182689 (629568), страница 2
Текст из файла (страница 2)
4. Серийный отбор. При серийном отборе вся совокупность разбивается на группы (серии). Затем путем случайного или механического отбора выделяют определенную часть этих серий и производят их сплошную обработку. По сути дела, серийный отбор представляет собой случайный или механический отбор, осуществленный для укрупненных элементов исходной совокупности.
Кроме описанных выше классических способов отбора в практике выборочного метода используются и другие способы.
Изучаемая совокупность может иметь многоступенчатую структуру, она может состоять из единиц первой ступени, которые, в свою очередь, состоят из единиц второй ступени, и т. д.
К таким совокупностям можно применять многоступенчатый отбор, т. е. последовательно осуществлять отбор на каждой ступени.
Примером двухступенчатого механического отбора может служить давно практикуемый отбор бюджетов рабочих. На первой ступени механически выбираются предприятия, на второй - рабочие, бюджет которых обследуется.
Ошибки выборки
Рассмотрим некоторые вопросы теории выборочного метода. Применяя выборочный метод в статистике, обычно используют два основных вида обобщающих показателей: среднюю величину количественного признака и относительную величину альтернативного признака (долю или удельный вес единиц в, статистической совокупности, которые отличаются от всех других единиц этой совокупности только наличием изучаемого признака).
Выборочная доля w, или частость, определяется отношением числа единиц, обладающих изучаемым признаком m, к общему числу единиц выборочной совокупности n:
w = m/n.(2)
Для характеристики надежности выборочных показателей различают среднюю и предельную ошибки выборки.
Ошибка выборки или, иначе говоря, ошибка репрезентативности представляет собой разность соответствующих выборочных и генеральных характеристик:
для средней количественного признака
для доли (альтернативного признака)
Ошибка выборки свойственна только выборочным наблюдениям. Чем больше значение этой ошибки, тем в большей степени выборочные показатели отличаются от соответствующих генеральных показателей.
Выборочная средняя и выборочная доля по своей сути являются случайными величинами, которые могут принимать различные значения в зависимости от того, какие единицы совокупности попали в выборку. Следовательно, ошибки выборки также являются случайными величинами и могут принимать различные значения. Поэтому определяют среднюю из возможных ошибок - среднюю ошибку выборки .
Средняя ошибка выборки также зависит от степени варьирования изучаемого признака. Степень варьирования, как известно, характеризуется дисперсией 2 или w(l-w) - для альтернативного признака. Чем меньше вариация признака, а следовательно, и дисперсия, тем меньше средняя ошибка выборки, и наоборот. При нулевой дисперсии (признак не варьирует) средняя ошибка выборки равна нулю, т.е. любая единица генеральной совокупности будет совершенно точно характеризовать всю совокупность по этому признаку.
Зависимость средней ошибки выборки от ее объема и степени варьирования признака отражена в формулах, с помощью которых можно рассчитать среднюю ошибку выборки в условиях выборочного наблюдения, когда генеральные характеристики (
, р) неизвестны, и следовательно, не представляется возможным нахождение реальной ошибки выборки непосредственно по формулам (3), (4).
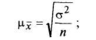
При случайном повторном отборе средние ошибки теоретически рассчитывают по следующим формулам:
для средней количественного признака
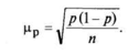
для доли (альтернативного признака)
Поскольку практически дисперсия признака в генеральной совокупности 2 точно неизвестна, на практике пользуются значением дисперсии S2 , рассчитанным для выборочной совокупности на основании закона больших чисел, согласно которому выборочная совокупность при достаточно большом объеме выборки достаточно точно воспроизводит характеристики генеральной совокупности.
