для каждого вида жира. Температуры плавления и застывания ацилглицеринов не совпадают, что обусловлено наличием нескольких кристаллических модификаций. По современным представлениям, молекулы триацилглицеринов в кристаллах в зависимости от ориентации кислотных групп могут иметь форму вилки 1, кресла 2, стержня 3 (рис. 2).
Рисунок 2 – Возможные конфигурации и характер упаковки молекул триацилглицеринов в кристаллах
Температура плавления триацилглицеринов, содержащих остатки трансненасыщенных кислот, выше, чем у ацилглицеринов, содержащих остатки цисненасыщенных кислот с тем же числом атомов углерода. Каждое масло характеризуется специфическим коэффициентом преломления (тем больше, чем выше ненасыщенность жирных кислот, входящих в его состав, и молекулярная масса).
Смеси индивидуальных ацилглицеринов либо образуют твердые растворы (то есть смешанные кристаллы), либо дают «эвтектики» (механические смеси кристаллов). Эвтектическая смесь имеет температуру плавления более низкую, чем исходные компоненты по отдельности.
Разница в температурах плавления глицеридов разного состава лежит в основе демаргаринизации — выделения из смеси наиболее высокоплавкой фракции глицеридов (получение хлопкового пальмитина, пальмового стеарина). Плотность триацилглицеринов 900 – 960 кг/м3 (при 15°С); она уменьшается с ростом длины цепи жирно-кислотных остатков и возрастает с увеличением числа изолированных двойных связей.[1]
В организме человека липиды играют важную роль в процессах метаболизма. В лимфе и кровяном русле триацилглицеролы входят в состав липопротеиновых комплексов, доставляя и распределяя по всем тканям высшие жирные кислоты, которые наряду с глюкозой являются важнейшим источником энергии.[2]
1.2.2 Воски
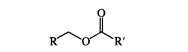
Другой важной группой простых липидов являются воски. Восками называют сложные эфиры высших одноосновных карбоновых кислот (C°18—С°30) и одноатомных (содержащих одну группу ОН) высокомолекулярных (с 18—30 атомами углерода) спиртов (рис.3).
Рисунок 3 – Структура восков: R, R’ – углеводородные радикалы
Воски широко распространены в природе. В растениях они покрывают тонким слоем листья, стебли, плоды, предохраняя их от смачивания водой, высыхания, действия микроорганизмов. Содержание восков в зерне и плодах невелико. В оболочках семян подсолнечника содержится до 0,2% восков от массы оболочки, в семенах сои — 0,01%, риса — 0,05%. [1]
Воска выполняют в организме преимущественно защитную функцию, которая сводится к образованию защитных покрытий. Воски — важный компонент воскового налета виноградной ягоды — прюина. Воска входят в состав жира, покрывающего кожу, шерсть, перья.[2]
1.2.3 Гликолипиды
Гликолипиды входят в состав простых липидов растительных масел и жиров. Гликолипидами называется большая и разнообразная по строению группа нейтральных липидов, в состав которых входят остатки моноз. Они широко (обычно в небольших количествах) содержатся в растениях (липиды пшеницы, овса, кукурузы, подсолнечника), животных и микроорганизмах. Гликолипиды выполняют структурные функции, участвуют в построении мембран, им принадлежит важная роль в формировании клейковинных белков пшеницы, определяющих хлебопекарное достоинство муки. Чаще всего в построении молекул гликолипидов участвуют D-галактоза, D-глюкоза, D-манноза.[1]
1.3 Сложные липиды
1.3.1 Фосфолипиды
Характеристики
Тип файла документ
Документы такого типа открываются такими программами, как Microsoft Office Word на компьютерах Windows, Apple Pages на компьютерах Mac, Open Office - бесплатная альтернатива на различных платформах, в том числе Linux. Наиболее простым и современным решением будут Google документы, так как открываются онлайн без скачивания прямо в браузере на любой платформе. Существуют российские качественные аналоги, например от Яндекса.
Будьте внимательны на мобильных устройствах, так как там используются упрощённый функционал даже в официальном приложении от Microsoft, поэтому для просмотра скачивайте PDF-версию. А если нужно редактировать файл, то используйте оригинальный файл.
Файлы такого типа обычно разбиты на страницы, а текст может быть форматированным (жирный, курсив, выбор шрифта, таблицы и т.п.), а также в него можно добавлять изображения. Формат идеально подходит для рефератов, докладов и РПЗ курсовых проектов, которые необходимо распечатать. Кстати перед печатью также сохраняйте файл в PDF, так как принтер может начудить со шрифтами.















