5221 (643563)
Текст из файла
Зміст
Вступ
1. Гігієнічне нормування радіаційного опромінення
2. Біологічна дія радіаційного опромінення
Висновок
Список використаних джерел
Вступ
Іонізуючі випромінювання існували на Землі ще задовго до появи на ній людини. Проте вплив іонізуючих випромінювань на організм людини був виявлений лише наприкінці XIX ст. з відкриттям французького вченого А. Бекереля, а потім дослідженнями П’єра і Марії Кюрі явища радіоактивності.
Поняття «іонізуюче випромінювання» об'єднує різноманітні види, різні за своєю природою, випромінювання. Подібність їх полягає в тому, що усі вони відрізняються високою енергією, мають властивість іонізувати і руйнувати біологічні об'єкти.
Іонізуюче випромінювання - це будь-яке випромінювання, взаємодія якого із середовищем призводить до утворення електричних зарядів різних знаків. Розрізняють корпускулярне і фотонне іонізуюче випромінювання.
Корпускулярне - потік елементарних частинок із масою спокою, відмінною від нуля, що утворюються при радіоактивному розпаді, ядерних перетвореннях, або генеруються на прискорювачах. Це а і b частки, нейтрони, протони та ін.
Фотонне - потік електромагнітних коливань, що поширюється у вакуумі з постійною швидкістю 300000 км/с. Це у випромінювання і рентгенівське випромінювання.
Вони різняться умовами утворення і властивостями: довжиною хвилі й енергією. До фотонного випромінювання належить й ультрафіолетове випромінювання - найбільш короткохвильова частина спектра сонячного світла (довжина хвилі 400*10-9м).
Випромінювання характеризуються за своєю іонізуючою і проникаючою спроможностями. Іонізуюча спроможність випромінювання визначається питомою іонізацією, тобто числом пар іонів, що утворюються частинкою в одиниці об'єму, маси середовища або на одиниці довжини шляху. Різноманітні види випромінювань мають різноманітну іонізуючу спроможність.
1. Гігієнічне нормування радіаційного опромінення
Під впливом радіоактивного випромінювання в організмі людини, який на 65 % складається з води, відбуваються складні фізичні та біологічні процеси. Молекули води розриваються і створюють вільні іони Н і ОН. За наявності кисню ці іони перетворюються у сполуки гідрогенпероксиду (НО2) і пероксиду водню (Н2О2), які є сильними окислювачами. Ці продукти вступають у хімічні реакції з молекулами тканини, створюючи невластиві здоровому організму сполуки.
Стан ураженої людини залежить від величини поглинутої дози і часу, протягом якого було отримано дозу радіації. Це пояснюється тим, що організм людини здатний виводити уражені клітини та народжувати замість загиблих нові. Час реакції людського організму на дію опромінення становить 4 доби, після чого починається відновлення уражених клітин.
Великі дози радіації зовнішнього опромінення (у 100 рад і більше), отримані за короткий термін, спричиняють променеві захворювання різного ступеня (табл. 1).
Таблиця 1 - Характеристика променевої хвороби у людей
| Ступінь | Доза, рад | Симптоми |
| I (легкий) | 100–200 | Слабкість, головний біль, нудота, втома. Людина одужує через 1–2 місяці. Без смертельних випадків |
| II (середній) | 200–400 | Розлад шлунку, підвищення температури до 38°, кровотеча ясен. Одужання через 2–3 місяці. Смертність від інфекційних ускладнень до 20 % уражених. |
| III (важкий) | 400–600 | Загальний стан тяжкий, підвищення температури до 40°, кровотеча, виснаження. Одужання через 5–10 місяців. Смертність до 50 %. |
| IV (вкрай важкий) | >600 | Летальний кінець протягом 5–10 діб у 100 % опромінених. |
Санітарно-гігієнічне нормування доз радіоактивного опромінення населення. Гранично допустимі дози, що не призводять до променевих захворювань, такі: 50 рад у разі одноразового опромінення протягом 4-х діб, 100 рад у разі багаторазового опромінення протягом 30 діб, 200 рад – протягом 3-х місяців, 300 рад – протягом одного року.
