179412 (628207)
Текст из файла
СОДЕРЖАНИЕ
ВВЕДЕНИЕ
-
Эластичность спроса. Коэффициент эластичности
-
Факторы, влияющие на эластичность спроса
-
Виды эластичности спроса
-
Прямая эластичность спроса по цене
-
Перекрестная эластичность спроса по цене
-
Эластичность спроса по доходу
-
Применение теории эластичности
Заключение
ВВЕДЕНИЕ
Эластичность – одна из самых важных категорий экономической науки. Впервые она была введена в экономическую теорию А. Маршаллом и представляет собой выраженное в процентах изменение одной переменной в ответ на выраженное в процентах изменение другой переменной. Понятие эластичности позволяет выяснить, как происходит адаптация рынка к изменениям его факторов. Обычно предполагается, что фирма, повышая цену на свою продукцию, имеет возможность увеличить выручку от ее продажи. Однако в действительности так бывает не всегда: возможна ситуация, когда повышение цены приведет не к росту, а наоборот, к снижению выручки в силу уменьшения спроса и соответствующего сокращения сбыта.
Поэтому понятие эластичности имеет огромное значение для производителей товаров, т.к. дает ответ на вопрос о том на какую величину изменится объем спроса и предложения при изменении цены.
Изучение спроса потребителей, а также мотивов, которыми они руководствуются, совершая покупки, — важнейшая задача фирмы в условиях конкуренции. Обладание как можно более полной информацией о спросе позволяет фирме обеспечивать сбыт своей продукции, расширять производство и успешно конкурировать на рынке.
В курсовой работе рассматривается эластичность спроса по ценам, эластичность спроса по доходам, перекрестная эластичность спроса, что позволяет оценить влияние перечисленных показателей на спрос, а также теория потребительского выбора, которая объясняет, каким образом покупатели предпочитают тратить получаемые ими доходы в целях максимального удовлетворения своих потребностей.
Для фирмы при планировании объема и структуры производства чрезвычайно важно знать, от чего зависит спрос на ее продукцию. Величина спроса зависит от цены товара, доходов потенциальных потребителей, а также цен на товары, которые являются либо взаимодополняемыми (например, автомобили и бензин), либо взаимозаменяемыми (например, масло и маргарин, отдельные сорта мяса и т. п.). На спрос влияют и другие факторы.
С повышением цен на продукцию фирмы можно ожидать, при прочих равных условиях, снижения спроса на нее, при этом активная деятельность конкурентов, выпускающих продукты-заменители и продающих их по более низким ценам, также может привести к снижению спроса на изделия фирмы. В то же время с ростом доходов населения фирма может рассчитывать на расширение покупательского спроса и соответственно увеличение сбыта предлагаемой продукции.
Главной целью курсовой работы является изучение эластичности спроса по ее видам и на основе этого проанализировать деятельность конкретного предприятия и разработать план для его дальнейшего успешного развития. Одной из целей является приобретение навыков, которые будут помогать при разработке и сбыте продукции предприятия, исследовании потребностей потребителей и факторов, влияющих на эластичность спроса.
1. Эластичность спроса. Коэффициент эластичности
Важнейшей характеристикой спроса является его эластичность. Она показывает интенсивность влияния цен товаров на объем их продажи, т.е. меру реакции величины спроса на изменение цены. Степень изменения величины спроса в связи с изменением цены товара может быть различной. В грубом приближении спрос можно характеризовать как:
а) эластичный;
б) неэластичный;
в) единичной эластичности.
Например, при повышении цены на 10% величина спроса может повыситься и на 15%, и на 10%, и на 5%.
Если величина спроса изменяется в большей степени, чем цена (в нашем примере на 15%), то спрос на данный товар является эластичным. Когда величина спроса и цена изменяются в одинаковой степени (на 10%), то такой спрос называется спросом единичной эластичности. Если величина спроса изменяется в меньшей степени, чем цена (на 5%), то такой спрос является неэластичным.
Поскольку спрос и цена измеряются в разных единицах, то это создает неудобства при сравнении их величин. Поэтому и принято выражать их изменения в процентах.
Эластичность спроса по цене определяется отношением процентного изменения величин спроса (объема спроса) к процентному изменению цены. Она рассчитывается по следующей формуле:
где
- эластичность спроса по цене;
∆Qd– разность между исходной и конечной величиной спроса;
∆Р – разность между исходной и конечной ценой.
Полученное в результате деления число называется коэффициентом эластичности. Если, например, увеличение цены на 100% приведет к сокращению объема продаж на 50%, то коэффициент эластичности будет равен 0,5 (50% / 100%). Коэффициент эластичности спроса по цене показывает, на сколько процентов изменяется величина спроса при изменении цены на один процент. Если коэффициент эластичности больше единицы, то спрос эластичен, если равен единице, то спрос единичной эластичности, если меньше единицы, то спрос неэластичен.
