175495 (626348), страница 5
Текст из файла (страница 5)
Ключевым моментом этой методики оценки эффективности инвестиций является не то, как долго каждый инвестиционный проект будет приносить доход, а прежде всего то, когда он будет приносить доход и сколько поступлений дохода будет каждый месяц, квартал или год на протяжении всего срока его действия. Дюрация измеряет эффективное время действия инвестиционного проекта. В результате менеджеры получают сведения о скорости поступления денежных доходов, приведенных к текущей дате. Чем короче дюрация, тем эффективнее проект при прочих равных условиях.
После принятия инвестиционного решения необходимо спланировать его осуществление и разработать систему послеинвестиционного контроля (мониторинга). .
Послеинвестиционный контроль позволяет убедиться, что затраты и техническая характеристика проекта соответствуют первоначальному плану; повысить уверенность в том, что инвестиционное решение было тщательно продумано и обосновано; улучшить оценку последующих инвестиционных проектов.
2.1.3 Анализ эффективности финансовых вложений
Критерии оценки эффективности инвестиций подразделяются натри группы:
1) срок окупаемости инвестиций;
2) отдачу инвестиций;
3) рентабельность (доходность) инвестиций.
Срок окупаемости инвестиций (Т°к) определяется как отношение общей суммы инвестиций (Инв) к величине прибыли (Р) или величине прироста прибыли (АР):
Ток = Инн/Л или Ток = Инв/ДА
При значительной неравномерности получения прибыли во времени срок окупаемости инвестиций может определяться сопоставлением общей суммы инвестиций с суммой прироста прибыли.
Срок окупаемости соответствует тому периоду, при котором сумма рассчитанного таким образом прироста прибыли равна сумме инвестиций.
Отдача инвестиций может оцениваться с помощью показателей дополнительного объема реализации услуг на 1 руб. инвестиций, дисконтированного дохода, будущей стоимости инвестиций.
Дополнительный объем реализации услуг на 1 руб. инвестиций рассчитывается как отношение прироста объема реализации продукции, полученной в результате дополнительных инвестиций (∆N), к общей сумме инвестиций:
Эи =∆N /Инв,
где Эи - эффективность инвестиций.
Научно обоснованной является оценка эффективности инвестиций, основанная на методах наращений или дисконтирования денежных поступлений, учитывающих изменение стоимости денег во времени.
Оценка рентабельности (доходности) производится сопоставлением полученного дохода отданного вида инвестиций с величиной инвестиций.
В качестве оценочных параметров можно использовать показатель общей экономической эффективности инвестиций и более конкретный показатель - доход на вложенный капитал.
Общая экономическая эффективность инвестиций по отдельно действующему предприятию определяется как отношение прироста прибыли к общей сумме инвестиций, вызвавших этот прирост; по вновь создающемуся предприятию - как отношение планируемой прибыли к общей сумме инвестиций:
Эиобщ=∆N /Инв, Эиобщ=P /Инв,
Доход на вложенный капитал (ДВК) определяется отношением общей суммы прибыли к общей сумме инвестиций:
ДВК =P/Инв.
Соответственно доходность каждого вида инвестиций можно рассчитать как обратный показатель:
P=ДВК - Инв.
Этот метод позволяет при наличии альтернативных вариантов долгосрочных финансовых вложений выбрать вариант, более выгодный для предприятия.
2.1.4 Оценка риска долгосрочных инвестиций
Инвестиционный риск может быть диверсифицируемый и недиверсифицируемый. Диверсифицируемый риск, который иногда называют несистематическим риском, представляет собой часть риска, который обусловлен неуправляемыми или случайными событиями и может быть устранен в результате диверсификации, т.е. путем такого сочетания объектов инвестирования или производимых предприятием продуктов, которые снижают совокупный риск.
Недиверсифицируемый риск, или систематический, - это риск, связанный с силами, воздействующими на все объекты инвестирования, и не являющийся уникальным для какого-то одного объекта. Он отражает процессы самой рыночной экономики. При количественной оценке риска используют йота-коэффициент - измеритель риска, численно равный коэффициенту вариации величины, в отношении которой делается оценка риска:
I= ( (σ (x) /M (x)) *100%
где I - йота-коэффициент, коэффициент вариации случайной величины х;
M (х) - математическое ожидание величины x;
σ (х) - среднеквадратичное отклонение величины х;
Математическое ожидание дискретной случайной величины подсчитывается по формуле:
M (x) = ∑ (xj P (xj))
где M/ (х) - математическое ожидание случайной величины х;
xj - j-й вариант возможного значения величины х;
P (xj) - вероятность j-го варианта значения величины х;
J - номер возможного варианта значения величины;
∑ - знак суммирования по всем вариантам значений величины х;
По результатам большого числа измерений математическое ожидание определяется как среднее арифметическое полученных значений:
M (x) = xср = ∑ xj/n
где хср - среднее значение случайной величины х;
хj. - значение случайной величины, полученное при о-м измерении;
n - число измерений;
∑ - знак суммирования по всем измерениям.
