179254 (628142), страница 4
Текст из файла (страница 4)
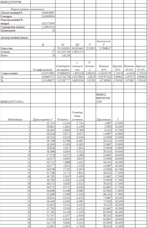
Y=-19,5974+0,6488*Xi+0,3335*Xj
2. Коефіцієнт детермінації для даних моделей:
а) Коефіцієнт детермінації R2 (2-параметрична модель з «нульовим» вільним членом) = 0,6076 (n=30), сила регресійного зв’язка – середньої щільності (0,36>
>0,75).
б) Коефіцієнт детермінації R2 (2-параметрична модель з значущим вільним членом (n=30).) = 0,6497 (n=30), сила регресійного зв’язка – середньої щільності (0,36>
>0,75).
Згідно з таблицями критичних значень критерія Фішера:
– для багатовимірної (і=2) лінійної вибірки з n‑1=29 величин табличне значення Fтабл = 1,93 при рівні довірчої ймовірності Р=0,95 [48].
Як видно з даних розрахунків (табл. 4.1 –4.2), проведених за допомогою «електронних таблиць» EXCEL-2000, фактичні значення критерія Фішера для багатовимірних вибірок (і=2) з n‑1=29 величин становлять:
а) F (2‑параметрична модель з «нульовим» вільним членом) = 21,6829 (n=30)> 3,33 (табл. критерій Фішера);
Таблиця 4.1. Результати розрахунків багатовимірної лінійної регресійної моделі Y=f (Xi, Xj) за допомогою «електронних таблиць» EXCEL-2000 (варіант з «нульовим» вільним членом)
Таблиця 4.2. Результати розрахунків багатовимірної лінійної регресійної моделі Y=f (Xi, Xj) за допомогою «електронних таблиць» EXCEL-2000 (варіант з значущим вільним членом)
б) F (2‑параметрична модель з значущим вільним членом) = 25,038 (n=30)> 3,33 (табл. критерій Фішера);
Тобто набагато перевищують мінімально-критеріальні значення по Фішеру і отримані регресійні багатовимірні рівняння є значущими.
Парні кореляції кореляції Пирсона обчислюються по формулі (наприклад для
):
(4.17)
Для перевірки значимості коефіцієнтів кореляції використовують
критерій. Коефіцієнт кореляції характеризує тісноту лінійного зв'язку між перемінними. Для цього знаходять
статистику:
(4.18)
Якщо
, то коефіцієнт кореляції значимий, у противному випадку – немає.
p – р-рівень, що відповідає
статистиці
Якщо р>0,05, то гіпотеза
:
не значимий не відхиляється.
Якщо р<0,05, то гіпотеза
:
не значимий відхиляється (коефіцієнт кореляції значимий).
Якщо
, то зв'язок строго функціональний
Якщо
, то зв'язок сильний (щильний)
Якщо
, то зв'язок середній
Якщо
, то зв'язок помірний
Якщо
, то зв'язок слабкий
Якщо
, то зв'язок відсутній (x, y некорелльовані)
Розрахунки, виконані спеціалізованою програмою «Статистика» дають наступні характеристики парних коефіцієнтів кореляції:
Для пари (Xi, Xj) коефіцієнт кореляції дорівнює r (Xi, Xj)=0,37,
p=0,044<0,05, отже, коефіцієнт кореляції значимий.
Для пари (Xi, Y) коефіцієнт кореляції дорівнює r (Xi, Y)=0,7467, p=0,000<0,05, отже, коефіцієнт кореляції значимий.
Для пари (Xj, Y) коефіцієнт кореляції дорівнює r (Xj, Y)=0,5583, p=0,001<0,05, отже, коефіцієнт кореляції значимий.
Множинний коефіцієнт кореляції розраховується за допомогою парних коефіцієнтів кореляції за формулою:
(4.19)
Що відповідає результатам програмних розрахунків, наведених в табл. 4.2.
4.2.3 Визначення множинного індексу кореляції, мажорантності парних та часткових коефіцієнтів, розрахунок коефіцієнта детермінації, часткових коефіцієнтів детермінації
Коефіцієнт детермінації показує частку розсіювання
відносно
, що порозумівається побудованою регресією. Це коефіцієнт кореляції в квадраті.