Эластичный, единичный и неэластичный спрос графически можно изобразить следующим образом (рис. 1., 1.1, 1.2).
Рис. 1. Эластичный спрос (∆Q>∆P);
>1 [4,с 353]
Рис. 1.1. Спрос единичной эластичности (∆Q=∆P);
=1 [4,с 353]
Рис. 1.2. Неэластичный спрос (∆Q>∆P);
<1 [4,с 354]
Вместе с тем было замечено, что увеличение или уменьшение величины спроса и цены на одну и ту же величину (в физических и денежных единицах соответственно) приводит к разному их изменению в процентом соотношении. А поскольку эластичность спроса определяется как раз процентным изменением объема спроса и цены, то неизбежно возникают разночтения при определении ее действительной величины. Чтобы избежать неопределенности, экономисты стали использовать средние арифметические значения от исходных и конечных значений объема спроса и величины цены. Поэтому формула для определения эластичности спроса стала выглядеть следующим образом:
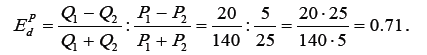
Пример. При цене 10 руб. за единицу товара величина спроса составляла 80 единиц. При повышении цены до 15 руб. величина спроса сократилась до 60 единиц. Эластичность спроса по цене в этом случае будет равна:
Представим теперь обратную ситуацию. При цене 15 руб. за единицу товара величина спроса составила 60 единиц. При понижении цены до 10 руб. величина спроса увеличилась до 80 единиц. Эластичность спроса по цене в этой ситуации составит:
Таким образом, в обоих случаях изменение цены и величины спроса в абсолютных цифрах одно и то же (5 руб. и 20 единиц). Однако коэффициент эластичности в первом случае составил 0,5, а во втором – 1,0, так как процентное изменение цены и величины спроса неодинаково. Если же использовать средние арифметические величины, то эластичность спроса будет равна:
Поскольку изменения величины спроса и цены разнонаправлены, то результат всегда будет иметь знак минус. Однако, как правило, во внимание принимается лишь абсолютное значение коэффициента.
В случае абсолютной неэластичности кривая спроса представляет собой линию, параллельную вертикальной оси (ординат), а в случае абсолютно эластичного спроса она будет параллельна оси абсцисс (рис. 1.3 и 1.4).
Рис. 1.3. Абсолютно неэластичный спрос [5,с 42]
Рис. 1.4. Абсолютно эластичный спрос [5,с 43]
Ценовая эластичность спроса позволяет сделать ряд практических выводов:
-
1. Эластичность спроса оказывает виляние на объем общей выручки от продажи данного количества товара. Не всегда увеличение цены на товар означает рост выручки от его продажи. Сокращение спроса может быть настолько значительным, что суммарная выручка понизится, так как при эластичном спросе цена товара и объем его продажи изменяются в противоположных направлениях. В ряде случаев снижение цены может вызвать такой рост спроса, что суммарная выручка увеличится.
-
2. При неэластичности спроса общая выручка продавца изменяется в том же направлении, что и цена реализуемого товара: при увеличении цены она растет, а при уменьшении - падает.
-
3. Если спрос отличается единичной эластичностью, то выручка остается прежней.
-
4. Товар обладает тем большей ценовой эластичностью, чем больше заменителей он имеет (т.е. чем менее он необходим потребителю), а также, чем выше доля расходов на его потребление в бюджете потребителя.
-
5. При неэластичности спроса продавец не склонен снижать цены, так как потери от такого снижения, как правило, не будут компенсированы ростом величины спроса. Поэтому неэластичный спрос выступает фактором потенциального роста цен. Зная это, производитель всегда является потенциальным сторонником неэластичного спроса и пытается «перевести» эластичный спрос в неэластичный спрос путем искусственного ограничения производства. Это позволяет ему иметь стабильный спрос при высокой цене.
-
6. Высокоэластичный спрос означает крайнюю чувствительность величины спроса к минимальному изменению цены. Это означает, что эластичный спрос выступает фактором потенциального снижения цен.
-
7. Экономический прогресс состоит наряду с другими факторами и в том, что растет число тех товаров, спрос на которые характеризуется высокой эластичностью. Чем выше доля высокоэластичных товаров в структуре совокупного продукта общества, тем свободнее и рациональнее выбор покупателя.
В микроэкономике существует несколько видов эластичности спроса: прямая эластичность спроса по цене, перекрестная эластичность спроса по цене и эластичность спроса по доходу.
Для более подробного изучения видов эластичности спроса необходимо сначала ознакомиться с факторами, влияющими на эластичность спроса.
2. Факторы, влияющие на эластичность спроса
Важным моментом, оказывающим воздействие на эластичность спроса, является наличие товаров-заменителей. Чем больше на рынке продуктов, признанных удовлетворять одну и ту же потребность, тем больше возможностей для покупателя отказаться от приобретения данного конкретного продукта в случае повышения его цены, тем выше эластичность спроса на данный товар.