Йота-коэффициент показывает возможную амплитуду колебаний ожидаемой доходности с определенной (доверительной) вероятностью. Этот показатель более предпочтительный по сравнению со среднеквадратическим отклонением, так как характеризует риск на единицу ожидаемой доходности.
Совокупный риск суммы доходов, например, хозяйственного портфеля предприятия или портфеля ценных бумаг, как правило, ниже входящих в него отдельных проектов или ценных бумаг. Это связано с тем, что между входящими в портфель элементами существует либо отрицательная корреляционная зависимость, либо неполная положительная.
Поэтому при принятии решения относительно проекта или бумаги, входящей в портфель, необходимо оценивать их риск с точки зрения влияния на совокупный риск портфеля.
2.2 Система показателей комплексного анализа инновационной деятельности
Рассмотрим организационно-методические положения экономического анализа инновационной деятельности, в первую очередь характерные для него приемы и методы.
Анализ 5-кривых жизненного цикла инноваций проводится на основе данных о динамике объемов реализации и доходов за длительные периоды времени (годы, десятки лет) по отрасли в целом. При анализе жизненного цикла инноваций-продуктов необходимо выделить следующие факторы:
1. Влияние на продажи (цена, объем продаж): наличие, цены и объемы продаж конкурирующих продуктов (в том числе конкурирующих новшеств), динамика спроса на совокупность указанных конкурирующих продуктов и анализируемый продукт в целом (автономная динамика спроса), общее влияние прочих внешних независимых факторов, таких как инфляция, реальные доходы и ожидания потребителей. При наличии явных комплементарных (дополняющих) или основных продуктов следует учитывать динамику их сбыта под воздействием аналогичных факторов и перекрестную эластичность спроса.
2. Влияние на затраты (условно-переменные, условно-постоянные): эффект масштаба (плавное нелинейное изменение затрат при изменении объемов производства); неравномерный ввод в эксплуатацию (вывод из эксплуатации) производственных мощностей (ступенчатое изменение затрат); изменение пен на производственные ресурсы, замену материалов, изменение технологии и т.п.; изменение норм расхода материалов и затрат труда (в том числе автономное изменение (так называемые кривые опыта) и в результате организационных мероприятий); изменение методов бухгалтерского учета и учетной политики.
Анализ жизненного цикла процесса (технологии) невозможно провести в рамках перспективного или текущего анализа инновационной деятельности из-за ограничений, накладываемых информационной базой (в частности, нет данных о затратах отдельных организаций-конкурентов, нет процессов-аналогов с завершенным жизненным циклом как базы для сравнения), поэтому аналитики ограничиваются лишь качественными оценками и экспертными суждениями.
Анализ финансовых результатов (в том числе прогнозируемых) и денежных потоков инноваций не имеет принципиальных отличий от анализа прибылей и денежных потоков по иным, не инновационным видам деятельности, поскольку эксплуатация инноваций представляет собой всего лишь одно из направлений (возможно, сегментов) текущей деятельности. Наибольшее значение имеет текущий анализ; он решает задачи сметного контроля и оперативного управления и заключается в оценке влияния внешних и внутренних, зависимых и независимых факторов на отклонения от планов (смет) доходов и расходов инновационных проектов. В ходе анализа необходимо выделить как минимум влияние следующих факторов:
объем производства и реализации продукции (товаров, услуг);
цены на продукцию и исходные производственные ресурсы (приобретаемые товары);
нормы расхода производственных ресурсов (расход материалов, затраты труда и т.д.).
При оценке деятельности отдельных подразделений руководство обычно исходит из влияния последнего фактора, два первых характеризуют адекватность и эффективность маркетинговой политики и решений самого руководства. Текущий анализ отклонений целесообразно интегрировать в систему управленческого учета, формируя соответствующую внутрифирменную отчетность.
Система форм (регистров) внутрифирменной отчетности может также включать:
отчет о выполнении сметы затрат на исследования и разработки;
отчет о выполнении сметы долгосрочных инвестиций (капиталовложений);
отчет о выполнении сметы текущих доходов и расходов;
отчет об активах и источниках финансирования проекта (вспомогательный);
и другие, в том числе сводные формы внутрифирменной отчетности.
