integral (630668)
Текст из файла
Равномерная непрерывность
Определение 28.7: Функция
называется равномерно непрерывной на множестве
, если:
. (в отличие от критерия Коши:
).
Пояснение:
Пусть:
. Тогда:
Т.е. функция
не является равномерно непрерывной на множестве
.
Теорема 28.3: Непрерывная на отрезке функция – равномерно непрерывна на нём.
Классы интегрируемых функций
Теорема 28.4: Непрерывная на отрезке функция – интегрируема на нём.
Теорема 28.5: Монотонная на отрезке функция – интегрируема на нём.
Теорема 28.5: Если функция
определена и ограничена на отрезке
, и если
можно указать конечное число интервалов, покрывающих все точки разрыва этой функции на
. Причём общая длина этих интервалов меньше
. То
- интегрируема на
.
Замечание: Очевидно, что если
- интегрируема на
, а
отличается от
только в конечном числе точек, то
- интегрируема на
и
.
Существование первообразной
Определение 28.9: Пусть
- интегрируема на
,
, тогда:
функция
интегрируема на
и функция
называется интегралом с переменным верхним пределом, аналогично функция
- интеграл с переменным нижним пределом.
Теорема 28.6: Если функция
- непрерывна на
, то у неё существует на
первообразная, одна из которых равна:
, где
.
Замечание 1: Из дифференцируемости функции
следует её непрерывность, т.е.
Замечание 2: Поскольку
- одна из первообразных
, то по определению неопределённого интеграла и теореме о разности первообразных:
. Это связь между определённым и неопределённым интегралами
Интегрирование подстановкой
Пусть для вычисления интеграла
от непрерывной функции сделана подстановка
.
Теорема. Если 1. Функция
и ее производная
непрерывны при
2. множеством значений функции
при
является отрезок [a;b]
Док-во: Пусть F(x) есть первообразная для f(x) на отрезке [a;b]. Тогда по формуле Ньютона-Лейбница
=
. Т.к.
, то
является первообразной для функции
,
. Поэтому по формуле Ньютона-Лейбница имеем
Формула замены переменной в определенном интеграле.
-
при вычислении опред. интег-ла методом подстановки возвращаться к старой переменной не требуется;
-
не следует забывать менять пределы интегрирования при замене переменных.
Интегрирование заменой переменной.
а). Метод подведения под знак дифференциала
Пусть требуется вычислить интеграл
. Предположим, что существуют дифференцируемая функция
и функция
такие, что подынтегральное выражение
может быть записано в виде:
.
Тогда:
. Т.е. вычисление интеграла
сводится к вычислению интеграла
(который может оказаться проще) и последующей подстановке
.
Пример: Вычислить
.
.
Подстановка:
.
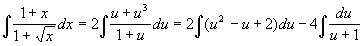
б). Метод подстановки
Пусть требуется вычислить интеграл
, где
. Введём новую переменную формулой:
, где функция
дифференцируема на
и имеет обратную
, т.е. отображение
на
- взаимно-однозначное. Получим:
. Тогда
. Т.е. вычисление интеграла
сводится к вычислению интеграла
(который может оказаться проще) и последующей подстановке
.
Пример: Вычислить
.
, откуда:
.
Интегрирование по частям. Пусть
- дифференцируемые функции, тогда справедлива формула:
, или короче:
. Эта формула используется в тех случаях, когда подынтегральное выражение
можно так представить в виде
, что интеграл
вычисляется проще исходного.
Пример: Вычислить
.
Положим
. Тогда
. В качестве
выберем первообразную при
. Получим
. Снова
. Тогда
. Окончательно получим:
.
Замечание 26.5: Иногда при вычислении интеграла
методом интегрирования по частям получается зависимость:
. Откуда можно получить выражение для первообразной:
.
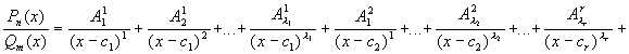
Интегрирование рациональных функций
Постановка задачи:
| 1). | 2). |
| 3). | |
т.е. все задачи сводятся к задаче B.2).
