166691 (625084)
Текст из файла
1 Открытие витамина с и установление его структуры
1.1 Выделение
Годы после окончания первой мировой войны были ознаменованы бурным развитием работ, направленных на выделение неуловимого витамина. И в США, и в Европе развернулась настоящая гонка, в финале которой победителя ожидали огромный научный престиж и солидная финансовая поддержка. Соломон Цильва и его группа в Листеровском институте лихорадочно пытались выделить витамин С из концентрированных цитрусовых соков. И хотя полученный ими препарат обладал сильнейшим антискорбутным действием, все попытки получить чистое кристаллическое вещество оставались тщетными. Крушение надежд испытала также и ведущая американская группа под руководством Чарльза Кинга из Питсбургского университета. Основным камнем преткновения было то, что витамин С, будучи углеводоподобным веществом, очень трудно поддавался очистке от других углеводов, присутствующих в концентрированных фруктовых соках. И тут, несмотря на кропотливую и самоотверженную работу названных групп, по иронии судьбы на сцене появился никому не известный венгерский ученый Альберт Сент-Дьёрдьи.
Абсолютно без денег, но обогащенный ценным опытом, в 1922 г. Сент-Дьёрдьи очутился в датском университетском городе Гронинген, где получил должность ассистента профессора физиологии X. Дж. Хамбергера. Благодаря своему острому чутью он буквально почувствовал казавшуюся невероятной связь между пигментацией кожи пациентов, страдающих болезнью Аддисона (вызванной нарушением функции надпочечников), и потемнением свежего среза картофеля, яблока и груши. Было известно, что такое потемнение вызвано нарушением окислительно-восстановительного процесса. Апельсины и лимоны не темнеют на срезе, и в их соке, а позже в соке капусты Сент-Дьёрдьи обнаружил сильный восстановитель. Присутствие аналогичного вещества было обнаружено им и в экстракте коры надпочечников коровы. Далее Сент-Дьёрдьи решил выделить это соединение, которое, как он полагал, могло оказаться новым гормоном надпочечников.
После непродолжительной и безуспешной попытки выделения, предпринятой в Лондонской лаборатории сэра Генри Дейла в начале 1925 г., он вернулся в Гронинген. Не найдя общего языка с новым руководством, Сент-Дьёрдьи отослал семью обратно в Будапешт, а сам отказался от должности и прошел через период глубокой депрессии. Вскоре, однако, ему улыбнулась удача. На конференции в Стокгольме он встретился с ныне всемирно известным биохимиком профессором Фредериком Хопкинсом, которому понравилась одна из его статей. Результатом этой встречи стало приглашение работать в Кембридже. Сент-Дьёрдьи выписал семью и целиком погрузился в работу, сделавшую впоследствии ему имя. После многих разочарований наконец удалось накопить менее грамма беловатого кристаллического вещества из коры надпочечников крупного рогатого скота, где оно содержалось в весьма незначительных количествах (около 300 мг/кг исходного материала), а позже из апельсинового и капустного соков. Процесс выделения „восстанавливающего фактора" заключался в следующем:
1. Замороженные надпочечники измельчали и экстрагировали метанолом, пропуская углекислый газ для предотвращения контакта с кислородом воздуха.
2. Восстанавливающий фактор высаживали из профильтрованного экстракта добавлением раствора ацетата свинца.
3. Осадок суспендировали в воде и добавляли серную кислоту..
При этом выпадал осадок сульфата свинца, а восстанавливающий фактор оставался в растворе.
4. Фильтрат упаривали под вакуумом.
5. Сухой остаток снова экстрагировали метанолом и повторялистадии 2, 3 и 4.
6. Сухой остаток растворяли в ацетоне, и при добавлении избытка петролейного эфира постепенно выпадали кристаллы восстанавливающего фактора.
Как типичный восстановитель, полученное вещество обесцвечивало йод, и исходя из суммарной массы продуктов реакции, был сделан вывод, что относительная молекулярная масса соединения равна 88,2 или кратна этому значению. Молекулярная масса, найденная методом понижения давления паров воды, составила около 180, что соответствовало точному значению 176,4. И, наконец, элементный анализ дал 40,7% углерода, 4,7% водорода и 54,6% кислорода, что позволило окончательно вывести формулу С6Н8О6.