Например, спрос на хлеб относительно неэластичен. В то же время спрос на отдельные сорта хлеба является относительно эластичным, так как с повышением цены, к примеру, на бородинский хлеб покупатель может перейти на другой сорт ржаного хлеба и т.п. Спрос на сигареты, лекарства, мыло и другие подобные продукты относительно неэластичен. Однако если рассматривать эластичность по отношению к отдельным видам сигарет, сортам мыла и т.п., то она будет значительно выше.
Та же закономерность применима к изделиям, выпускаемым отдельной фирмой. Если на рынке присутствует значительное число конкурентов, выпускающих аналогичную или близкую по назначению продукцию, то спрос на продукцию этой фирмы будет относительно эластичным. В условиях совершенной конкуренции, когда много продавцов предлагают одинаковую продукцию, спрос на товар каждой отдельной фирмы будет абсолютно эластичным.
Другим важным обстоятельством, влияющим на ценовую эластичность, является фактор времени. В краткосрочном периоде спрос имеет тенденцию быть менее эластичным, чем в долгосрочном. Например, спрос на бензин со стороны индивидуальных владельцев автомобилей относительно неэластичен, и повышение цены, особенно в летний сезон, вряд ли сократит спрос. Однако можно предположить, что осенью значительная часть автовладельцев поставят свои машины в гаражи, спрос на бензин снизится, сократится объем продаж его.
Кроме того, к следующему лету часть из них начнут пользоваться пригородными электричками. Несмотря на то, что спрос на бензин относительно неэластичен в обоих случаях, в долгосрочном периоде эластичность выше.
Такая тенденция изменения эластичности во времени объясняется тем, что с течением времени каждый потребитель имеет возможность изменить свою потребительскую корзину, найти товары-заменители.
Различия в эластичности спроса объясняются также значимостью того или иного товара для потребителя. Спрос на предметы первой необходимости неэластичен; спрос на товары, не играющие важной роли в жизни потребителя, обычно эластичен. Действительно, при повышении цен мы можем отказаться от дополнительной пары обуви, драгоценностей, мехов, но вряд ли сократим покупки хлеба, мяса и молока. Как правило, спрос на продукты питания неэластичен, и сейчас, при снижающемся уровне жизни населения, на их приобретение тратится все большая часть доходов средней белорусской семьи.
Изучение факторов влияющих на эластичность спроса делает предпосылки для дальнейшего, более подробного, рассмотрения видов эластичности спроса, что я и сделал в следующей главе.
3. ВИДЫ ЭЛАСТИЧНОСТИ СПРОСА
3.1 Прямая эластичность спроса по цене
Прямая эластичность спроса по цене характеризует относительное изменение спроса на i-тый товар при изменении его цены. Коэффициентом прямой эластичности спроса по цене называют отношение относительного изменения объема спроса в процентах к относительному изменению цены:
Поскольку, как правило, объем спроса с увеличением цены снижается, ∆Q i / ∆P i < 0. Чтобы избежать отрицательных чисел, перед правой частью (3,1) часто вводят знак минус.
Различают точечную и дуговую эластичность. Точечная эластичность (или эластичность в точке) характеризует относительное изменение объема спроса при бесконечно малом изменении цены:
Если кривая спроса задана линейной функцией, например Q i = a i - bp i , наклон ее, очевидно, будет ∆Q i / ∆P i = -b . Подставляя последнее выражение в (3.2), получим
= - b i ( P i / Q i ) (3.3)
Рис. 3.1. Дуговая эластичность спроса [5,с 98]
Это означает, что коэффициент эластичности будет различным в разных точках такой кривой, несмотря на один и тот же ее наклон. Графически коэффициент точечной эластичности линейной кривой спроса определяется соотношением отрезков кривой, лежащих выше и ниже интересующей нас точки.
Для того чтобы избежать неопределенности в расчетах, используют один из двух стандартных методов. Либо в расчете коэффициента эластичности используют наименьшие значения цены и объема, в нашем примере тогда Е = (∆Q i / ∆P i )( P 2 / Q 1 ) либо используют их средние для интервала значения. В этом случае говорят о дуговой эластичности. Дуговая эластичность определяется как средняя эластичность, или эластичность в середине хорды (точка М на рис.1.8), соединяющей две точки. Практически используются средние для дуги АВ значения цены и объема спроса:
Использование (3.4), очевидно, позволяет определить лишь приблизительное значение эластичности по дуге АВ на кривой спроса. Ошибка будет тем больше, чем более вогнутой к началу координат окажется в действительности дуга АВ .
Коэффициент эластичности используется для наиболее общей характеристики спроса.