Часткові коефіцієнти кореляції
Розгляду кореляцій між парами випадкових величин часто недостатньо. Якщо коефіцієнт кореляції між двома величинами великий, це може відбивати той факт, що вони обидві корелюють з деякою третьою величиною або сукупністю величин і між ними не обов'язково повинна існувати безпосередня залежність.
Наприклад, у нас
Щоб визначити дійсний зв'язок між двома перемінними, варто розглянути коефіцієнт часткової кореляції між ними за умови, що всі інші величини приймають фіксовані значення.
Для визначення приватного коефіцієнта кореляції використовується наступна матриця:
(4.20)
Виділена підматриця
дорівнює кореляційній матриці.
Частrовий коефіцієнт кореляції між перемінною
і перемінною
при фіксуванні всіх інших перемінних визначається по формулі:
, (4.21)
де
– алгебраїчне доповнення елемента
,
, а
виходить з
викреслюванням
й рядка і
го стовпця.
Часткові коефіцієнти кореляції мають ті ж властивості, що і звичайні. При виборі найкращої моделі з їхньою допомогою визначають яка з перемінних
робить на
найбільший вплив.
Розрахунки часткових коефіцієнтів кореляції проведемо за допомогою спеціалізованої програми «Статистика».
Одержуємо частковий коефіцієнт кореляції між Y і Xi при фіксованому Xj
Тому що p-level=0,000<0,05, то коефіцієнт значимий.
Одержуємо частковитй коефіцієнт кореляції Y і X при фіксованому Xi
Тому що p-level=0,013<0,05, то коефіцієнт значимий.
4.2.4 Розрахунок коефіцієнта еластичності, бета-коефіцієнтів
Для порівняння впливу різних факторів в формуванні результативної ознаки розраховують коефіцієнт еластичності (Е) та β-коефіцієнти:
Частковий коефіцієнт еластичності по кожній з факторних ознак показує на скільки відсотків в середньому змінюється результативна ознака при зміні на 1% факторної ознаки (Bk – коефіцієнт в рівнянні множинної регресії)
(4.22)
β-коефіцієнт показує на яку частину середнього квадратичного відхилення зміниться результативний показник при зміні відповідного факторного показника на величину його середньоквадратичного відхилення
(4.23)
Розраховуємо показники:
Висновки
В курсовій роботі побудовані лінійні та нелінійні регресійні одномірні моделі кореляційного зв’язку продуктивності корів по середньорічним надоям молока Y=F(Xi) та Y=f(Xj). Як показує проведений аналіз результативна ознака Y щільно пов’язана з двома факторними ознаками – кількістю кормів на одну корову та приплідом на 100 корів, при цьому коефіцієнт детермінації R2 для лінійної кореляції знаходиться в діапазоні 0,35 – 0,5, тобто лінійний одномірний кореляційний зв’язок з кожною з факторних ознак є помірної сили. При побудові нелінійних одномірних рівнянь регресії коефіцієнт детермінації R2 для нелінійної кореляції знаходиться в діапазоні 0,5 – 0,7, тобто нелінійний одномірний кореляційний зв’язок є сильним.
Лінійні багатовимірні рівняння регресії описують наступні статистичні процеси:
1. Рівняння багатовимірної лінійної регресії:
а) 2-параметрична модель з «нульовим» вільним членом (n=30).
Y=0,6358*Xi+0,1293*Xj
б) 2-параметрична модель з значущим вільним членом (n=30).
Y=-19,5974+0,6488*Xi+0,3335*Xj
2. Коефіцієнт детермінації для даних моделей:
а) Коефіцієнт детермінації R2 (2-параметрична модель з «нульовим» вільним членом) = 0,6076 (n=30), сила регресійного зв’язка – середньої щільності (0,36>
>0,75).
б) Коефіцієнт детермінації R2 (2-параметрична модель з значущим вільним членом (n=30).) = 0,6497 (n=30), сила регресійного зв’язка – середньої щільності (0,36>
>0,75).
