179254 (628142), страница 3
Текст из файла (страница 3)
Мода (модальна величина) ряду – це така величина, яка найбільш часто зустрічається в даному розподілі.
(3.3)
x0 – це нижня межа модального інтервалу.
i – величина інтервалу.
f2 – частота модального інтервалу,
f1 – частота передмодального інтервалу (того, що передує
модальному)
f3 – частота позамодального інтервалу (того, що йде після модального
інтервалу)
Медіаною називається така величина, що займає серединне положення у варіаційному ряду, в якому варіанти розташовані в зростаючому або спадаючому порядку.
Для дискретного ряду:
(3.4)
Для варіаційного ряду:
(3.5)
x0 – це нижня межа медіального інтервалу.
i – величина інтервалу.
Sm-1 – сума накопичених частот до медіанного інтервалу.
fm – частота медіанного інтервалу.
Структурні величини мода і медіана застосовуються для вивчення внутрішньої будови рядів розподілу, тобто їх структури.
В табл. 3.1 наведені результати розрахунків моди та медіани для вибірки результативної ознаки Y.
В табл. 3.2 наведені результати розрахунку показників рядів факторних та результативної ознаки за допомогою «електронних таблиць» Excel –2000 (вбудовані статистичні розрахунки).
Таблиця 3.2. Розрахунок показників рядів факторних та результативної ознаки за допомогою «електронних таблиць» Excel –2000 (вбудовані статистичні розрахунки)
3.4 Зважені показники варіації рядів розподілу (
)
Для вимірювання та оцінки варіації використовують абсолютні та відносні характеристики. До абсолютних відносяться: варіаційний розмах, середнє лінійне та середнє квадратичне відхилення, дисперсія; відносні характеристики представлені низкою коефіцієнтів варіації.
Варіаційний розмах характеризує діапазон варіації, це різниця між максимальним і мінімальним значеннями ознаки:
(3.6)
Узагальнюючою мірою варіації є середнє відхилення індивідуальних значень ознаки від центру розподілу.
Середня арифметична величина виборки розраховуэться як:
(3.7)
Середньозважене лінійне відхилення:
(3.8)
Середнє квадратичне відхилення:
(3.9)
Середній квадрат відхилень – дисперсія:
, (3.10)
де
- середнє арифметичне інтервального ряду розподілу, f – частота.
Середнє лінійне та середнє квадратичне відхилення – іменовані числа (в одиницях вимірювання ознаки).
Порівнюючи варіації різних ознак або однієї ознаки у різних сукупнос-тях, використовують відносні характеристики варіації. Коефіцієнти варіації розраховуються як відношення абсолютних, іменованих характеристик до центру розподілу і часто виражаються процентами:
Лінійний коефіцієнт варіації:
(3.11)
Квадратичний коефіцієнт варіації:
(3.12)
В табл. 3.1 – 3.2 наведені результати розрахунків показників варіації, виконані методом моментів та автоматизованим розрахунком вбудованими алгоритмами статистичної обробки.
Середньозважена величина вибірки методом моментів розраховується на основі таблиць групування 2.4 -2.5, 3.1 по формулі:
(3.13)
де mi - момент першого порядку для групування i – груп вибірки
а – один із показників середніх величин інтервалів в вибірці, для
спрощення вибираємо показник на одному з кінцевих інтервалів
(3.14)
4. Кореляційний аналіз продуктивності та факторів, що на неї впливають
4.1 Рангова кореляція – розрахунок коефіцієнта Спірмена (коефіцієнт кореляційних рангів)
Нехай
і
вибірки з безперервних розподілів (розподіл відмінний від нормального). Кожному значенню
поставимо у відповідність його ранг
у варіаційному рядові
. Аналогічно, кожному значенню
поставимо у відповідність його ранг
у варіаційному рядові
.
Ранговий коефіцієнт кореляції Спирмена
, як і звичайний коефіцієнт кореляції, характеризує залежність між вибірками випадкових величин. Вибірковим значенням рангового коефіцієнта кореляції Спирмена
називають величину
(4.1)
Коефіцієнт
– непараметрична міра залежності між
і
.
Гіпотеза
при альтернативній гіпотезі
перевіряється за допомогою статистики
(4.2)
Якщо
, то гіпотеза
відхиляється (тобто між
і
існує рангова кореляційна залежність), і не відхиляється в противному випадку. Рівень значимості критерію
.
Порахуємо коефіцієнт Спирмена між Xi і Y в таблиці 2.1 з використанням спеціалізованої програми «Статистика».
