169916 (625430)
Текст из файла
Оглавление
9. Природные ресурсы и их классификация 3
26. Сырьевые ресурсы, экономическое и комплексное их использование 12
Невозобновимые ресурсы 15
Возобновимые ресурсы 20
41. Рациональное использование и охрана водных ресурсов в сельском хозяйстве 28
53. Правовой аспект охраны недр 29
63. Охрана вымирающих и редких видов животных. Красная книга Украины ……………………………………………………………………………………31
76. Державное управление природопользования и природоохраной………36
Список используемой литературы 40
9. Природные ресурсы и их классификация
Природные ресурсы (естественные ресурсы) - элементы природы, часть всей совокупности природных условий и важнейшие компоненты природной среды, которые используются (либо могут быть использованы) при данном уровне развития производительных сил для удовлетворения разнообразных потребностей общества и общественного производства.
Природные ресурсы являются главным объектом природопользования, в процессе которого они подвергаются эксплуатации и последующей переработке. Главные виды природных ресурсов - солнечная энергия, внутриземное тепло, водные, земельные и минеральные ресурсы - являются средствами труда. Растительные ресурсы, животный мир, питьевая вода, дикорастущие растения - являются предметами потребления.
В связи с огромным объемом используемых природных веществ и энергии, проблема обеспеченности человечества природными ресурсами является глобальной. Для предотвращения истощения природных ресурсов необходимо рациональное и комплексное использование природных ресурсов, поиски новых источников сырья, топлива и энергии.
Под классификацией природных ресурсов понимается разделение совокупности предметов, объектов и явлений природной среды на группы по функционально значимым признакам. Учитывая природное происхождение ресурсов, а также их огромное экономическое значение, разработаны следующие классификации природных ресурсов.
-
Природная (генетическая) классификация - классификация природных ресурсов по природным группам: минеральные (полезные ископаемые), водные, земельные (в т.ч. почвенные), растительные, (в т.ч. лесные), животного мира, климатические, ресурсы энергии природных процессов (солнечное излучение, внутреннее тепло Земли, энергия ветра и т.п.). Часто ресурсы растительного и животного мира объединяют в понятие биологические ресурсы.
-
Экологическая классификация природных ресурсов основана на признаках исчерпаемости и возобновимости запасов ресурсов. Понятием исчерпаемости пользуются при учете запасов природных ресурсов и объемов их возможного хозяйственного изъятия. Выделяют по данному признаку ресурсы:
-
неисчерпаемые - использование которых человеком не приводит к видимому истощению их запасов ныне или в обозримом будущем (солнечная энергия, внутриземное тепло, энергия воды, воздуха);
-
почерпаемые невозобновимые - непрерывное использование которых может уменьшить их до уровня, при котором дальнейшая эксплуатация становится экономически нецелесообразной, при этом они неспособны к самовосстановлению за сроки, соизмеримые со сроками потребления (например, минеральные ресурсы);
-
почерпаемые возобновимые - ресурсы, которым свойственна способность к восстановлению (через размножение или другие природные циклы), например, флора, фауна, водные ресурсы, В этой подгруппе выделяют ресурсы с крайне медленными темпами возобновления (плодородные земли, лесные ресурсы с высоким качеством древесины).
-
-
Хозяйственная, когда природные ресурсы классифицируют на различные группы с точки зрения возможностей хозяйственного использования:
-
по техническим возможностям эксплуатации выделяют природные ресурсы: реальные - используемые при данном уровне развития производительных сил; потенциальные - установленные на основе теоретических расчетов и предварительных работ и включающие помимо точно установленных технически доступных запасов еще и ту часть, которую в настоящее время нельзя освоить по техническим возможностям;
-
по экономической целесообразности замены различают ресурсы заменимые и незаменимые. Например, к заменимым относят топливно-энергетические ресурсы (они могут быть заменены другими источниками энергии). К незаменимым принадлежат ресурсы атмосферного воздуха, пресные воды и пр.
-
Большую роль в развитии экономики играет степень изученности природных ресурсов: строение почвы, количество и структура полезных ископаемых, запасы древесины и ее ежегодный прирост и др. Среди природных ресурсов особую роль в жизни общества играет минеральное сырье, а степень обеспеченности природными ресурсами отражает экономический уровень государства. В зависимости от геологической изученности минерально-сырьевые ресурсы подразделяются на следующие категории: А - запасы, разведанные и изученные с предельной детальностью, точными границами залегания, и которые могут быть переданы в эксплуатацию. В -запасы, разведанные и изученные с детальностью, обеспечивающей выявление основных условий залегания, без точного отображения пространственного положения месторождения. C1 - запасы, разведанные и изученные с детальностью, обеспечивающей выяснение в общих чертах условий залегания. С2 - запасы, разведанные, изученные и оцененные предварительно по единичным пробам и образцам.
