175495 (626348), страница 4
Текст из файла (страница 4)
Большой удельный вес в общем объеме инвестиций занимают расходы на приобретение основных средств. При этом рассматривается выполнение плана приобретения основных средств по общему объему и номенклатуре, своевременность их поступления и устанавливается их соответствие потребностям предприятия.
2.1.1 Анализ объемов инвестиционной деятельности
Инвестиции имеют большое значение не только для будущего положения предприятия, но и для экономики страны в целом. С их помощью осуществляется расширенное воспроизводство основных средств как производственного, так и непроизводственного характера, укрепляется материально-техническая база субъектов хозяйствования. Это позволяет предприятиям наращивать объемы производства продукции, увеличивать прибыль, улучшать условия труда и быта работников. От них зависят себестоимость, ассортимент, качество, новизна и привлекательность продукции, ее конкурентоспособность.
Задача анализа заключается в оценке динамики и степени выполнения плана инвестиционной деятельности, а также в изыскании резервов увеличения объемов инвестиций.
Субъекты хозяйствования должны не только увеличивать объемы инвестиций, но и повышать их экономическую эффективность. В связи с этим одной из важнейших задач анализа является изучение показателей эффективности инвестиционной деятельности и выявление резервов ее роста.
Основными источниками информации для анализа служат "Отчет о вводе в действие объектов основных средств и использовании инвестиций в основной капитал", "Себестоимость строительных работ, выполненных хозяйственным способом", "Отчет о наличии и движении основных средств", данные аналитического бухгалтерского учета, бизнес-плана предприятия, проектно-сметная документация.
Анализ объемов инвестиционной деятельности следует начинать с изучения общих показателей. В первую очередь нужно изучить динамику и выполнение плана инвестиций за отчетный год. Наряду с абсолютными показателями нужно анализировать и относительные, такие, как размер инвестиций на одного работника, коэффициент обновления основных средств производства.
После этого нужно изучить динамику и выполнение плана по основным направлениям инвестиционной деятельности (строительство новых объектов, приобретение основных средств, модернизация машин и оборудования, освоение новых видов продукции, внедрение новых технологий, инвестиции в нематериальные активы, долгосрочные финансовые вложения).
Следует проанализировать также выполнение плана инвестирования по каждому объекту строительно-монтажных работ и изучить причины отклонения от плана. На выполнение плана строительных работ оказывают влияние следующие факторы: наличие утвержденной проектно-сметной документации, финансирования, обеспеченность строительства трудовыми и материальными ресурсами.
Одним из основных показателей при анализе реальных инвестиций является выполнение плана по вводу объектов строительства в действие. Не рекомендуется начинать строительство новых объектов при невыполнении плана сдачи в эксплуатацию начатых, так как это приводит к распылению средств между многочисленными объектами, растягиванию сроков строительства, замораживанию капитала в незавершенном строительстве и как результат - к снижению отдачи капитальных вложений и эффективности деятельности предприятия в целом.
В процессе анализа исчисляется техническая готовность каждого объекта, определяемая как отношение плановой стоимости фактически выполненных работ с начала строительства анализируемого объекта к его полной плановой стоимости. Сравнение фактического уровня технической готовности объектов с плановым показывает соблюдение сроков продолжительности строительства.
Затягивание сроков строительства приводит к увеличению остатков незавершенного производства, что нежелательно и расценивается как нерациональное использование инвестированного капитала.
В связи с этим следует выяснить, какие изменения произошли в остатках незавершенного строительства за отчетный период. Для этого фактическую сумму затрат по незавершенному строительству на конец года сравнивают с плановой и с суммой на начало года и изучают причины отклонений от плана.
Если строительство выполняется хозяйственным способом, то нужно проанализировать себестоимость строительных работ. С этой целью фактическую себестоимость выполненных работ сравнивают со сметной стоимостью капитального строительства в целом и по отдельным объектам. После этого изучают причины перерасхода или экономии средств по каждой статье затрат с целью изыскания резервов снижения себестоимости строительства объектов.
Большой удельный вес в общем объеме инвестиций занимают расходы на приобретение основных средств и их модернизацию. При изучении этого вопроса нужно рассмотреть выполнение плана приобретения основных средств по общему объему и по номенклатуре, своевременность их поступления и установить их соответствие потребностям предприятия.
При этом следует иметь в виду, что увеличение суммы инвестиций на эти цели могло произойти не только за счет количества приобретенного имущества (К), но и за счет повышения его стоимости (Ц). Расчет влияния данных факторов можно произвести способом абсолютных разниц:
Особое внимание необходимо уделить анализу выполнения плана инвестирования в инновационные проекты, обеспечивающие повышение конкурентоспособности предприятия.
Следует изучить также объемы, динамику и структуру инвестиций в финансовые инструменты (акции, облигации, совместные предприятия и т.д.).
2.1.2 Анализ эффективности реальных инвестиций
При принятии решений в бизнесе о долгосрочных инвестициях возникает потребность в анализе их эффективности, основная цель которого - установить, оправдают ли будущие выгоды сегодняшние затраты. Для этого нужен долгосрочный анализ доходов от инвестиционных проектов и затрат на их осуществление.
О
сновные методы оценки программы инвестиционной деятельности приведены на рис. № 2.
Рисунок №2 Методы оценки эффективности инвестиционных проектов
В основу расчета этих показателей положено сравнение объема предполагаемых инвестиций и будущих денежных поступлений. Первые два могут базироваться как на учетной величине денежных поступлений, так и на дисконтированных доходах с учетом времен - ной компоненты денежных потоков.
Первый метод оценки эффективности инвестиционных проектов заключается в определении срока, необходимого для того, чтобы инвестиции окупили себя. Он является наиболее простым и по этой причине наиболее распространенным.