N – обсяг вибірок
Spearman R – коефіцієнт рангової кореляції Спирмена
t (N‑2) – статистика
для перевірки гіпотези
p-level – р-уровень
Тому що
, то гіпотеза
відхиляється (або, що те ж р-level<0,05, тому гіпотеза відхиляється).
Ранговий кореляційний зв'язок між Xi і Y є значимим.
Порахуємо коефіцієнт Спирмена між Xj і Y в таблиці 2.1 з використанням спеціалізованої програми «Статистика».
Тому що
, то гіпотеза
відхиляється (або, що те ж р-level<0,05, тому гіпотеза відхиляється).
Ранговий кореляційний зв'язок між Xj і Y є значимим.
На основі наведених даних спостережень будуються лінійна одновимірні Y=f(Xi) та багатовимірні Y=f (Xi, Xj) регресійні моделі, які встановлюютьє залежність результативної ознаки Y – середньорічного рівня надою молока від факторних ознак – Xi (кількості кормів на одну корову) та Xj (рівня приплоду телят на 100 корів) по 30 хазяйствам.
Одновимірна лінійна регресійна модель представляється як:
, (4.3)
де
– постійна складова доходу
(початок відліку);
– коефіцієнт регресії;
– відхилення фактичних значень надою
від оцінки (математичного сподівання)
середньої величини надою в і-тому хазяйстві.
Існують різні способи оцінювання параметрів регресії. Найпростішим, найуніверсальнішим є метод найменших квадратів [48]. За цим методом параметри визначаються виходячи з умови, що найкраще наближення, яке мають забезпечувати параметри регресії, досягається, коли сума квадратів різниць
між фактичними значеннями доходу та його оцінками є мінімальною, що можна записати як
. (4.4)
Відмітимо, що залишкова варіація (4.4) є функціоналом
від параметрів регресійного рівняння:
(4.5)
За методом найменших квадратів параметри регресії
і
є розв’язком системи двох нормальних рівнянь [48]:
, (4.6)
.
Розв’язок цієї системи має вигляд:
, (4.7)
.
Середньоквадратична помилка регресії, знаходиться за формулою
, (4.8)
Коефіцієнт детермінації для даної моделі
(4.9)
повинен дорівнювати:
>0,75 – сильний кореляційний зв’зок, 0,36>
>0,75 – кореляційний зв’язок середньої щільності;
<0,36 – кореля-ційній зв’язок низької щільності [48].
Для характеристики кореляційного зв’язку між факторною і результативною ознаками побудуємо графік кореляційного поля та теоретичну лінію регресії, визначимо параметри лінійного рівняння регресії.
Для перевірки істотності зв’язку потрібно порівняти фактичне значення статистики Фішера (F-критерій) з його критичним (табличним) значенням, яке потрібно визначити з урахуванням умов аналітичного групування і заданого рівня істотності, скориставшись таблицею.
При виконанні процедури перевірки значущості коефіцієнта детермінації висувається нульова гіпотеза H0 проти альтернативи H1, котрі полягають в наступному:
H0: істотної різниці між вибірковим коефіцієнтом детермінації та коефіцієнтом детермінації генеральної сукупності не існує. Ця гіпотеза рівносильна гіпотезі H0: b=0, тобто змінні X не впливають суттєво на залежну змінну Y. Для оцінки істотності коефіцієнта детермінації використовується статистика:
(4.10)
що має F-розподіл Фішера з f1=1 та f2=n‑2=30–2=28 ступенями вільності.
Значення статистики порівнюється з критичним значенням цієї статистики, знайденим за таблицею при заданому рівні значущості =0,05 та відповідному числі ступенів вільності. Якщо F>F1,n-2,, то обчислений коефіцієнт детермінації істотно відрізняється від нуля. Цей висновок забезпечується з ймовірністю 1-. Рівень істотності =0,05. Кількість ступенів вільності наступна: f1=1, f2=28.
Для лінійного зв’язку використовується лінійний коефіцієнт кореляції (Пірсона):
(4.11)
який набуває значень у межах +-1, тому характеризує не лише щільність, а й напрямок зв’язку. Додатне значення свідчить про прямий зв’язок, а від’ємне – про зворотний.
Щільність зв’язку оцінюється індексом детермінації: R=
, проте інтерпретується тільки R2. Якщо коефіцієнт детермінації більше 0,6, то 60% варіації залежної величини пояснюється варіацією незалежного параметра кореляції і зв’язок є щільним.