-
Кроме того:
-
По экономическому значению полезные ископаемые делятся на балансовые, эксплуатация которых целесообразна в данный момент, и забалансовые, эксплуатация которых нецелесообразна из-за низкого содержания полезного вещества, большой глубины залегания, особенностей условий работы и др., но которые в перспективе могут разрабатываться.
-
Среди классификаций природных ресурсов, отражающих их экономическую значимость и хозяйственную роль, особенно часто используется классификация по направлению и видам хозяйственного использования. Основной критерий подразделения ресурсов в ней - отнесение их к различным секторам материального производства или непроизводственной сферы. По этому признаку природные ресурсы делятся на ресурсы промышленного и сельскохозяйственного производства.
-
Группа ресурсов промышленного производства включает все виды природного сырья, используемого промышленностью. В связи с многоотраслевым характером промышленного производства виды природных ресурсов дифференцируются следующим образом:
-
Энергетические, к которым относят разнообразные виды ресурсов, используемых на современном этапе для производства энергии:
-
горючие полезные ископаемые (нефть, газ, уголь, битуминозные сланцы и др.)
-
гидроэнергоресурсы (энергия речных вод, приливная энергия и т.п.);
-
источники биоэнергии (топливная древесина, биогаз из отходов сельского хозяйства.);
-
источники ядерной энергии (уран и радиоактивные элементы).
-
-
-
Неэнергетические ресурсы, представляющие сырье для различных отраслей промышленности или участвующие в производстве согласно его техническим особенностям:
-
полезные ископаемые, не относящиеся к группе каустобиолитов (рудные и нерудные);
-
воды, используемые для промышленного производства;
-
земли, занятые промышленными объектами и объектами инфраструктуры;
-
лесные ресурсы промышленного значения;
-
биологические ресурсы промышленного значения.
Ресурсы сельскохозяйственного производства объединяют те виды ресурсов, которые участвуют в создании сельскохозяйственной продукции:
-
агроклиматические ресурсы тепла и влаги, необходимые для продуцирования культурных растений и выпаса скота;
-
почвенно-земельные - земля и ее верхний слой - почва, обладающая уникальным свойством продуцировать биомассу;
-
растительные биологические ресурсы - кормовые ресурсы;
-
водные ресурсы - воды, используемые для орошения и пр.
К ресурсам непроизводственной сферы (непроизводственного потребления - прямого или косвенного) относятся ресурсы, изымаемые из природной среды (дикие животные, представляющие объекты промысловой охоты, лекарственное сырье естественного происхождения), а также ресурсы рекреационного хозяйства, заповедных территорий и др.
Соединение природной и экономической классификаций позволяет выявить возможность разнонаправленного использования различных природных групп ресурсов, а также их заменяемость, сделать выводы о задачах рационального использования и охраны отдельных видов. По взаимоотношениям видов использования существует следующая классификация:
-
ресурсы однозначного использования;
-
ресурсы многоцелевого использования, в т.ч. взаимоувязанного (комплексного) использования (водные ресурсы), взаимоисключающего (конкурирующего) использования (земельные ресурсы).
Можно выделить и другие группы природных ресурсов. Например, источники однородных ресурсов (месторождения полезных ископаемых, земельные угодья, лесосырьевые базы и др.) подразделяются по величине запасов и хозяйственной значимости. Условно выделяют:
-
крупнейшие (общегосударственного значения),
-
крупные (межрайонного и регионального значения),
-
небольшие (местного значения).
Разрабатываются также частные классификации природных ресурсов, отражающие специфику их природных свойств и направлений хозяйственного использования. Примером такого рода служат различные мелиоративные классификации, группы рек по степени зарегулированности стока и др. Широко используется геолого-экономическая классификация полезных ископаемых по основным Направлениям их использования в промышленности:
-
топливно-энергетическое сырье (нефть, газ, уголь, уран и др.);
-
черные, легирующие и тугоплавкие металлы (руды железа, марганца, хрома, никеля, кобальта, вольфрама и др.);
-
благородные металлы (золото, серебро, платиноиды),
-
химическое и агрономическое сырье (калийные соли, фосфориты, апатиты и др.);
-
техническое сырье (алмазы, асбест, графит и др.).
В рыночных условиях хозяйства практический интерес приобретает классификация природных ресурсов, учитывающая, в частности, характер торговли природным сырьем. Например, можно выделить:
-
ресурсы, имеющие стратегическое значение, торговля которыми должна быть ограничена, поскольку ведет к подрыву оборонной мощи государства (урановая руда и др. радиоактивные вещества);
-
ресурсы, имеющие широкое экспортное значение и обеспечивающие основной приток валютных поступлений (нефть, алмазы, золото и др.);
-
ресурсы внутреннего рынка, имеющие, как правило, повсеместное распространение, например, минеральное сырье и др.