В соответствии с перечисленными формами отчетности проводится факторный анализ и текущий контроль отклонений по сметам расходов на исследования и разработки, на капитальные вложения и т.д.
Корректировки плановых и фактических показателей при подготовке исходных данных для анализа проводятся при помощи индекса (индексов) физического объема произведенной и проданной продукции, индексов цен (укрупненных или по статьям затрат, видам ресурсов и т.д.), а также на основе классификации затрат на переменные и постоянные. Какие из отклонений могут быть отнесены к внешним независимым, а какие - к внутренним факторам, зависит от конкретной ситуации. В данном примере изменение объема продаж условно отнесено к влиянию внешних факторов (спрос со стороны потребителей), в то время как изменение цен на продукцию - к внутренним факторам (решение руководства). Наибольшую сложность представляет оценка и классификация отклонений по налогу на прибыль и иным налоговым платежам. Можно рекомендовать распределить отклонение по налогу на прибыль пропорционально отклонениям прибыли от продаж как основного фактора формирования налогооблагаемой прибыли; возможно, необходимо учесть влияние процентов к уплате или иных существенных статей доходов и расходов.
Помимо анализа и контроля отклонений от плановых (сметных) показателей в ходе текущего анализа инновационной деятельности целесообразно оценивать достигнутую и ожидаемую, с учетом фактических параметров проектов, чистую текущую стоимость инвестиций. Это позволяет оперативно контролировать главный показатель количественной оценки эффективности инноваций - прирост расчетной (оцениваемой по денежным потокам) рыночной стоимости компании. Чистая текущая стоимость инноваций в середине срока реализации проекта рассчитывается по фактическим денежным потокам (поданным учета и отчетности), которые проект генерировал до настоящего момента, и скорректированным ожидаемым денежным потокам (от настоящего момента до конца срока реализации). Таким образом, эффективность проекта оценивается смешанным показателем, рассчитанным частично по фактическим, частично по прогнозным данным. Главным условием при подготовке исходных данных для анализа является обеспечение сопоставимости расчетных и плановых показателей чистой текущей стоимости, для чего проводят серию корректировок денежных потоков:
пересчитывают (прямым счетом или укрупненно по статьям затрат) все ожидаемые показатели бизнес-плана (сметы или бюджета) инноваций в цены текущего периода и, при необходимости, учитывают ожидаемые темпы инфляции. учитывают отклонение уровня затрат в натуральном выражении (норм расхода материалов, трудоемкости и т.д.) от заложенных в плане для изменения величины ожидаемых затрат;
в зависимости от оценок и прогнозов динамики спроса, вызванной независимыми внешними факторами, и результатов оптимизационного (маржинального) анализа устанавливают будущие значения объемов продаж (в натуральном выражении) и изменяют величины доходов от продаж и переменных статей затрат;
учитывают изменение процентной ставки в связи с колебаниями фондового рынка и оценкой собственного риска инновационной деятельности.
Это отражает реальный процесс снижения риска, происходящий с приближением окончания срока реализации проекта. В итоге получают оценку ожидаемой текущей стоимости инноваций, использующую всю доступную на текущий момент информацию, которую сравнивают с оценкой по плану, учитывающей фактический уровень цеп и процентных ставок (для обеспечения сопоставимости). Разница оценок покажет влияние изменений объемов производства и продаж (фактор объема) и эффективности использования производственных ресурсов (фактор норм), полностью или частично зависящих от самой организации.
Анализ эффективности затрат на исследования и разработки проводится на основе предположения о наличии среднего временного лага (лагов) между вложениями в исследования и разработки и эффектом инноваций - результата данных разработок. В ходе анализа обобщаются и соотносятся с учетом дисконтирования указанные затраты и экономический эффект всех проектов, использовавших созданные или доработанные новшества. Анализ основан также на следующих допущениях:
затраты на исследования и разработку, проводимые до возникновения определенности относительно будущих экономических выгод и до начала жизненного цикла конкретных инновационных проектов, учитываются отдельно; их эффективность оценивается путем сопоставления с приведенным экономическим эффектом всех сегментов инновационной деятельности и отражает эффективность инновационной деятельности организации;
оценка эффективности инновационных сегментов или инновационных проектов проводится без учета альтернативной (вмененной) стоимости нематериальных активов, созданных в результате исследований и разработок.
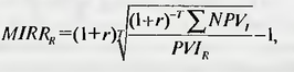
Показатель эффективности затрат на исследования и разработки - модифицированная внутренняя норма рентабельности затрат на исследования и разработки (МIRRR) определяется по формуле:
где МIRRR - модифицированная внутренняя норма рентабельности инновационной деятельности организации (в период t);