Если доходы от проекта распределяются равномерно по годам, то срок окупаемости инвестиций определяется делением суммы инвестиционных затрат на величину годового дохода:
При неравномерном поступлении доходов срок окупаемости определяют прямым подсчетом числа лет, в течение которых доходы возместят инвестиционные затраты в проект, т.е. доходы сравняются с расходами:
Недостатком данного метода является то, что он не учитывает разницу в доходах по проектам, получаемых после периода окупаемости. Следовательно, оценивая эффективность инвестиций, надо принимать во внимание не только сроки их окупаемости, но и доход на вложенный капитал, для чего рассчитывается индекс рентабельности (PI):
PI = ожидаемая сумма дохода /ожидаемая сумма инвестиций
Вместе с тем и этот показатель, рассчитанный на основании учетной величины доходов, имеет свои недостатки: он не учитывает распределения притока и оттока денежных средств по годам. В рассматриваемом примере денежные поступления на четвертом году имеют такой же вес, как и на первом. Обычно же руководство предприятия отдает предпочтение более высоким денежным доходам в первые годы. Поэтому более научно обоснованной является оценка эффективности инвестиций, основанная на 'методах наращения (компаундирования) или дисконтирования денежных поступлений, учитывающих изменение стоимости денег во времени
Рассмотрим методику расчета показателей, приведенных на рис.3, на основе дисконтирования денежных доходов.
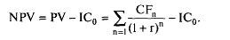
Метод чистого приведенного эффекта (NPV) состоит в следующем.
1. Определяется текущая стоимость затрат (IС0), т.е. решается вопрос, сколько инвестиций нужно зарезервировать для проекта.
2. Рассчитывается текущая стоимость будущих денежных поступлений от проекта, для чего доходы за каждый год CF (кеш-флоу) приводятся к текущей дате:
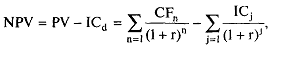
3. Текущая стоимость затрат (IС0) сравнивается с текущей стоимостью доходов (PV). Разность между ними составляет чистый приведенный эффект (NPV):
NPV показывает чистые доходы или чистые убытки инвестора от помещения денег в проект по сравнению с альтернативным вариантом их использования. Если NPV > 0, значит, проект принесет больший доход, чем при альтернативном размещении капитала. Если же NPV < 0, то проект имеет доходность ниже рыночной, и поэтому деньги выгоднее хранить в банке. Проект ни прибыльный, ни убыточный, если NPV = 0.
В случаях когда деньги в проект инвестируются не разово, а частями на протяжении нескольких лет, для расчета NPV применяется следующая формула:
где n - число периодов получения доходов;
j - число периодов инвестирования средств в проект
При совпадении времени и интервалов инвестиционных доходов и расходов чистый приведенный эффект можно рассчитывать следующим образом:
Дополняет данный показатель дисконтированный индекс рентабельности инвестиционных проектов, расчет которого производится по формуле
В отличие от чистого приведенного эффекта данный показатель является относительным. Инвестиция становится выгодной, когда ее рентабельность превышает средний уровень доходности по денежным вкладам на рынке капиталов. Индекс рентабельности удобно использовать при выборе варианта проекта инвестирования из ряда альтернативных. Критерием выбора является максимальная рентабельность инвестиционного проекта.
Анализ внутренней нормы доходности и дюрации инвестиций. Очень популярным показателем, который применяется для оценки эффективности инвестиций, является внутренняя норма доходности (IRR). Это та ставка дисконта, при которой дисконтированные доходы от проекта равны инвестиционным затратам. Внутренняя норма доходности определяет максимально приемлемую процентную ставку, при которой можно инвестировать средстн.1 без каких-либо потерь для собственника. Его значение находят и i следующего уравнения:
Экономический смысл данного показателя заключается в том, что он показывает ожидаемую норму доходности или максимально допустимый уровень инвестиционных затрат в оцениваемый проект.
Инвестиция эффективна, если IRR превышает заданную ставку дисконта (калькуляционного процента) или равна ей. Если это условие выдерживается, инвестор может принять проект, в противном случае он должен быть отклонен. При сравнении нескольких инвестиционных проектов предпочтение отдается проекту с наивысшей внутренней нормой доходности.
Данный метод оценки эффективности инвестиций является обратным методу исчисления NPV. Он ориентирован не на нахождение NPV при заданной ставке дисконта, а на определение IRR при заданной величине NPV, равной нулю.
Если инвестиционный проект генерирует денежный доход только один раз (в конце периода его действия), то внутреннюю норму доходности для него можно определить, используя следующее уравнение:
Показатели NPV и IRR взаимно дополняют друг друга. Если NPV измеряет массу полученного дохода, то IRR оценивает способность проекта генерировать доход с каждого рубля инвестиции Высокое значение NPV не может быть единственным аргументом при выборе инвестиционного решения, так как оно во многом зависит от масштаба инвестиционного проекта и может быть связано с достаточно высоким риском. Поэтому менеджеры предпочитают относительные показатели, несмотря на достаточно высокую сложность расчетов.
Если имеется несколько альтернативных проектов с одинаковыми значениями NPV и IRR, то при выборе окончательного варианта инвестирования учитывается длительность инвестиций - дюрация (duration).
Дюрация (D) - это средневзвешенный срок поступления денежных доходов от инвестиционных проектов. Она рассчитывается следующим образом: приведенная стоимость каждого платежа умножается на время, через которое этот платеж должен поступить, после чего все полученные значения суммируются и делятся на сумму приведенной стоимости всех платежей:
PVt - текущая стоимость доходов за период t;
t - период поступления доходов;















