183028 (629724), страница 5
Текст из файла (страница 5)
Решение:
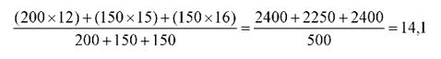
1. Находим средневзвешенную себестоимость за январь
2. Находим стоимость материалов, ушедших на затраты производства по средневзвешенной себестоимости
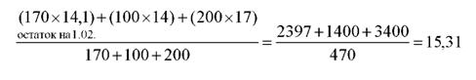
3. Остаток на 1.02 по средневзвешенной себестоимости
4. Находим средневзвешенную себестоимость за февраль
5. Стоимость материалов, ушедших на затраты производства в феврале, по средневзвешенной себестоимости
Оценка запасов по методу ФИФО базируется на предположении, что запасы используются в той последовательности, в какой они поступали на предприятие (отражены в бухгалтерском учете), то есть запасы, которые первыми отпускаются в производство (продажу и другое выбытие), оцениваются по себестоимости первых по времени поступления запасов. При этом стоимость остатка запасов на конец отчетного месяца определяется по себестоимости последних по времени поступления запасов, т.е. первое пришло - первое ушло.
Используя числовые данные предыдущего примера, определим себестоимость материалов, ушедших на затраты производства.
1. Себестоимость материалов в январе
2. Остаток материалов на 1.02
3. Себестоимость материалов в феврале
4. Остаток материалов на 1.03
Этот метод хорошо применять в тех случаях, когда цены на реализацию изготовленной продукции растут пропорционально росту цены приобретения запасов. Оценка запасов по методу ЛИФО базируется на предложении, что запасы используются в последовательности, являющейся противоположной их поступлению на предприятие (зачислению в бухгалтерском учете), то есть запасы, которые первыми отпускаются в производство (продажу и другое выбытие), оцениваются по себестоимости последних по времени поступления запасов. При этом стоимость остатка запасов на конец отчетного месяца определяется по себестоимости первых по времени получения запасов, т.е., последнее пришло - первое ушло.
При оценке выбытия по методу ЛИФО последовательность следующая (данные первого примера)
1. Себестоимость материалов в январе
2. Остаток материалов на 1.02
3. Себестоимость материалов в феврале
4. Остаток материалов на 1.03
Необходимо знать, что использование метода ЛИФО, предусматривает в конце года при составлении финансовой отчетности в Примечаниях к ней давать следующую информацию:
методы оценки запасов.
Оценка по нормативным расходам заключается в применении норм расходов на единицу продукции (работ, услуг), установленных предприятием с учетом нормальных уровней использования запасов, труда, производственных мощностей и действующих цен. Для обеспечения максимального приближения нормативных расходов к фактическим нормы расходов и цены должны регулярно в нормативной базе проверяться и пересматриваться.
При выборе этого метода возникает немало вопросов, на которые стандарт П (с) БУ 9 не дает ответы. В частности, нормы расходования определяется по стоимости или по физическому объему? Если буквально исходить из определения этого метода, то по физическому объему. А если это так, то стоимостное отражение этой нормы расходования будет очевидно определятся по любому из методов оценки запасов, принятому на предприятии. В любом случае не мешало бы это отразить более подробно в стандарте.
Оценка по ценам продажи основана на применении предприятиями только розничной торговли среднего процента торговой наценки товаров. Он определяется:
Сумма торговой наценки на реализованные товары находится как произведение продажной стоимости реализованных товаров и среднего процента торговой наценки. Себестоимость реализованных товаров равна разности между продажной стоимостью товаров и суммой торговой наценки на данные товары.
Предложенные методы определения себестоимости выбывших (израсходованных) запасов можно использовать и в сфере производства, и в торговле (за исключением нормативного метода, который можно применить только в промышленности, и метода цены продаж, применяемого только в розничной торговле).
Метод оценки выбытия запасов необходимо отразить в примечаниях к финансовой отчетности как учетную политику, выбранную предприятием.
На основании всего вышеизложенного можно сделать вывод:
Правильная оценка запасов при оприходовании и выбор метода оценки при выбытии имеют большое значение, так как влияют не только на результаты деятельности по данным бухучета, но и на объемы налогооблагаемой прибыли. Согласно Закону Украины "О налогообложении прибыли предприятий" (п.5.9) корректировка валовых затрат, то есть увеличение и уменьшение, осуществляется по данным бухгалтерского учета об остатках запасов на складах, в незавершенном производстве и готовой продукции. Следовательно, данные эти будут тщательно проверяться в процессе проверок сотрудниками налоговой службы.
Следует обратить внимание на то, что согласно П (с) БУ 9 первоначальная стоимость запасов не изменяется кроме случаев:
снизилась цена;
испорчены;
устарели;
утратили первоначальную ожидаемую экономическую выгоду.
В этом случае запасы на дату баланса отражаются в бухгалтерском учете по наименьшей из двух оценок: по первоначальной стоимости или по чистой стоимости реализации.