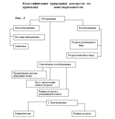
Отдельные структурные схемы классификации природных ресурсов приведены на рис. 1,2 и 3.
Рисунок 1. Классификация природных ресурсов по происхождению
Рисунок 2. Классификация природных ресурсов по признаку исчерпаемости
Рисунок 3. Классификация природных ресурсов по видам хозяйственного использования
26. Сырьевые ресурсы, экономическое и комплексное их использование
Современная индустрия, в особенности такие ее отрасли, как химический синтез, выплавка легких металлов, отличается повышенной потребностью в энергии, воде и сырье. Чтобы выплавить 1 т алюминия, необходимо затратить в десятки раз больше воды, чем для производства 1 т стали, а для получения 1 т искусственного волокна приходится использовать в сотни раз больше воды, чем для выработки такого же количества хлопчатобумажной ткани. Нефть и газ стали главными источниками энергии и вместе с тем важными сырьевыми ресурсами химической промышленности. Этими обстоятельствами объясняется все возрастающая эксплуатация нефтяных и газовых месторождений. Производство каждого нового синтетического продукта влечет за собой «цепные реакции» в технологии - например, для синтеза пластических масс требуется большое количество хлора, получение хлора предполагает использование в качестве катализатора ртути, а все вместе — огромных затрат энергии, воды и кислорода. В современную индустрию вовлекаются почти все химические элементы, существующие на Земле.
Перед человечеством встал вопрос: надолго ли хватит ему необходимых природных ресурсов? Прошли те времена, когда казалось, что ресурсы Земли неисчерпаемы. Само деление природных ресурсов на неисчерпаемые и исчерпаемые становится все более условным. Все больше видов ресурсов переходит из первой категории во вторую, Сейчас мы уже задумываемся о возможности исчерпания запасов атмосферного кислорода, а в перспективе такой же вопрос может возникнуть даже о ресурсах солнечной энергии, хотя пока еще поток ее кажется нам практически неисчерпаемым.
Существуют разные прогнозы, касающиеся будущего наших природных ресурсов. Конечно, их следует рассматривать как очень ориентировочные. Разрабатывая такие прогнозы, надо исходить, с одной стороны, из оценки перспектив роста населения и производства и соответственно потребностей общества, а с другой - из наличия запасов каждого ресурса. Однако пролонгировать современную тенденцию роста населения и производства далеко в будущее было бы рискованно. Так, надо полагать, что по мере повышения жизненного уровня в развивающихся странах, дающих основной процент прироста населения, общий рост должен замедлиться. Кроме того, научно-технический прогресс, несомненно, будет продолжаться в направлении поисков более экономных, ресурсосберегагощих технологий, что позволит постепенно сокращать потребность во многих природных источниках производства.
Исходя из сказанного, следует ожидать, по крайней мере, в ближайшие десятилетия, дальнейшего роста потребностей в самых разнообразных природных ресурсах. При оценке их запасов важно различать две большие группы ресурсов — невозобновимые и возобновимые. Первые, практически не восполняются, и их количество неуклонно уменьшается по мере использования. Сюда относятся минеральные ресурсы, а также земельные ресурсы, ограниченные размерами площади земной поверхности. Возобновимые ресурсы либо способны к самовосстановлению (биологические), либо непрерывно поступают к Земле извне (солнечная энергия), либо, находясь в непрерывном круговороте, могут использоваться повторно (вода). Разумеется, возобновимые ресурсы, как и невозобновимые, не бесконечны, но их возобновимая часть (ежегодный приход или прирост) может постоянно использоваться.
Характеристики
Тип файла документ
Документы такого типа открываются такими программами, как Microsoft Office Word на компьютерах Windows, Apple Pages на компьютерах Mac, Open Office - бесплатная альтернатива на различных платформах, в том числе Linux. Наиболее простым и современным решением будут Google документы, так как открываются онлайн без скачивания прямо в браузере на любой платформе. Существуют российские качественные аналоги, например от Яндекса.
Будьте внимательны на мобильных устройствах, так как там используются упрощённый функционал даже в официальном приложении от Microsoft, поэтому для просмотра скачивайте PDF-версию. А если нужно редактировать файл, то используйте оригинальный файл.
Файлы такого типа обычно разбиты на страницы, а текст может быть форматированным (жирный, курсив, выбор шрифта, таблицы и т.п.), а также в него можно добавлять изображения. Формат идеально подходит для рефератов, докладов и РПЗ курсовых проектов, которые необходимо распечатать. Кстати перед печатью также сохраняйте файл в PDF, так как принтер может начудить со шрифтами.