Таким образом, расчетные формулы средней ошибки выборки при случайном повторном отборе будут следующие:
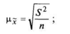
для средней количественного признака
для доли (альтернативного признака)
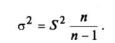
Однако дисперсия выборочной совокупности не равна дисперсии генеральной совокупности, и следовательно, средние ошибки выборки, рассчитанные по формулам (7) и (8), будут приближенными. Но в теории вероятностей доказано, что генеральная дисперсия выражается через выборную следующим соотношением:
Так как n / (n - 1) при достаточно больших n величина, близкая к единице, то можно принять, что 2 S2 , а следовательно, в практических расчетах средних ошибок выборки можно использовать формулы (7) и (8). И только в случаях малой выборки (когда объем выборки не превышает 30) необходимо учитывать коэффициент n / (n - 1) и исчислять среднюю ошибку малой выборки по формуле:
При случайном бесповторном отборе в приведенные выше формулы расчета средних ошибок выборки необходимо подкоренное выражение умножить на 1-(n / N), поскольку в процессе бесповторной выборки сокращается численность единиц генеральной совокупности. Следовательно, для бесповторной выборки расчетные формулы средней ошибки выборки примут такой вид:
для средней количественного признака
для доли (альтернативного признака)
Механическая выборка состоит в том, что отбор единиц в выборочную совокупность из генеральной, разбитой по нейтральному признаку на равные интервалы (группы), производится таким образом, что из каждой такой группы в выборку отбирается лишь одна единица. Чтобы избежать систематической ошибки, отбираться должна единица, которая находится в середине каждой группы.
При организации механического отбора единицы совокупности предварительно располагают (обычно в списке) в определенном порядке (например, по алфавиту, местоположению, в порядке возрастания или убывания значений какого-либо показателя, не связанного с изучаемым свойством, и т.д.), после чего отбирают заданное число единиц механически, через определенный интервал. При этом размер интервала в генеральной совокупности равен обратному значению доли выборки. Так, при 2 %-ной выборке отбирается и проверяется каждая 50-я единица (1:0,02), при 5 %-ной выборке - каждая 20-я единица (1:0,05), например, сходящая со станка деталь.
При достаточно большой совокупности механический отбор по точности результатов близок к собственно-случайному. Поэтому для определения средней ошибки механической выборки используют формулы собственно-случайной бесповторной выборки (11), (12).
Для отбора единиц из неоднородной совокупности применяется так называемая типическая выборка.
Типическая выборка используется в тех случаях, когда все единицы генеральной совокупности можно разбить на несколько качественно однородных, однотипных групп по признакам, от которых зависят изучаемые показатели.
При обследовании предприятий такими группами могут быть, например, отрасль и подотрасль, формы собственности. Затем из каждой типической группы собственно-случайной или механической выборкой производится индивидуальный отбор единиц в выборочную совокупность.
Типическая выборка обычно применяется при изучении сложных статистических совокупностей. Например, при выборочном обследовании семейных бюджетов рабочих и служащих в отдельных отраслях экономики, производительности труда рабочих предприятия, представленных отдельными группами по квалификации.
Типическая выборка дает более точные результаты по сравнению с другими способами отбора единиц в выборочную совокупность. Типизация генеральной совокупности обеспечивает репрезентативность такой выборки, представительство в ней каждой типологической группы, что позволяет исключить влияние межгрупповой дисперсии на среднюю ошибку выборки. Поэтому при определении средней ошибки типической выборки в качестве показателя вариации выступает средняя из внутригрупповых дисперсий.
Среднюю ошибку выборки находят по формулам:
для средней количественного признака
для доли (альтернативного признака)
где
- средняя из внутригрупповых дисперсий по выборочной совокупности;
- средняя из внутригрупповых дисперсий доли (альтернативного признака) по выборочной совокупности.
Серийная выборка предполагает случайный отбор из генеральной совокупности не отдельных единиц, а их равновеликих групп (гнезд, серий) с тем, чтобы в таких группах подвергать наблюдению все без исключения единицы.
Применение серийной выборки обусловлено тем, что многие товары для их транспортировки, хранения и продажи упаковываются в пачки, ящики и т.п. Поэтому при контроле качества упакованного товара рациональнее проверить несколько упаковок (серий), чем из всех упаковок отбирать необходимое количество товара.
Поскольку внутри групп (серий) обследуются все без исключения единицы, средняя ошибка выборки (при отборе равновеликих серий) зависит только от межгрупповой (межсерийной) дисперсии.
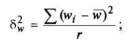
Среднюю ошибку выборки для средней количественного признака при серийном отборе находят по формулам:
где r - число отобранных серий; R - общее число серий.
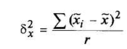
Межгрупповую дисперсию серийной выборки вычисляют следующим образом:
где
- средняя i - й серии;
- общая средняя по всей выборочной совокупности.
Средняя ошибка выборки для доли (альтернативного признака) при серийном отборе:
Межгрупповую (межсерийную) дисперсию доли серийной выборки определяют по формуле:















