170177 (625496), страница 2
Текст из файла (страница 2)
Активность Ni-Al-Ti катализатора при эксплуатации на лабораторной установке в течение 250 ч оставалась высокой. Продукты каталитического гидродехлорирования отходов после абсорбции хлористого водорода водой могут быть использованы как ценные углеводороды или как компоненты топлива.
Таким образом, гидрогенолиз в среде инертного высококипящего углеводородного растворителя может быть организован в промышленном масштабе для реальных хлорорганических отходов в широком диапазоне как по составу, так и по физическому состоянию (от жидких до твердых). Очевидным достоинством предлагаемого метода переработки хлорорганических отходов является вариант превращения их в смесь продуктов, утилизация которых не вызывает затруднений.
В результате осуществления жидкофазного процесса гидродехлорирования хлорорганические отходы производств винилхлорида, эпихлоргидрина и перхлоруглерода с высоким выходом конвертируют в углеводороды и хлористый водород. Благодаря внедрению процесса переработки отходов методом гидродехлорирования производство винилхлорида и эпихлоргидрина становится практически безотходным. Кроме того, внедрение технологии гидродехлорирования в производстве перхлорэтилена позволит избежать получения полихлорированных углеродов.
Глава 2. ЭКЗОТЕРМИЧЕСКИЙ ЭФФЕКТ ПРИ ВОССТАНОВИТЕЛЬНОМ ПИРОЛИЗЕ ХЛОРОРГАНИЧЕСКИХ СОЕДИНЕНИЙ
Проблема ликвидации и переработки отходов производства - одна из важных задач современной промышленности. Значительная часть отходов приходится на долю химической промышленности, в том числе и ее хлоридной подотрасли. Отходы хлорорганических производств - винилхлорида, эпихлоргидрида, дихлорэтана и других продуктов - представляют собой трудноразделимую, а иногда и неразделимую смесь токсичных коррозионно-активных веществ.
В настоящее время известны следующие основные направления утилизации хлорорганических отходов: сжигание с получением хлористого водорода или соляной кислоты, пиролиз и исчерпывающее деструктивное хлорирование с получением трихлорэтилена, перхлорэтилена и четыреххлористого углерода 1 .
В последнее время все большее внимание уделяется исследованию пиролиза хлорорганических отходов, позволяющего получать безводный хлористый водород, хлорорганические и некоторые другие продукты 2 .
Восстановительный пиролиз также используется для уничтожения накопленных галогеносодержащих соединений, таких как озоноразрушающие хладоны. Известно, что хладоны не рекомендуется сжигать в воздухе, так как в этом случае образуются опасные кислородсодержащие вещества - диоксины и фосгены 3 . При переработке веществ, не содержащих кислород, желательно использовать бескислородные методы, к которым и относится восстановительный пиролиз 4 .
Многие из хлорорганических соединений термодинамически нестабильны и при их пиролизе выделяется энергия, т.е. наблюдается экзотермический эффект. Этот эффект известен и применяется на практике, при этом процесс идет автотермично 2,5 , способствуя инициированию пиролиза, начинающегося при 400-600оС [2,6].
Проведены теоретические исследования термических характеристик равновесия хлорорганических соединений при восстановительном пиролизе. Для анализа были взяты все вещества, для которых в [7,8] приведена энтальпия образования, их комбинационные смеси с водородом, углеводородом и друг с другом. В таблице 1 приведены смеси, соединения и чистые вещества, конечными продуктами которых при полном разложении в стандартных условиях (Т=298К, р=0,1 МПа) являются конденсированный углерод (C*) и хлористый водород (HCl). Для оценки экзотермического эффекта использовалась адиабатическая температура Тад, которая получается при протекании пиролиза в закрытой системе. Эта температура рассчитывалась по программе ASTRA-4/pc 9 , которая позволяет найти температуру равновесия данной реакции по заданным теплоте образования вещества и давлению. Расчеты проводились без учета образования ионов при давлении 0,1 МПа и энтальпии образования газообразных веществ, взятой при температуре 298 К по литературным данным 7,8 . При анализе использовались не только вещества, существующие при стандартных условиях (Т=298 К), но и радикалы, которые образуются в экстремальных условиях. Рис.1. Зависимость адиабатической температуры от теплоты реакции на один моль исходного вещества.
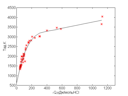
Рис.2. Адиабатическая температура как функция теплоты реакции к одному молю HCl
Для выбранных химических реакций рассчитан тепловой эффект реакции Q, который согласно следствию закона Гесса равен сумме теплот образования получившихся продуктов за вычетом суммы теплот образования исходных веществ. Значения Тад для различных Q на один моль исходного вещества приведены в табл.1 и на рис.1. Из рисунка видно, что точки расположены хаотично и не могут быть описаны определенной функциональной зависимостью.