Гранично допустимі ефективні дози (еквівалентні дози) опромінення за 1 рік від усіх індустріальних джерел випромінювання (встановлені Нормами радіаційної безпеки НРБУ-97) для різних категорій населення такі (табл. 2).
Категорія А (персонал) – особи, які працюють із джерелами – 20 мЗв (2 бер) (середня за будь-які 5 років або 50 мЗв за окремий рік). Для жінок до 45 років і вагітних – у 10 раз менша.
Категорія Б (персонал) – особи, які безпосередньо не працюють з джерелами випромінювання, але перебувають на проммайданчиках і можуть отримувати опромінення 2 мЗв (0,2 бер).
Категорія В – усе населення – 1 мЗв (0,1 бер). До цієї дози не включені: доза, отримана під час медичного обстеження (лікування), від природних джерел, у разі аварійного опромінення.
Таблиця 2 - Норми еквівалентної дози зовнішнього опромінення окремих органів і тканин (мЗв/рік)
| Категорії населення | Органи, тканини тіла | ||
| Кришталик ока | Шкіра | Кисті та стопи | |
| А | 150 | 500 | 500 |
| Б | 15 | 50 | 50 |
| В | 15 | 50 | – |
Структура опромінення людей в нормальних умовах протягом одного року така:
- від природного радіаційного фону – 0,2 бер;
- медична рентгенодіагностика – 0,15 бер;
- будівельні матеріали – 0,1 бер;
- інші джерела випромінювання – 0,05 бер,
- тобто сумарно 0,45–0,5 бер за 1 рік.
Природний радіаційний фон обумовлений космічним випромінюванням та природними радіоактивними речовинами. Для України він становить в середньому 0,01–0,03 мР/год.
Допустимі норми аварійного опромінення за 1 рік такі:
- для населення – 5 бер;
- для персоналу – 25 бер.
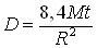
Визначення доз радіоактивного опромінення від точкового джерела
Дозу радіації D, яка отримана або може бути отримана людиною від точкового джерела випромінювання (джерело можна вважати точковим, якщо його лінійні розміри у 5-10 разів менші, ніж відстань до об’єкта опромінення), визначають за формулою, Р:
де А – активність джерела випромінювання, мКі;
t – час опромінення, год;
R – відстань від джерела до об’єкта опромінення, см;
– іонізаційна гамма-стала радіонукліда, Р/год.
Існують таблиці гамма-сталих для різних радіонуклідів. Наприклад,
радію становить 8,4, кобальту – 13,5, йоду – 2,3, стронцію – 3,5 Р/год (табл. 3).
Гамма-стала
ізотопу – потужність дози в повітрі (Р/год), яку створює точкове джерело цього ізотопу активністю А = 1 мКі на відстані R = 1 см без початкової фільтрації.
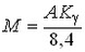
На практиці для визначення кількості ізотопу замість активності А в одиницях мілікюрі (мКі) використовують іншу одиницю – еквівалент 1 міліграма радію (мг-екв. радію) М – активність будь-якого радіоактивного ізотопу, гамма-випромінювання якого створює таку ж потужність експозиційної дози, що й 1 мг радію (8,4 Р/год).
Гамма-еквівалент ізотопу М зв’язаний з його активністю А (мКі) через гамма-сталу
ізотопу співвідношення
, де 8,4 – гамма-стала радію.
