85570 (630744), страница 2
Текст из файла (страница 2)
Периодические функции. Правила нахождения основного периода функции.
Периоди́ческая фу́нкция ― функция, повторяющая свои значения через какой-то ненулевой период, то есть не меняющая своего значения при добавлении к аргументу фиксированного ненулевого числа (периода). Все тригонометрические функции являются периодическими. Являются неверными утверждения относительно суммы периодических функций: Сумма 2 функций с соизмеримыми (даже основными) периодами T1 и T2 является функция с периодом НОК (T1,T2). Сумма 2 непрерывных функций с несоизмеримыми (даже основными) периодами является непериодической функцией. Не существует периодических функций, не равных константе, у которой периодами являются несоизмеримые числа.
Построение графиков степенных функций.
Степенная функция. Это функция: y = axn, где a, n - постоянные. При n = 1 получаем прямую пропорциональность: y = ax; при n = 2 - квадратную параболу; при n = 1 - обратную пропорциональность или гиперболу. Таким образом, эти функции - частные случаи степенной функции. Мы знаем, что нулевая степень любого числа, отличного от нуля, равна 1, cледовательно, при n = 0 степенная функция превращается в постоянную величину: y = a, т. e. её график - прямая линия, параллельная оси Х, исключая начало координат (поясните, пожалуйста, почему?). Все эти случаи (при a = 1) показаны на рис.13 (n
0) и рис.14 (n < 0). Отрицательные значения x здесь не рассматриваются, так как тогда некоторые функции:
Обратная функция
Обра́тная фу́нкция - функция, обращающая зависимость, выражаемую данной функцией. Функция
является обратной к функции
, если выполнены следующие тождества:
для всех
для всех
Предел функции в точке. Основные свойства предела.
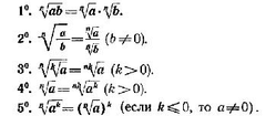
Корень n-ой степени и его свойства.
Корнем n-ой степени из числа a называется такое число, n-ая степень которого равна a.
Определение: Арифметическим корнем n-ой степени из числа a называют неотрицательное число, n-ая степень которого равна a.
Основные свойства корней:
Степень с произвольным действительным показателем и его свойства.
Пусть дано положительное число
и произвольное действительное число
. Число
называется степенью, число
- основанием степени, число
- показателем степени.
По определению полагают:
.
.
,
.
Если
и
- положительные числа,
и
- любые действительные числа, то справедливы следующие свойства:
.
.
.
.
.
-
.
Степенная функции, её свойства и графики
Степенная функция комплексного переменного f (z) = zn с целочисленным показателем определяется с помощью аналитического продолжения аналогичной функции вещественного аргумента. Для этого применяется показательная форма записи комплексных чисел. степенная функция с целочисленным показателем является аналитической во всей комплексной плоскости, как произведение конечного числа экземпляров тождественного отображения f (z) = z. Согласно теореме единственности эти два признака достаточны для единственности полученного аналитического продолжения. Пользуясь таким определением, можно сразу сделать вывод о том, что степенная функция комплексного переменного обладает значительными отличиями от своего вещественного аналога.
Это функция вида
,
. Рассматриваются такие случаи:
а). Если
, то
. Тогда
,
; если число
- чётное, то и функция
- чётная (то есть
при всех
); если число
- нечётное, то и функция
- нечётная (то есть
при всех
).
Показательная функция, её свойства и графики
Показательная функция - математическая функция
.
В вещественном случае основание степени
- некоторое неотрицательное вещественное число, а аргументом функции является вещественный показатель степени.
В теории комплексных функций рассматривается более общий случай, когда аргументом и показателем степени может быть произвольное комплексное число.
В самом общем виде - uv, введена Лейбницем в 1695 г.
Особо выделяется случай, когда в качестве основания степени выступает число e. Такая функция называется экспонентой (вещественной или комплексной).
Свойства
;
;
.
Показательные уравнения.
Перейдем непосредственно к показательным уравнениям. Для того чтобы решить показательное уравнение необходимо воспользоваться следующей теоремой: Если степени равны и основания равны, положительны и отличны от единицы, то равны и их показатели степеней. Докажем эту теорему: Пусть a>1 и aх=ay.
Докажем, что в этом случае х=y. Допустим противное тому, что требуется доказать, т.е. допустим, что x>у или что x<у. Тогда получим по свойству показательной функции, что либо aхy либо aх>ay. Оба эти результата противоречат условию теоремы. Следовательно, x=у, что и требовалось доказать.
Также доказывается теорема и для случая, когда 0х=ay не обязательно следует что x=у. Из равенства 1х=1y также не обязательно вытекает равенство x=у. Самым простым показательным уравнением является уравнения вида aх=ay, где a>0 и a≠1.