Так как основное выделение тепла в рассматриваемых реакциях происходит при образовании хлористого водорода, то тепловой эффект был отнесен к одному молю HCl. Как видно из рис.2, в этом случае точки удовлетворительно укладывается на одну кривую. Полученный график может быть использован на практике для расчета адиабатической температуры по известным значениям теплового эффекта реакции.
Из анализа следует, что благодаря достаточно высокой адиабатической температуре можно ожидать автотермичности процесса переработки хлорорганических веществ при восстановительном пиролизе. При этом для инициирования начала процесса используется плазма (водородная или аргоновая) при малых энергетических затратах на ее генерацию.
Глава 3. СПОСОБ ПЕРЕРАБОТКИ ХЛОРОРГАНИЧЕСКИХ ОТХОДОВ МЕТОДОМ ГИДРОГЕНОЛИЗА
Наиболее универсальным и перспективным методом переработки хлорорганических отходов считается гидрогенолиз, так как этот метод наиболее полно удовлетворяет требованиям, предъявляемым к способам переработки отходов, таким как:
- возобновляемость углеродсодержащего сырья или коммерческая ценность образующихся продуктов;
- экономичность переработки;
- высокая степень превращения; универсальность способа;
- отсутствие среди продуктов, образующихся в результате переработки отходов, высокотоксичных веществ.
При осуществлении изобретения может быть получен технический результат, который выражается в возможности:
- организации переработки хлорорганических отходов в промышленном масштабе;
- переработки широкого спектра хлорорганических продуктов;
- получения целевых продуктов, которые могут быть возвращены в технологический цикл.
Указанный выше технический результат достигается особенностью способа переработки хлорорганических отходов, заключающейся в том, что гидрогенолиз осуществляют в среде инертного высококипящего углеводородного растворителя при 10-20-кратном его избытке по отношению к массе хлорорганических отходов и при мольном соотношении водорода и хлорорганических отходов, равном 20-40: 1, с дальнейшим отделением газообразных продуктов реакции известными методами и рециклом непрореагировавших отходов в растворителе. В качестве инертного высококипящего углеводородного растворителя используют жидкие смеси алефатических, ароматических и циклических углеводородов с температурой кипения 250-350oC (трансформаторное масло АМТ-300, вазелиновое масло).
Переработка хлорорганических отходов гидрогенолизом в среде инертного высококипящего углеводородного растворителя обеспечивает возможность организации этого процесса в промышленном масштабе, т.к. растворитель регенерирует катализатор за счет смывания с поверхности носителя катализатора смолообразных и коксообразных побочных продуктов.
Способ гидрогенолиза реальных хлорорганических отходов производства эпихлоргидрина, перхлоруглеводородов и винилхлорида в жидкой фазе осуществляется в реакторе проточного типа со стационарным слоем катализатора, проактивированного по известной методике. В качестве катализатора используют окись алюминия и активированный уголь, пропитанный солями палладия и с содержанием палладия 0,4-1,8 мас.% соответственно.
Водород и раствор или раствор и тонкодисперсная суспензия хлорорганического отхода в 10-20-кратном избытке высококипящего растворителя по отношению к массе хлорорганического отхода при мольном соотношении водород: хлорорганический отход 20-40:1 параллельными потоками подают в верхнюю часть реактора. Температура проведения процесса 250-350oC.
Продукты реакции, представляющие собой смесь хлоруглеводородов в растворителе, непрореагировавший водород и выделевшийся хлористый водород выводят из нижней части реактора и подвергают разделению известными методами.
Высококипящий углеводородный растворитель с непрореагировавшими отходами возвращают в процесс.
Ввиду получения удовлетворительных результатов и большой доступности для опытной проверки была использована каталитическая система на основе палладия и окиси алюминия или активированного угля.
ЛИТЕРАТУРА
1. Бернардинер М.Н., Шургин А.П. Огневая переработка и обезвреживание промышленных отходов. М.: Химия, 1990.
2. Абрамова В.И., Крашенинникова А.А. Переработка, использование и уничтожение отходов в производстве хлорорганических продуктов: Обзор. М.: НИИТЭХИМ, 1977.
3. Карташов Л.М., Занавескин Л.Н., Трегер Ю.А. и др. Научные труды НИИ "Синтез". М., 1996.
4. Занавескин Л.Н., Аверьянов В.А., Трегер Ю.А. Перспективы развития методов переработки галогенорганических отходов. Закономерности каталитического гидрогенолиза галогенсодержащих соединений // Успехи химии. 1996. Т. 65. № 7.
5. Занавескин Л.Н., Конорев О.А., Аверьянов В.Н. Окислительные методы переработки и детоксикации хлорорганических отходов. Курс на ресурсосбережение и экологическую безопасность. // Химическая промышленность. 2002. №2.
6. Мишаков И.В., Буянов Р.А., Чесноков В.В. Способ утилизации хлоруглеводородов на никель- и кобальтсодержащих катализаторах. // Катализ в промышленности. 2002. № 4.