Если E = 0, спрос совершенно неэластичен, никакое изменение цены не влияет на объем спроса.
Если E > 1, спрос совершенно эластичен, малое повышение цены ведет к бесконечно большому сокращению спроса. И наоборот, малое снижение цены ведет к бесконечно большому увеличению объема спроса.
При E = 1 говорят, что спрос имеет единичную эластичность, изменение цены на 1% ведет к изменению объема спроса также на 1%. В этом случае кривая спроса имеет форму равнобочной гиперболы.
Линии спроса с нулевой, единичной и бесконечной эластичностью показаны на рис.3.2.
Рис. 3.2. Линия спроса с нулевой, единичной и бесконечной эластичностью спроса [5,с 101]
Если 0 < E < 1, говорят, что спрос неэластичен, увеличение (снижение) цены на 1% сопровождается снижением (повышением) объема спроса менее чем на 1%.
Если 1 < E < ∞, говорят, что спрос эластичен, повышение (снижение) цены на 1% сопровождается снижением (повышением) объема спроса более чем на 1%.
Прямая эластичность спроса по цене зависит прежде всего от наличия товаров-заменителей. Чем больше таких товаров-заменителей, чем ближе их основные свойства, тем эластичнее спрос на данный товар. Отсутствие товаров-заменителей предопределяет совершенную неэластичность спроса (например, спрос на поваренную соль). Поэтому, чем более агрегированную группу товаров мы рассматриваем, тем ниже эластичность спроса (например, спрос на мясопродукты менее эластичен, чем спрос на колбасы, а спрос на колбасы менее эластичен, чем спрос на колбасу определенного вида).
Эластичность зависит также от разнообразия возможностей (направлений) использования данного товара. Чем разнообразнее эти возможности, тем выше и эластичность (например, спрос на универсальное оборудование более эластичен, чем на специализированное).
Рис. 3.3. Линия спроса со стертыми ступенями [5,с 103]
Прямая эластичность спроса зависит также от степени насыщения потребностей. Если почти все семьи уже имеют хотя бы по одному холодильнику, небольшое снижение рыночной цены вряд ли существенно скажется на объеме спроса и продаж. Напротив, на стадии начального насыщения спроса, скажем, на компьютеры, сравнительно небольшое снижение цены может вызвать значительный рост спроса и продаж.
Наконец, эластичность спроса зависит от фактора времени. Спрос более эластичен в длительном периоде, чем в коротком, поскольку для приспособления к изменившемуся соотношению цен необходимо время. Безусловно, шок от повышения цен на энергоресурсы приведет к появлению новых энергосберегающих технологий и, значит, к относительному сокращению спроса на них. Но переход к новым технологиям не может произойти на утро следующего после освобождения цен на энергоресурсы дня. Наряду с обычной ступенчатой линией спроса нередко используют в ценовой политике кривую спроса со стертыми ступенями. Такая линия показана на рис.3.3. Она не имеет горизонтальных участков, ее ступени как бы несколько стерты. Поэтому в отличие от обычной ступенчатой кривой объем спроса меняется при любом сколь угодно малом изменении цены. Однако меняется по-разному. Например, снижение цены с P 2 до P 3 , меньшее, чем снижение цены с P 1 до P 3 , сопровождается значительно большим увеличением объема спроса.
Кривая спроса со стертыми ступенями объясняет такое явление, как стабильность (иногда ее называют липкостью) цен в условиях, когда цены многих других товаров изменяются. Дело в том, что повышение цены данного товара с P 3 до P 2 приведет к сокращению спроса почти в 2 раза, тогда как ее снижение с P 3 до P 4 дает ничтожно малый его прирост. Таким образом, спрос на данный товар может оказаться весьма эластичным при повышении цены, но почти неэластичным при ее снижении (или наоборот).
1>Характеристики
Тип файла документ
Документы такого типа открываются такими программами, как Microsoft Office Word на компьютерах Windows, Apple Pages на компьютерах Mac, Open Office - бесплатная альтернатива на различных платформах, в том числе Linux. Наиболее простым и современным решением будут Google документы, так как открываются онлайн без скачивания прямо в браузере на любой платформе. Существуют российские качественные аналоги, например от Яндекса.
Будьте внимательны на мобильных устройствах, так как там используются упрощённый функционал даже в официальном приложении от Microsoft, поэтому для просмотра скачивайте PDF-версию. А если нужно редактировать файл, то используйте оригинальный файл.
Файлы такого типа обычно разбиты на страницы, а текст может быть форматированным (жирный, курсив, выбор шрифта, таблицы и т.п.), а также в него можно добавлять изображения. Формат идеально подходит для рефератов, докладов и РПЗ курсовых проектов, которые необходимо распечатать. Кстати перед печатью также сохраняйте файл в PDF, так как принтер может начудить со шрифтами.
