Теорема 1: Пусть
, тогда, если:
, где
, то
Из этой теоремы следует, что для интегрирования любой рациональной функции необходимо уметь интегрировать следующие функции:
| 1. | 2. | 3. | 4. | 5. |
| 6. | 7. | 8. | 9. | 10. |
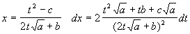
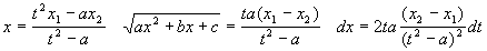
Интегрирования дробно-линейных и квадратичных иррациональностей
Сделав подстановку:
, получим:
.
тогда
a). Подстановки Эйлера.
1). Корни многочлена
- комплексные, сделав подстановку:
, получим:
.
2). Корни многочлена
- действительные:
. Подстановка:
, получаем:
.
b). Подстановка:
, далее, если:
| 1). | 2). |
| 3). | |
c).
Если
подстановка -
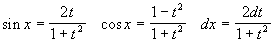
Интегрирование функций, рационально зависящих от тригонометрических
Универсальная подстановка:
, тогда:
подстановка:
или
- нечётные: вносим функцию при нечётной степени под знак дифференциала
Интегрируется по частям
Неопределенный интеграл
Определение 26.1: Функция
называется первообразной для функции
на
, если:
.
Пусть
и
- первообразные функции
на
. Тогда:
.
Определение 26.2: Неопределённым интегралом от функции
на
называется объединение всех первообразных
на этом интервале. Обозначается:
.
Замечание 26.1: Если
- одна из первообразных
на
, то
.
Замечание 26.2: Подынтегральное выражение в определении представляет из себя полный дифференциал первообразной
на
, т.е.
.
Замечание 26.3: Два неопределённых интеграла равны “с точностью до постоянной”.
Св-ва неопределенного интеграла:
1.Дифференциал от неопределенного интеграла равен подынтегральному выражению, а производная неопред. интегр. равна подынтегр. функции. Благодаря этому св-ву правильность интегрирования проверяется дифференцированием.
2. Неопред. интегр. от дифференциала нек-рой функции равен сумме этой функции и производной постоянной:
3. Постоянный множитель м. выносить за знак интеграла:
4. Неопред. интегр. от алгебраич. суммы конечного числа непрерывных функций равен алгебраич. сумме интегралов от слагаемых функций:
5. (Инвариантность формулы интегрирования). Если
, то и
, где u=
- произвольн. функция, имеющая непрерывную производную.
Табличные интегралы
Определённый интеграл.
Интегрируемость
Определение 28.1: Множество точек отрезка
таких, что:
называют разбиением отрезка
. Длины частичных отрезков разбиения обозначим:
. Мелкостью разбиения
(читается – “дельта большое”) назовем максимальнуя из длин отрезков разбиения, т.е.
.
Определение 28.2: Пусть в определении 28.1 для всех
точки
. Интегральной суммой функции
на отрезке
с разбиением
будем называть сумму (зависящую от разбиения
и выбора точек
) вида:
.
Определение 28.3: Пределом интегральных сумм функции
на отрезке
назовём такое число
, что
. Обозначается:
.
Определение 28.4: Функция
называется интегрируемой на отрезке
, если существует конечный предел её интегнральных сумм на
. Обозначается:
.
Теорема 28.1: Если
интегрируема на отрезке
, то она ограничена на нём.
Замечание 1: Эта теорема является необходимым, но недостаточным условием интегрируемости функции. Пример – функция Дирихле (ограничена, но неинтегрируема).
Критерий интегрируемости функций
Теорема 28.2: Для того, чтобы ограниченная на некотором отрезке функция, была интегрируема на нём, необходимо и достаточно, чтобы выполнялось условие:
.
Следствие 1: Условие Т.2 эквивалентно условию:
.
Следствие 2: Если функция интегрируема на , то:
.
Определение 28.8: Определённым интегралом функции
на
называется число
, равное пределу интегральных сумм
на
. Условие интегрируемости эквивалентно существованию определённого интеграла.