7. Генцлер А.Г., Симапша В.И., Нецкина О.В., Комова О.В., Цыбуля СВ., Абросимов О.Г. Исследование закономерностей каталитического гидродехлорирования на палладийсодержащих катализаторах // Кинетика и катализ. 2007. Т. 48. № 1.
Литература
1. Дубовой Л.И., Адитайс Э.Р., Берлин Э.Р., Трегер Ю.А. // Химическая промышленность. 1982. №11. С.18-19.
2. Мазанко А.Ф., Антонов В.Н., Рожков В.И., Заликин А.А. // Химическая промышленность. 1986. №5. С.272-275.
3. Федоров Л.А. Диоксины как экологическая опасность: ретроспектива и перспективы. М.: Наука.1993.- 266с.
4. Мальцева А.С., Фролов Ю.Е., Жарова Н.Н., Розловский А.И. // Химическая промышленность. 1984. №1. С.19-22.
5. Антонов В.Н., Рожков В.И., Заликин А.А. // Журнал прикладной химии. 1987. №6. С.1347-1352.
6. Шмыков Ю.И., Шорин С.Н., Сурис А.Л. // Химия высоких энергий. 1977. Т.11. №4. С.371-375.
7. Сталл Д., Вестрам Э., Зинке Г. Химическая термодинамика органических соединений. М.: Мир, 1971.- 807с.
8. Гурвич Л.В., Вейтс И.В., Медведев В.А. и др. Термодинамические свойства индивидуальных веществ. М.: Наука, 1979. Т.2, кн.2.- 344с.
9. Трусов Б.Г. Моделирование химических и фазовых равновесий при высоких температурах (АСТРА-4/рс). М.: МГТУ им. Н.Э. Баумана, 1994.- 50с.
Задачей заявляемого изобретения является разработка промышленного способа переработки хлорорганических отходов методом каталитического гидрогенолиза.
Одной из наиболее острых проблем создания и организации малоотходных, экологически безопасных производств галогеноорганических продуктов является переработка и обезвреживание отходов таких производств.
Неприятная особенность хлорорганических отходов заключается в том, что все они являются ксенобиотиками и у природы нет естественных средств борьбы с ними. В то же время не всякий способ превращения галогенорганических соединений может быть использован для их утилизации, что было рассмотрено выше.
Наиболее универсальным и перспективным методом переработки хлорорганических отходов считается гидрогенолиз, так как этот метод наиболее полно удовлетворяет требованиям, предъявляемым к способам переработки отходов, таким как:
- возобновляемость углеродсодержащего сырья или коммерческая ценность образующихся продуктов;
- экономичность переработки;
- высокая степень превращения; универсальность способа;
- отсутствие среди продуктов, образующихся в результате переработки отходов, высокотоксичных веществ.
При осуществлении изобретения может быть получен технический результат, который выражается в возможности:
- организации переработки хлорорганических отходов в промышленном масштабе;
- переработки широкого спектра хлорорганических продуктов;
- получения целевых продуктов, которые могут быть возвращены в технологический цикл.
Указанный выше технический результат достигается особенностью способа переработки хлорорганических отходов, заключающейся в том, что гидрогенолиз осуществляют в среде инертного высококипящего углеводородного растворителя при 10-20-кратном его избытке по отношению к массе хлорорганических отходов и при мольном соотношении водорода и хлорорганических отходов, равном 20-40: 1, с дальнейшим отделением газообразных продуктов реакции известными методами и рециклом непрореагировавших отходов в растворителе. В качестве инертного высококипящего углеводородного растворителя используют жидкие смеси алефатических, ароматических и циклических углеводородов с температурой кипения 250-350oC (трансформаторное масло АМТ-300, вазелиновое масло).
Переработка хлорорганических отходов гидрогенолизом в среде инертного высококипящего углеводородного растворителя обеспечивает возможность организации этого процесса в промышленном масштабе, т.к. растворитель регенерирует катализатор за счет смывания с поверхности носителя катализатора смолообразных и коксообразных побочных продуктов.
Способ гидрогенолиза реальных хлорорганических отходов производства эпихлоргидрина, перхлоруглеводородов и винилхлорида в жидкой фазе осуществляется в реакторе проточного типа со стационарным слоем катализатора, проактивированного по известной методике. В качестве катализатора используют окись алюминия и активированный уголь, пропитанный солями палладия и с содержанием палладия 0,4-1,8 мас.% соответственно.
Водород и раствор или раствор и тонкодисперсная суспензия хлорорганического отхода в 10-20-кратном избытке высококипящего растворителя по отношению к массе хлорорганического отхода при мольном соотношении водород: хлорорганический отход 20-40:1 параллельными потоками подают в верхнюю часть реактора. Температура проведения процесса 250-350oC.
Продукты реакции, представляющие собой смесь хлоруглеводородов в растворителе, непрореагировавший водород и выделевшийся хлористый водород выводят из нижней части реактора и подвергают разделению известными методами.
