Показательные неравенства
Неравенства вида (или меньше) при а (х) >0 и решаются на основании свойств показательной функции: для 0 < а (х) < 1 при сравнении f (x) и g (x) знак неравенства меняется, а при а (х) > 1 - сохраняется. Самый сложный случай при а (х) < 0. Здесь можно дать только общее указание: определить, при каких значениях х показатели f (x) и g (x) будут целыми числами, и выбрать из них те, которые удовлетворяют условию. Наконец, если исходное неравенство будет выполняться при а (х) = 0 или а (х) = 1 (например, когда неравенства нестрогие), то нужно рассмотреть и эти случаи.
Логарифмы и их свойства
Логарифм числа b по основанию a (от греч. λόγος - "слово", "отношение" и ἀριθμός - "число" [1] ) определяется как показатель степени, в которую надо возвести основание a, чтобы получить число b. Обозначение:
. Из определения следует, что записи
и
равносильны. Пример:
, потому что
. Свойства
Основное логарифмическое тождество:
Логарифмическая функция, её свойства и графики.
Логарифмической функцией называется функция вида f (x) = logax, определённая при
Область определения:
Область значения:
График любой логарифмической функции проходит через точку (1; 0)
Производная логарифмической функции равна:
Логарифмические уравнения
Уравнение, содержащее переменную под знаком логарифма, называется логарифмическим. Простейшим примером логарифмического уравнения служит уравнение loga х = b (где а > 0, а
1). Его решение x = ab.
Решение уравнений на основании определения логарифма, например, уравнение loga х = b (а > 0, а
1) имеет решение х = аb.
Метод потенцирования. Под потенцированием понимается переход от равенства, содержащего логарифмы, к равенству, не содержащему их:
если loga f (х) = loga g (х), то f (х) = g (х), f (х) >0, g (х) >0, а > 0, а
1.
Метод приведения логарифмического уравнения к квадратному.
Метод логарифмирования обеих частей уравнения.
Метод приведения логарифмов к одному и тому же основанию.
Логарифмические неравенства.
Неравенство, содержащее переменную только под знаком логарифма, называется логарифмическим: loga f (х) > loga g (х).
При решении логарифмических неравенств следует учитывать общие свойства неравенств, свойство монотонности логарифмической функции и область ее определения. Неравенство loga f (х) > loga g (х) равносильно системе f (x) > g (x) > 0 при a > 1 и системе 0 < f (x) < g (x) при 0 < а < 1.
Радианное измерение углов и дуг. Синус, косинус, тангенс, котангенс.
Градусная мера. Здесь единицей измерения является градус (обозначение ) - это поворот луча на 1/360 часть одного полного оборота. Таким образом, полный оборот луча равен 360. Один градус состоит из 60 минут (их обозначение ‘); одна минута - соответственно из 60 секунд (обозначаются “).
Радианная мера. Как мы знаем из планиметрии (см. параграф "Длина дуги" в разделе "Геометрическое место точек. Круг и окружность"), длина дуги l, радиус r и соответствующий центральный угол
связаны соотношением:
= l / r.
Эта формула лежит в основе определения радианной меры измерения углов. Так, если l = r, то
= 1, и мы говорим, что угол
равен 1 радиану, что обозначается:
= 1 рад. Таким образом, мы имеем следующее определение радианной меры измерения:
Радиан есть центральный угол, у которого длина дуги и радиус равны (AmB = AO, рис.1). Итак, радианная мера измерения угла есть отношение длины дуги, проведенной произвольным радиусом и заключённой между сторонами этого угла, к радиусу дуги.
Тригонометрические функции острых углов можно определить как отношение длин сторон прямоугольного треугольника.
Синус:
Косинус:
Тангенс:
Котангенс:
Тригонометрические функции числового аргумента
Определение.
Синусом числа х называется число, равное синусу угла в х радианов. Косинусом числа х называется число, равное косинусу угла в х радианов.
Аналогично определяются и другие тригонометрические функции числового аргумента х.
Формулы привидения.
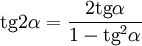
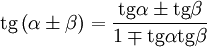
Формулы сложения. Формулы двойного и половинного аргумента.
Двойного.
;
(
;
.
Тригонометрические функции и их графики. Основные свойства тригонометрических функций.
Тригонометрические функции - вид элементарных функций. Обычно к ним относят синус (sin x), косинус (cos x), тангенс (tg x), котангенс (ctg x), Обычно тригонометрические функции определяются геометрически, но можно определить их аналитически через суммы рядов или как решения некоторых дифференциальных уравнений, что позволяет расширить область определения этих функций на комплексные числа.
Функция y sinx ее свойства и график
Свойства:
1. D (y) =R.
2. Е (у) = [-1; 1].
3. Функция у = sinx - нечетная, так как по определению синуса тригонометрического угла sin (-x) = - y/R = - sinx, где R - радиус окружности, у - ордината точки (рис).















