649 (642178)
Текст из файла
Магнитное поле в кольцевом шихтованном сердечнике с анизотропными свойствами
Современную электроэнергетику отличают разнообразием конструктивных исполнений и режимов работы силовых электротехнических устройств (СЭУ), высокие удельные нагрузки всех элементов последних, использование для ферромагнитных шихтованных сердечников (ШС) лучших марок холоднокатаных листовых электротехнических сталей (ЛЭС) со свойственной им анизотропией магнитных свойств (АМС) [1]. В этих условиях применение традиционных методик электромагнитных расчетов становится затруднительным из-за появления дополнительных погрешностей, обусловленных не учетом фактического характера распределения вектора магнитной индукции
в анизотропном магнитопроводе. Постоянное стремление к оптимизации конструктивных решений, расширение возможных режимов работы делают необходимым привлечение к расчету аппарата электромагнитного поля [2, 3].
Как показывают научные исследования, сдерживающим фактором применения прогрессивных методик становится отсутствие необходимого набора справочной информации на магнитные свойства электротехнических сталей и в частности векторных характеристик намагничивания
[4], где
- вектор напряженности магнитного поля (МП).
Для обоснования необходимости учета векторного характера магнитной анизотропии используем метод математического моделирования на примере ШС кольцевой формы, где влияние стыков исключено, а магнитная анизотропия проявляется в наиболее явной форме.
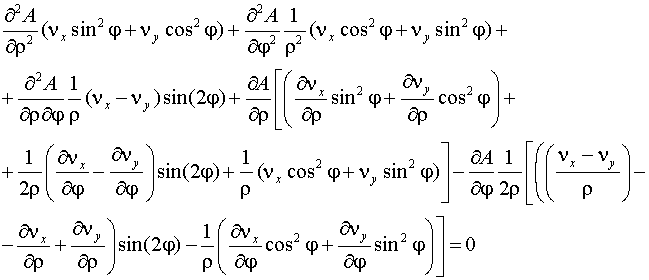
Для определения магнитного поля в кольцевом анизотропном ШС решаем краевую задачу при заданном магнитном потоке, соответствующем амплитуде перемагничивания, в цилиндрической системе координат
относительно векторного магнитного потенциала. Окончательное расчетное дифференциальное уравнение в частных производных имеет вид:
|
| (1) |
где
;
- нелинейные удельные магнитные сопротивления определяемые через соответствующие проекции
и
на оси x и y, совпадающие с осями магнитной анизотропии, соответственно, = 0 и 90о. Символ z при векторном потенциале опущен.
Уравнение (1) является нелинейным и аналитического решения не имеет. Решение последнего может быть получено одним из известных численных методов.
Рис. 1. Принцип измерения напряженности магнитного поля в различных точках по радиальной координате кольцевого сердечника.
На основе численного метода конечных разностей производится расчет магнитного поля кольцевого ШС в функции отношения радиусов r, степени АМС К [4], и амплитуды средней по сечению магнитной индукции ВМср. При моделировании варьировалось отношение радиусов r, степень АМС К и уровень насыщения характеристики намагничивания. Результаты моделирования показали, что с ростом К существенно возрастает неоднородность МП в области кольцевого сердечника, где направления вектора непосредственно прилегают к оси легкого намагничивания ЛЭС, причем характер распределения качественно отличается от случая К = 1 (изотропного материала). Увеличение усиливает эту неоднородность МП в сердечнике. При значительных насыщениях, последняя приближается к распределению в изотропном кольцевом сердечнике.
Р
ис. 2. Зависимости В*(r) в кольцевом сердечнике из стали 2412, в угловых положениях = 0 и 90o в ненасыщенных режимах (Вмср 0,8 Тл). Rв и Rн - внутренний и наружный радиусы; В* = Вм/Вмср - относительное значение магнитной индукции.
При моделировании МП в кольцевом ШС принимается ряд допущений, которые могли повлиять на точность расчета. Для математической модели и обоснования правомерности принятых допущений проведены специальные экспериментальные исследования на кольцевых ШС, изготовленных из холоднокатаных ЛЭС 3413 и 2142 с разными уровнями магнитной анизотропии.
Из одного рулона каждой стали были изготовлены и совместно подвергнуты восстановительному отжигу в проходной печи пакеты стандартных полосовых образцов (для различных направлений намагничивания) и кольцевых сердечников. Полосовые образцы для получения необходимой для расчетов исходной информации о магнитных свойствах материала вырубались под углами к направлению прокатки = 20о, 30о, 55о, 75о, 90о и вдоль НП ( = 0). Кольцевые сердечники с отношением радиусов r = 2,1, имели диаметры, соответственно Дн = 231,2 мм, Двн = 110 мм (рис.1). Ожидалось, что большое r приведет к значительному перераспределению МП по высоте спинки сердечника, а размер ширины спинки 60,6 мм обеспечит достаточную разрешающую способность в определении измерения магнитной индукции по радиальной координате.
Р
ис. 3. Зависимости В*(r) в кольцевом сердечнике из стали 3413, в угловых положениях = 0 и 90o в ненасыщенных режимах (Вмср 0,8 Тл). Rв и Rн - внутренний и наружный радиусы; В* = Вм/Вмср - относительное значение магнитной индукции.