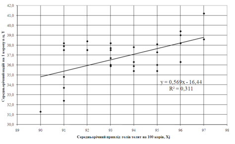
На рис. 3.1 – 3.4 наведені лінійні та нелінійні регресійні одномірні моделі кореляційного зв’язку Y=F(Xi) та Y=f(Xj).Як видно з графіків рис. 3.1 – 3.2 коефіцієнт детермінації R2 для лінійної кореляції знаходиться в діапазоні 0,35 – 0,5, тобто лінійний одномірний кореляційний зв’язок є слабої сили. При побудові нелінійних одномірних рівнянь регресії (рис. 3.3 – 3.4) коефіцієнт детермінації R2 для нелінійної кореляції знаходиться в діапазоні 0,5 – 0,7, тобто нелінійний одномірний кореляційний зв’язок є сильним.
Рис. 3.1. – Побудова лінійної одномірної регресії Y=f(Xi) з використанням «електронних таблиць» Excel-2000
Рис. 3.2. – Побудова лінійної одномірної регресії Y=f(Xj) з використанням «електронних таблиць» Excel-2000
Рис. 3.3. – Побудова нелінійної одномірної регресії Y=f(Xi) з використанням «електронних таблиць» Excel-2000
Рис. 3.4. – Побудова нелінійної одномірної регресії Y=f(Xj) з використанням «електронних таблиць» Excel-2000
4.2 Аналіз множинної кореляції
4.2.1 Перевірка передумови проведення кореляційного аналізу
Лінійна багатовимірна модель (ЛБМ) Y=f (X1, X2) має такий вигляд [68]
y=β0+ β1x1+ … + βpxp (4.12)
y – залежна змінна – ендогенна змінна
x1, x2…xp – залежні змінні – екзогенні змінні.
У зв’язку з тим, що економетрична модель обов’язково має випадкову помилку, модель (3.21) переписується у вигляді (4.13)
y=β0+ β1x1+ … + βpxp+ε (4.13)
де ε – випадкова помилка або перешкода.
Якщо після необхідних обчислень визначені чисельні значення коефіцієнтів β, то кажуть, що ми отримали оцінку коефіцієнтів моделі:
, тобто оцінкою коефіцієнта β є його чисельне значення b=
.
Якщо замінити у виразі (4.13) коефіцієнти моделі оцінками, то ми отримаємо такий вираз
(4.14)
Основними передумовами використання моделі (4.12–4.13), а такі моделі ще називаються регресійними багатовимірними моделями, є наступне:
-
M (ε)=0 математичне сподівання відхилення равно 0;
-
відхилення взаємонезалежні із змінними cov (xi,
)=0
-
для 2‑х визначень відхилень коефіцієнтів коваріації між ними також дорівнює 0 – cov
-
відхилення ε нормально розподілена величина з параметрами (0; 1)
ε=N (ε, 0; 1)
-
від виміру до виміру дисперсія відхилення не змінюється
П’ята властивість. носить спеціальну назву: гомоскедастичність (одно-рідність). Якщо умова 5) не виконана, то кажуть, що дисперсія має властивість гетероскедастичності.
Чисельний аналіз регресійної моделі починають з того, що визначають значення регресійних коефіцієнтів β1… βр та коефіцієнтів β0, який має спеціальну назву – вільний член.
Регресійні коефіцієнти визначають за допомогою методів найменших квадратів.
(4.15)
Візьмемо частичні похідні по кожному з виразів, дорівняти їх і отримаємо систему рівнянь
Ця система рівнянь має спеціальну назву – нормальна система.
(4.16)
Невідомі у системі (4.16) – це коефіцієнти в0, в1…
х1, y1 – ми маємо внаслідок спостережень
в0, в1 – це коефіцієнти, які ми повинні визначити
n – кількість спостережень, вони нам завжди відомі.
4.2.2 Побудова множинного лінійного кореляційного рівняння, розрахунок коефіцієнтів регресії, перевірка суттєвості та визначення парних коефіцієнтів кореляції
Використовуючи таблицю вихідних даних (Додаток А), розраховуємо багатовимірну лінійну регресійну модель за допомогою «електронних таблиць» EXCEL-2000. Результати розрахунків наведені в табл. 4.1
Як видно з даних розрахунків табл. 4.1 – 4.2, лінійні багатовимірні рівняння регресії описують наступні статистичні процеси:
1. Рівняння багатовимірної лінійної регресії:
а) 2‑параметрична модель з «нульовим» вільним членом (n=30).
Y=0,6358*Xi+0,1293*Xj
б) 2‑параметрична модель з значущим вільним членом (n=30).
0>0>0>
)=0