Згідно з таблицями критичних значень критерія Фішера:
– для багатовимірної (і=2) лінійної вибірки з n‑1=29 величин табличне значення Fтабл = 1,93 при рівні довірчої ймовірності Р=0,95 [48].
Як видно з даних розрахунків (табл. 4.1 –4.2), проведених за допомогою «електронних таблиць» EXCEL-2000, фактичні значення критерія Фішера для багатовимірних вибірок (і=2) з n‑1=29 величин становлять:
а) F (2-параметрична модель з «нульовим» вільним членом) = 21,6829 (n=30)> 3,33 (табл. критерій Фішера);
б) F (2-параметрична модель з значущим вільним членом) = 25,038 (n=30)> 3,33 (табл. критерій Фішера);
Тобто набагато перевищують мінімально-критеріальні значення по Фішеру і отримані регресійні багатовимірні рівняння є значущими.
Список використаної літератури
1. Агропромисловий комплекс України: стан, тенденції та перспективи розвитку // Інформаційно-аналітичний збірник. – Випуск №5. – К.: ІАЕ УААН. – 2002. – 647 с.
2. Бараник З.П. Статистика. – К.: Університет «Україна, 2006. – 268 с.
3. Відтворення та ефективне використання ресурсного потенціалу АПК (теоретичні і практичні аспекти) / Відп. ред. акад. УААН В.М. Трегобчук. – К.: Ін-т економіки НАН України, 2003. – 259 с.
4. Єріна А.М., Пальян З.О. Теорія статистики. – К.: Знання, 2006. – 255 с.
5. Доугерти, Кристофер. Введение в эконометрику: Учебник/ К. Доугерти. – 2‑е изд. – М.: ИНФРА‑М, 2007. – 419 с. – (Университетский учебник)
6. Загній О.Г. Сучасні проблеми та перспективи розвитку харчової і переробної промисловості України. Економіка промисловості України. Зб. наук. пр. – К.: РВПС України НАН України, – 2002. – 255 с.
7. Іщук С. І. Розміщення продуктивних сил (теорія, методи, практика). – К.: Видавництво Європейського університету, 2004. – 216 с.
8. Качан Є. П., Пушкар М.С. Розміщення продуктивних сил України. – К.: Видавничий Дім «Юридична книга», 2004. – 552 с.
9. Ковалевський В.В. Розміщення продуктивних сил і регіональна економіка. – К.: Знання, 2004. – 350 с.
10. Кулинич О. І. Теорія статистики: Підручник/ О.І. Кулинич, Р.О. Кулинич. – 3‑тє вид., переробл. і допов. – К.: Знання, 2006. – 294 с. – (Вища освіта XXI століття)
11. Максимов О.В. Математична статистика. – Кривий Ріг, 2005. – 160 с.
12. Мартиненко М.А., Нещадим О.М., Радзієвська О. І., Сафонов В.М. Математична статистика. – К.: Четверта хвиля, 2005. – 208 с.
13. Моторин Р.М., Головач А.В., Сідорова А.В., Атаманчук Н.М., Баранік З.П. Економічна статистика. – К.: КНЕУ, 2005. – 362 с.
14. Моторин Р.М., Чекотовський Е.В. Статистика. Збірник індивідуальних завдань з використанням Excel. – К.: КНЕУ, 2005. – 266 с.
15. Уманець Т.В. Економічна статистика. – К.: Знання, 2006. – 429 с.
16. Уманець Т.В. Загальна теорія статистики. – К.: Знання, 2006. – 239 с.
17. Чернюк Л.Г., Клиновий Д.В. Розміщення продуктивних сил і регіональна економіка. – К.: Університет «Україна», 2004. – 245 с.
18. Штангрет А.М., Копилюк О. І. Статистика. – Л.: Українська академія друкарства, 2005. – 176 с.
19. http://www.minagro.gov.ua – Офіційний сайт міністерства аграрної політики //
0>0>0>0>0>0>














