10784 (646705), страница 3
Текст из файла (страница 3)
Таблица 3 – Содержание жирных кислот (в %) и характеристики масел и жиров
| Жиры и масла | Содержание и состав жирных кислот | ||
| насыщенных | ненасыщенных | основных | |
| Масла | |||
| Соевое | 14 – 20 | 75 – 86 | С218 46 – 65 |
| Хлопковое | 22 – 30 | 75 – 76 | С218 45 – 56 |
| Подсолнечное | 10 – 12 | до 90 | С218 46 – 70 |
| Рапсовое | 2 – 6 | 94 – 98 | С118 6 – 44 Эруковая 1 – 52 |
| Оливковое | 9 – 18 | 82 – 91 | С118 70 – 82 |
| Кокосовое | До 90 | 10 | С012 44 – 52 С014 13 – 18 |
| Пальмовое | 44 – 57 | 43 – 56 | С016 39 – 47 С218 45 – 50 |
| Пальмоядровое | 79 – 83 | 17 – 21 | С016 10 – 19 |
| Масло какао | 58 – 60 | 40 – 42 | С118 23 – 25 С016 31 – 34 |
| Льняное | 6 – 9 | 91 – 94 | С318 41 – 60 |
| Животные жиры | |||
| Говяжий | 45 – 60 | 43 – 52 | С118 24 – 29 43 – 44 |
| Бараний | 52 – 62 | 38—48 | С018 25 – 31 С118 36 – 42 |
| Свиной | 33 – 49 | 48—64 | С118 25 – 32 34 – 44 |
| Китовый | 10 – 22 | 48—90 | — |
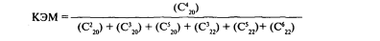
Способность жирных кислот, входящих в состав липидов, наиболее полно обеспечивать синтез структурных компонентов клеточных мембран характеризуют с помощью специального коэффициента (Институт питания РАМН), отражающего соотношение количества арахидоновой кислоты, которая является главным представителем полиненасыщенных жирных кислот в мембранных липидах, к сумме всех других полиненасыщенных жирных кислот с 20 и 22 атомами углерода. Этот коэффициент получил название коэффициента эффективности метаболизации эссенциальных жирных кислот (КЭМ):
По современным представлениям наиболее целесообразно использовать в каждый отдельный прием пищи жиры, имеющие сбалансированный состав, а не потреблять жировые продукты различного состава в течение суток.
Важной в питании группой липидов являются фосфолипиды, участвующие в построении клеточных мембран и транспорте жира в организме, они способствуют лучшему усвоению жиров и препятствуют ожирению печени. Общая потребность человека в фосфолипидах до 5—10 г в сутки.
Отдельно хочется остановиться на физиологической роли холестерина. Как известно, при повышении его уровня в крови опасность возникновения и развития атеросклероза возрастает; 80% холестерина содержится в яйцах (0,57%), сливочном масле (0,2-0,3%), субпродуктах (0,2-0,3%).
Суточное его потребление с пищей не должно превышать 0,5 г. Растительные жиры — единственный источник витамина Е и β-каротина, животные жиры — витаминов А и D.[1]
Заключение
Выполняя столь значимые функции в организме человека, жиры являются важной составляющей пищевого рациона. Для поддержания оптимального здоровья необходимо придерживаться общих правил рационального питания и потребления жиров, в частности. Средняя физиологическая потребность в жирах для здорового человека составляет около 30 % общей калорийности пищи, третью часть потребляемых жиров должны составлять растительные масла. В некоторых специальных диетах долю растительных жиров увеличивают до 50 % и более. Жиры улучшают вкус пищи и вызывают чувство сытости. В процессе обмена веществ они могут образовываться из углеводов и белков, но в полной мере ими не заменяются. Пищевая ценность жиров определяется их жирнокислотным составом, наличием незаменимых факторов питания, степенью усвояемости и удобоваримости. Биологическая активность пищевых жиров определяется содержанием в них незаменимых полиненасыщенных жирных кислот. Поскольку основным источником ПНЖК являются растительные масла, то они и обладают наибольшей биологической активностью. Высока и усвояемость растительных масел.[6]
Список используемой литературы
-
Пищевая химия, под ред. профессора А.П. Нечаева, Санкт – Петербург, ГИОРД: 2004
-
Биохимия, В.П. Комов, Москва, ДРОФА: 2004
-
Биохимия, И.К. Проскурина, Москва, ВЛАДОС: 2004
-
Биологическая химия, под ред. Н.И. Ковалевской, Москва, ACADEMA: 2005
-
www.vseki.ru
-
www.argo-shop.com















