183708 (629910), страница 4
Текст из файла (страница 4)
Або
Отже, план виробництва продукції, що передбачає випуск 48 одиниць продукції А та 118 од. продукції В, оптимальний і дає найбільший прибуток 1564 дол. При цьому час роботи верстатів використовується повністю (х5 = х6 = 0).
Задачу можна розв'язати симплекс-методом, узявши не три симплексні таблиці, а одну, в якій послідовно записувати всі ітерації.
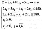
Задача 2.42.
Розв'язати задачу 2.41 із додатковою умовою: продукція С має виготовлятися в кількості не менш як 9 одиниць.
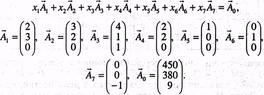
Розв'язування. Математичну модель сформульованої задачі запишемо так:
Застосовуючи для розв’язування поставленої задачі симплекс-метод, спочатку записуємо систему обмежень у канонічній формі, а далі — у векторній:
Зауважимо, що нерівність типу «> » у рівняння перетворюємо введенням у ліву частину обмеження додаткової змінної зі знаком «-».
Векторна форма запису:
Серед записаних векторів є лише Два одиничні —
та
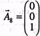
, а базис у тривимірному просторі має складатися з трьох одиничних векторів. Ще один одиничний вектор можна дістати, увівши в третє обмеження з коефіцієнтом +1 штучну змінну х8 якій відповідатиме одиничний вектор
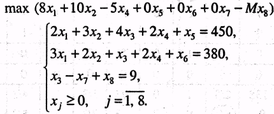
Тепер можемо розглянути розширену задачу лінійного програмування:
На відміну від додаткових змінних штучна змінна
має в цільовій функції Z коефіцієнт +М (для задачі на min) або -М (для задачі на max), де М— досить велике додатне число.
У розширеній задачі базисними змінними є x5, х6, х8, а решта змінних вільні. Початковий опорний план задачі:
Складемо першу симплексну таблицю задачі:
Розраховуючи оцінки першого опорного плану, дістаємо z0 = 0 - 9М, Z1 – С1 = -8, Z2 – С2 = -10, Z3 - С3 = 0 - М і т. д. Як бачимо, значення оцінок складаються з двох частин, одна з яких містить М, а інша — просто число. Тому для зручності розбиваємо оцінковий рядок на два. У перший оцінковий рядок записуємо просто число, а в другий — число з коефіцієнтом М.
Оцінки першого плану не задовольняють умову оптимальності, і тому він є неоптимальним. Згідно з алгоритмом, розглянутим у задачі 2.41, виконуємо перехід до наступного опорного плану задачі.
Подальше розв'язування задачі наведене у вигляді таблиці:
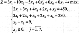
Оптимальним планом задачі є вектор
Отже, оптимальним є виробництво 57 одиниць продукції А, 100 одиниць продукції В і 9 одиниць продукції С. Тоді прибуток буде найбільшим і становитиме 1456 дол.
Висновок
Зміст математичного програмування складає теорія і методи розв’язання задач про знаходження екстремумів функції на множинах, які визначаються лінійними і нелінійними обмеженнями (рівностями і нерівностями).
Лінійне математичне програмування являє собою розв’язок задач: загальної, канонічної і стандартної форми.
Загальна форма задачі лінійного програмування не є досить простим і ефективним способом розв’язання її. Тому, як правило, задачу зводять до стандартної форми. В залежності від методів, які застосовуються, розрізняють дві стандартні форми: першу і другу.
При розв’язанні задач лінійного програмування майже завжди складають математичну модель. Математична модель стандартної задачі – це її спрощений образ, поданий у вигляді сукупності математичних нерівностей.
Література
-
Цегелик Г.Г. Лінійне програмування. – Львів, 1995.
-
Акулич. Математичне програмування в прикладах і задачах. – Москва, 1986.
-
Математичне програмування. Навч.-метод. Посібник для самостійного вивчення дисципліни / В.В. Вітлінський, С.І. Наконечний, Т.О. Терещенко. М-во освіти і науки України. КНЕУ. – К.: КНЕУ, 2001.
-
Математичне програмування [Текст] навч. посібник для студ. вищ. закладів, І.Ю. Іванченко. – К.: ЦУЛ, 2007.
-
Математическое программирование и моделирование экономических процессов: Учеб. для студ. лесотехн. вузов. – Санкт-Петербург, гос. лесотехн. акад. СПб: Изд-во ДНК, 2003.
-
Математичне програмування. Навч. посібник для студентів напрямів «Економіка і підприємство», «Менеджмент» / А.Ф. Барвінський, І.Я. Олексів, З.І. Крупка та ін.; М-во освіти і науки України. Нац. Ун-т «Львів. політехніка». – Л.: Інтелект-Захід, 2004.
-
Математичне програмування: Навч. посібник / С.І. Наконечний, С.С. Савіна; М-во освіти і науки України. КНЕУ. – К.: КНЕУ, 2003.
-
Гасс С. Линейное программирование (методы и приложения). Пер. с англ. Гольштейна Е.П. и Сушкевича М.И. Под ред. Юдина Д.Б. – М.: Физат гиз, 1961.
-
Математичне програмування: Навч. посібник / В.М.Дякон, Л.Є.Ковальов; за заг. ред. В.М. Міхайленка. – К.: Вид-во Європ. ун-ту, 2007.
-
Мазаракі А.А., Толбатов Ю.А. Математичне програмування. Excel: Навч. посіб. для студ. екон. спеціал. вузів. – К.: Четверта хвиля, 1998.