Таблиця 3 - Гамма-стала Кg та активність А, що відповідає одному грам-еквіваленту радію деяких радіоактивних ізотопів
| Номер в періодичній системі елементів | Ізотопи | Масове число (атомна маса) А | Гамма-стала | Активність А, що відповідає грам-еквіваленту радію | Період напіврозпаду Т |
| 11 | Натрій | 24 | 19 | 0,44 | 15 год |
| 25 | Марганець | 56 | 8,42 | 1 | 2,57 год |
| 27 | Кобальт | 60 | 13,5 | 0,626 | 2,271 року |
| 26 | Залізо | 59 | 6,75 | 1,25 | 44,589 доби |
| 30 | Цинк | 65 | 2,85 | 2,98 | 243,9 доби |
| 38 | Стронцій | 90 | 3,50 | 2,4 | 29,12 року |
| 53 | Йод | 131 | 2,3 | 3,7 | 8,04 доби |
| 55 | Цезій | 137 | 3,55 | 2,36 | 30 років |
| 88 | Радій | 226 | 8,4 | 1 | 160 років |
Тоді формула для розрахунку дози радіації від точкового джерела має такий вигляд, Р:
.
2. Біологічна дія радіаційного випромінювання
Особливу загрозу для здоров’я людей та існуванню природних біоценозів становить забруднення біосфери радіоактивними речовинами, які небезпечні своїм іонізуючим випромінюванням. Розрізняють іонізуюче випромінювання природного і штучного походження. До недавнього часу, до середини ХХ ст., основним джерелом іонізуючого випромінювання були природні джерела – Космос, гірські породи та вулканічна діяльність. У різних регіонах Землі рівень природної радіації сильно різниться, збільшуючись у десятки й сотні разів у районах родовищ уранових руд, радіоактивних сланців тощо. До зон підвищеної радіоактивності в Україні належать Жовті води, Кіровоградська область, Хмельник, Миронівка, Полісся та ін.
Сьогодні основними джерелами радіоактивного забруднення біосфери є джерела антропогенного походження: випробовування ядерної зброї, аварії на атомних електростанціях, підводних човнах та виробництвах радіоактивних матеріалів тощо.
Розрізняють кілька видів іонізуючого випромінювання. Під час радіоактивного розпаду утворюються a(альфа)–, b(бета)– і g(гамма)–частинки. Альфа-випромінювання є потоком позитивного заряджених ядер гелію, бета-випромінювання – потік негативно заряджених швидких електронів і гамма-випромінювання – короткохвильове випромінювання електромагнітної природи. Альфа-випромінювання проникає на відстань від кількох сантиметрів у повітрі й кількох міліметрів – у тканинах, гамма – випромінювання – на відстань до сотень метрів. Радіація - це потік різних видів випромінювання, які утворюються в процесі радіоактивного розпаду і взаємодіють з навколишнім середовищем. Кожний вид радіонуклідів розпадається з певною швидкістю, яка характеризується періодом напіврозпаду - часом, протягом якого число атомів даного радіонукліду зменшується вдвоє.
Для вимірювання ступеня радіаційної небезпеки використовують такі показники: експозиційну дозу, поглинену дозу та еквівалентну дозу, які вимірюються певними одиницями.
Характеристики
Тип файла документ
Документы такого типа открываются такими программами, как Microsoft Office Word на компьютерах Windows, Apple Pages на компьютерах Mac, Open Office - бесплатная альтернатива на различных платформах, в том числе Linux. Наиболее простым и современным решением будут Google документы, так как открываются онлайн без скачивания прямо в браузере на любой платформе. Существуют российские качественные аналоги, например от Яндекса.
Будьте внимательны на мобильных устройствах, так как там используются упрощённый функционал даже в официальном приложении от Microsoft, поэтому для просмотра скачивайте PDF-версию. А если нужно редактировать файл, то используйте оригинальный файл.
Файлы такого типа обычно разбиты на страницы, а текст может быть форматированным (жирный, курсив, выбор шрифта, таблицы и т.п.), а также в него можно добавлять изображения. Формат идеально подходит для рефератов, докладов и РПЗ курсовых проектов, которые необходимо распечатать. Кстати перед печатью также сохраняйте файл в PDF, так как принтер может начудить со шрифтами.
