Для исключения влияния механических напряжения сердечники собирались без стягивающих усилий. При этом также контролировался согласованный способ шихтовки отдельных колец. Чтобы при локальных измерениях результаты гарантировали достоверность, какие-то ни было сверления пакета исключались. Для доступа к боковой поверхности пакет собирался из двух полупакетов с воздушным промежутком, где можно было бы разместить датчик-зонд напряженности МП. В угловых положениях сердечника = 0 и = 90о, совпадающих с осями магнитной анизотропии материала, были предусмотрены радиальные каналы, позволяющие передвигать датчик напряженности вдоль радиальной координаты и осуществлять измерения касательной составляющей напряженности Нм при различных значениях амплитуды средней по сечению магнитной индукции (рис. 1). Поскольку из результатов математического моделирования МП анизотропного ШС известно, что на осях магнитной анизотропии радиальные составляющие векторов
и
отсутствуют, по измеренным значениям Нм и кривой намагничивания можно определить соответствующие значения Bм. Таким образом, устанавливался характер распределения Bм по радиусу при различных насыщениях сердечника. Все измерения производились при синусоидальном магнитном потоке на частоте f = 50 Гц.
На рис. 2 и 3 представлены зависимости магнитной индукции (в относительной форме) от радиальной координаты в угловых положениях, соответствующих осям магнитной анизотропии ( = 0 и 90о) для обеих марок сталей - 3413 (К = 7) и 2412 (К = 1,6). Указанные кривые характерны для ненасыщенных режимов работы. На этом же рисунке точками отмечены результаты измерений, которые подтверждают хорошую сходимость с расчетом.
Таким образом, в результате моделирования МП кольцевого ШС установлена необходимость использования при расчетах векторных характеристик намагничивания, что особенно важно для текстурованных сталей с большими К. Определяющее влияние на характер МП оказывают угловые характеристики магнитной анизотропии (В, ) [4]. Использование при расчетах МП одних только справочных характеристик Н(В, ), то есть при условии = 0 (где Н - проекция вектора
на вектор
) приводит к такому же распределению МП при математическом моделировании, как и в случае отсутствия анизотропии (К = 1). Следует заметить, что для других случаев использования текстурованных ЛЭС в ШС СЭУ анизотропия будет накладывать условия на рабочие характеристики магнитопроводов, и это необходимо учитывать эти поля.
Магнитное поле Земли
Механизм возникновения, предложения по его экспериментальной проверке и использованию
Существует ряд гипотез, объясняющих возникновение магнитного поля Земли. В последнее время получила развитие теория, связывающая возникновение магнитного поля Земли с протеканием токов в жидком металлическом ядре. Подсчитано, что зона, в которой действует механизм «магнитное динамо» находится на расстоянии 0,25...0,3 радиуса Земли [1].
Следует заметить, что гипотезы, объясняющие механизм возникновения магнитного поля планет, довольно противоречивы и до настоящего времени экспериментально не подтверждены.
Что касается магнитного поля Земли, то достоверно установлено, что оно чутко реагирует на солнечную активность. В то же время вспышка на Солнце не может оказать заметного влияния на ядро Земли. С другой стороны, если связывать возникновение магнитного поля планет с токовыми слоями в жидком ядре, то можно сделать заключение, что планеты солнечной системы, имеющие одинаковое направление вращения, должны иметь одинаковое направление магнитных полей. Так Юпитер, вращающийся вокруг своей оси в ту же сторону что и Земля, имеет магнитное поле направленное противоположно земному.
Предлагается новая гипотеза о механизме возникновения магнитного поля Земли и установка для экспериментальной проверки.
На рис. 1 изображена схема Солнце-Земля. Земля (З) вращается вокруг своей оси N-S с угловой скоростью ?. Земля имеет магнитное поле, северный полюс которого находится на южном географическом полюсе. Чтобы получить магнитное поле такого направления, вокруг земного шара, в плоскости перпендикулярной оси вращения Земли, должен существовать устойчивый токовый слой с током IЗ. Назовем его током Земли. Следовательно, над поверхностью Земли должен существовать проводящий слой, по которому должен замыкаться ток IЗ. Такой слой существует – это ионосфера.
Рассмотрим каким образом может возникануть направленный ток IЗ в ионосфере. Солнце, в результате ядерных реакций протекающих в нем, излучает в окружающее пространство огромное количество заряженных частиц больших энергий (энергия частиц солнечного ветра ?1027...1029 эрг/с) – так называемый солнечный ветер. По составу солнечный ветер содержит, главным образом, протоны, электроны, немного ядер гелия, ионов кислорода, кремния, серы, железа [1]. Частицы образующие солнечный ветер, обладающие массой и зарядом, увлекаются верхними слоями атмосферы в сторону вращения Земли. Таким образом, вокруг Земли образуется направленный поток электронов, движущихся в сторону вращения Земли. Электрон – это заряженная частица, а направленное движение заряженных частиц есть не что иное, как электрический ток. За направление тока принято направление противоположное движению электронов, которое совпадает с направлением тока IЗ. Таким образом, существует ток IЗ, вызванный направленным круговым движением частиц солнечного ветра, увлекаемых круговым движением Земли. В результате наличия тока IЗ возбуждается магнитное поле Земли ФЗ.
Характеристики
Тип файла документ
Документы такого типа открываются такими программами, как Microsoft Office Word на компьютерах Windows, Apple Pages на компьютерах Mac, Open Office - бесплатная альтернатива на различных платформах, в том числе Linux. Наиболее простым и современным решением будут Google документы, так как открываются онлайн без скачивания прямо в браузере на любой платформе. Существуют российские качественные аналоги, например от Яндекса.
Будьте внимательны на мобильных устройствах, так как там используются упрощённый функционал даже в официальном приложении от Microsoft, поэтому для просмотра скачивайте PDF-версию. А если нужно редактировать файл, то используйте оригинальный файл.
Файлы такого типа обычно разбиты на страницы, а текст может быть форматированным (жирный, курсив, выбор шрифта, таблицы и т.п.), а также в него можно добавлять изображения. Формат идеально подходит для рефератов, докладов и РПЗ курсовых проектов, которые необходимо распечатать. Кстати перед печатью также сохраняйте файл в PDF, так как принтер может начудить со шрифтами.