Свойства определённого интеграла
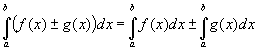
1. Если с – постоянное число и функция f(x) интегрируема на [a;b], то
, т.е. пост. множитель с можно выносить за знак определенного интег-ла.
2. Если функции f(x), g(x) интегрируемы на [a;b], тогда интегрируема на [a;b] их сумма и разность
,
3. Если
, то:
4. Если функция f(x) интегрируема на [a;b] и a Сравнение определённых интегралов Если Если Неравенство м\у непрерывными функциями на отрезке [a;b], можно интегрировать. Если Модуль определенного интег-ла не превосходит интег-ла от модуля подынтегральной функции. Если Оценка интеграла. Если m и M-соответственно наименьшее и наибольшее значения функции y=f(x) на отрезке [a;b]. Если Если функция f(x) непрерывна на отрезке [a;b], то существует точка Док-во: По формуле Ньютона-Лейбница имеем Эта теорема при f(x) Число Если Док-во: Рассмотрим тождество Преобразуем каждую разность в скобках по формуле Лагранжа Переходя к пределу при интеграл с переменным верхним пределом Если изменять, например, верхний предел так, чтобы не выйти за пределы отрезка [a;b], то величина интеграла будет изменяться. Другими словами, интеграл с переменным верхним пределом представляет собой функцию своего верхнего предела. Производная определенного интег-ла по переменному верхнему пределу равна подынтегральной функции, в к-рой переменная интегрирования заменена этим пределом, т.е. Док-во: По формуле Ньютона-Лейбница имеем: Это значит, что определенный интег-л с переменным верхним пределом есть одна из первообразных подынтегральной функции.
, т.е. интеграл по всему отрезку равен сумме интегралов по частям этого отрезка. Это св-во наз-ют аддивностью определенного интеграла.
- интегрируема на
и
, то:
.
- интегрируема на
и
, то:
- интегрируемы на
и почти для всех
, то:
- интегрируема на
, то
- также интегрируема на
(обратное неверно), причём:
- интегрируемы на
и
, то:
Теорема о среднем значении
такая, что
.
, где F’(x)=f(x). Применяя к разности F(b)-F(a) теорему Лагранжа (теорему о конечном приращении функции), получим F(b)-F(a)=F’(c)*(b-a)=f(c)*(b-a).
0 имеет простой геометрич. смысл: значение определенного интег-ла равно, при нек-ром
, площади прямоугольника с высотой f(с) и основанием b-a.
наз-ся средним значением функции f(x) на отрезке [a;b].Формула Ньютона-Лейбница
- первообразная непрерывной функции
на
, то:
.
. Получим
т.е.
, где
есть нек-рая точка интервала
. Т.к. функция y=f(x) непрерывна на [a;b]. Поэтому существует предел интегральной суммы, равный определенному интегралу от f(x) на [a;b].
, получаем F(b)-F(a)=
.
Характеристики
Тип файла документ
Документы такого типа открываются такими программами, как Microsoft Office Word на компьютерах Windows, Apple Pages на компьютерах Mac, Open Office - бесплатная альтернатива на различных платформах, в том числе Linux. Наиболее простым и современным решением будут Google документы, так как открываются онлайн без скачивания прямо в браузере на любой платформе. Существуют российские качественные аналоги, например от Яндекса.
Будьте внимательны на мобильных устройствах, так как там используются упрощённый функционал даже в официальном приложении от Microsoft, поэтому для просмотра скачивайте PDF-версию. А если нужно редактировать файл, то используйте оригинальный файл.
Файлы такого типа обычно разбиты на страницы, а текст может быть форматированным (жирный, курсив, выбор шрифта, таблицы и т.п.), а также в него можно добавлять изображения. Формат идеально подходит для рефератов, докладов и РПЗ курсовых проектов, которые необходимо распечатать. Кстати перед печатью также сохраняйте файл в PDF, так как принтер может начудить со шрифтами.