Определение термина "дата баланса" дано в П (с) БУ 6 - это дата, на которую составлен баланс предприятия. Обычно датой баланса является конец последнего дня отчетного периода.
Вывод
Своевременное получение полной информации о себестоимости выпускаемой продукции является необходимым условием эффективного управления предприятием. Понимая то, насколько важна эта информация для принятия экономически обоснованных управленческих решений, руководители компаний неминуемо сталкиваются с поиском надежного и простого инструмента, обеспечивающего ее получение.
Одна из серьезных проблем руководителей предприятия сегодня - невозможность принятия управленческих решений на основании бухгалтерской информации, так как предложенные Минфином РФ методы классификации учета затрат, в рамках которых формируется информационная база для менеджеров российских фирм, не позволяют правильно и полноценно ее использовать для анализа и прогнозирования. Поэтому для финансово-экономического управления предприятием необходима разработка системы методов и рекомендаций по формированию более точной информации в российских условиях. Финансовый результат деятельности предприятия в свою очередь во многом зависит от правильно выбранной стратегии управления себестоимостью. Модели, основанные на изучении взаимоотношения затрат, объема производства и прибыли, дают возможность руководителям предприятия планировать и прогнозировать деятельность фирмы.
При рассмотрении экономического аспекта себестоимости следует руководствоваться содержанием актов, входящих в систему нормативного регулирования бухгалтерского учета. Учитывая комплексный характер данного понятия, оно явно или косвенно присутствует почти во всех документах.
В последние годы вследствие усиления конкуренции, усложнения производственных процессов, необходимости приспосабливаться к постоянно меняющимся реалиям рынка все более актуальным для предприятий становится получение информации для эффективного управления ими. Так как финансовый учет практически не затрагивает внутрипроизводственные процессы, возрастает потребность в управленческой информации, основу которой составляют данные, получаемые в процессе учета, оценки и контроля затрат и выручки, связанных с процессом производства и реализации продукции. В этой связи большое значение приобретает выбор того или иного метода учета затрат и калькулирования себестоимости продукции. Каждое предприятие в зависимости от специфики ее деятельности выбирает свой метод калькулирования себестоимости продукции. Правильно исчисленная себестоимость продукции является основой для правильного принятия управленческого решения.
Себестоимость - это показатель, характеризующий качественную сторону всей производственной и хозяйственной деятельности предприятия.
Литература
-
Положение по бухгалтерскому учету Расходы организации ПБУ 10/99. Приказ Министерства Финансов РФ №33н от 06.05.99. - [Электронный ресурс - Гaрант CD-rom].
-
Агапова, Т.А. Макроэкономика: Учебник/ Т.А. Агапова; Под ред. А.В. Сидоровича. - 2-е изд. - М.: МГУ им. М.В. Ломоносова, Дело и сервис, 2009. - 416 с.
-
Адамов, В.Е., Экономика и статистика фирм / В.Е. Адамов, С.Д. Ильенкова. - М.: Финансы и статистика, 2007. - 184 с.
-
Анализ хозяйственной деятельности в промышленности: Учебник / Л.А. Богдановская, Г.Г. Виногоров, О.Ф. Мигун и др.; Под общ. ред.В.И. Стражева. - Минск: Выс. шк., 2009. - 363 с.
-
Баканов, М.И. Теория экономического анализа: Учебник / М.И. Баканов, А.Д. Шеремет; - 4-е изд., доп. и перераб. - М.: Финансы и статистика, 2010. - 416с.: ил.
-
Богатко, А.Н. Основы экономического анализа хозяйствующего субъекта / А.Н. Богатко. - М.: Финансы и статистика, 2010. - 208 с.: ил.
-
Булатов, А.С. Экономика: Учебник / Под ред.А.С. Булатова. - 2-е изд., перераб. и доп. - М.: Издательство БЕК, 2009. - 816 с.
-
Рафикова, Н., Влияние цен на себестоимость продукции/ Н. Рафикова. // Экономист. - 2010г. - №8. - с.90-94.
-
Савицкая, Г.В. Анализ хозяйственной деятельности предприятий: Учебное пособие/ Г.В. Савицкая. - 2-е изд., перераб., доп. - М.: Минск: ИП "Экоперспектива", 2010. - 498 с.: ил.
-
Сенчагов, В.К. Финансы, денежное обращение и кредит / Под ред.В.К. Сенчагова, А.И. Архипова. - М.: Проспект, 2010. - 496 с.
-
Шеремет, А.Д., Сайфулин Р.С. Методика финансового анализа/ А.Д. Шеремет, Р.С. Сайфулин. - М.: Инфра-М, 2010 - 232с.
-
Широбоков, В.Г. Формирование себестоимости и доходов в системе управленческого учета/ В.Г. Шробоков. // Экономика перерабатывающих предприятий. 2010. - №7 - с.25-27.
Размещено на Allbest.ru