Хопкинс настаивал на публикации этой работы, полагая, что Сент-Дьёрдьи выделил и охарактеризовал новый гормон углеводной природы с кислотными свойствами. Однако при сдаче статьи в печать возникли осложнения. Дело в том, что Сент-Дьёрдьи из озорства назвал новое соединение „ignose" (nose — нос), что, по его замыслу, должно было означать вещество углеводной природы с неизвестной структурой. Это название было отвергнуто редакцией, тогда Сент-Дьёрдьи представил новый вариант „Godnose" (в буквальном переводе Божий нос). И только когда рассерженный редактор пригрозил, что статья не будет опубликована до тех пор, пока не будет выбрано подходящее название, Сент-Дьёрдьи сдался и принял предложение редакции присвоить новому соединению название „гексуроновая кислота". Итак, в 1928 г. в Biochemical Journal эта основополагающая работа увидела свет. Несомненно, что этот забавный анекдот неоднократно всплывал в послеобеденных беседах. Интересно отметить, что в статье Сент-Дьёрдьи высказывал предположение о том, что восстанавливающие свойства фруктовых соков могут быть также обусловлены присутствием гексуроновой кислоты. Еще немного — и истина была бы установлена, тем не менее идея о том, что во всех случаях мы имеем дело с одним и тем же вездесущим веществом, уже носилась в воздухе.
В следующем году Сент-Дьёрдьи посетил США, где провел некоторое время в клинике Мэйо в Рочестере, шт. Миннесота. Многочисленные скотобойни в окрестностях Рочестера поставляли в изобилии свежие надпочечники, и ему удалось наработать 25 г гексуроновой кислоты, что составляло несметное богатство. Половина этого количества была немедленно отправлена в Англию в
Бирмингем профессору Норману Хеуорсу для структурных исследований. К сожалению, этого количества оказалось недостаточно для установления структуры, которая так и осталась в тот раз тайной.
Казалось, что на протяжении всей жизни Сент-Дьёрдьи сопутствовала удача быть в нужном месте в нужное время. Так оказалось и на этот раз. Последовавшее приглашение министра образования Венгрии дало ему возможность с триумфом вернуться на родину, и летом 1930 г. Сент-Дьёрдьи вступил в должность профессора медицинской химии в Сегеде, расположенном в ста милях южнее Будапешта. Он быстро приобрел репутацию неортодоксального и доступного руководителя, одинаково любимого и коллегами, и студентами. Годом позже ведущий сотрудник группы профессора Кинга из Питсбурга Джо Свирбли вернулся на родину и тоже начал работать в Сегеде. Мысль о том, что его беловатые кристаллы могут оказаться витамином С, все больше и больше овладевала Сент-Дьёрдьи, но витамины не входили в круг его научных интересов, и, кроме того, он ненавидел клинические испытания. Приезд Свирбли позволил всесторонне проверить эту идею, и к весне 1932 г. была установлена полная идентичность гексуроновой кислоты и витамина С.
1.2 Установление структуры
На этот раз бирмингемская группа имела в своем распоряжении достаточное количество кристаллов. Были известны молекулярная формула соединения (С6H8O6), точка плавления (191°С) и угол оптического вращения (+23° в воде). Тем не менее расшифровка структуры потребовала увлекательной, почти детективной работы, так характерной для органической химии в те легендарные годы. Ответственность за работу была возложена на Эдмунда Херста, который работал под руководством Хеуорса еще в Дареме.
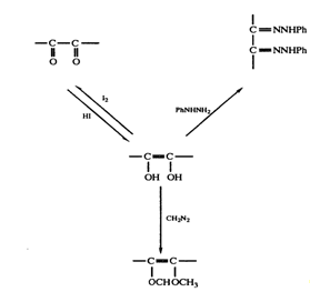
При кипячении в соляной кислоте кристаллы давали фурфурол с количественным выходом, что свидетельствовало о том, что по крайней мере пять из шести атомов углерода образуют неразветвленную цепь. Дальнейшие опыты показали, что аскорбиновая кислота является слабой одноосновной кислотой и сильным восстановителем. Первая стадия окисления, которая легко обратима, может быть проведена с помощью водного раствора иода, подкисленного бензохиноном, или молекулярного кислорода в присутствии солей меди при рН 5. Продукт окисления, которое приводило к отщеплению двух атомов водорода, был назван дегидроаскорбиновой кислотой (С6Н6Об)- Обратимое окисление иодом протекало аналогично известной реакции с 2,3-дигидроксималеиновой кислотой:
НООСС(ОН) = С(ОН)СООН + I2 →НООССО - СОСООН + 2HI
что позволяло предположить наличие ендиольной группировки С(ОН) = С(ОН). Сходство в спектрах поглощения аскорбиновой
 
 
Рис. 1. Реакции ендиольной группировки.
и дегидроксималеиновой кислот с единственной интенсивной полосой при 245 нм подтвердило это предположение. В дальнейшем присутствие ендиольной группировки было доказано следующим образом: 1) при обработке диазометаном получалась диметиласкорбиновая кислота; 2) взаимодействие с фенилгидразином после первоначального окисления приводило к образованию озазона (рис. 3.1). Первоначально кислотные свойства аскорбиновой кислоты приписывались наличию карбоксильной группы. Однако было показано, что дегидроаскорбиновая кислота — это нейтральный лактон, который медленно гидролизуется, высвобождая карбоксильную группу. Легкость взаимных превращений дегидроаскорбиновой и аскорбиновой кислот указывала на то, что
 
 
 
 
последняя также является лактоном. Эта точка зрения подкреплялась и тем фактом, что диметиласкорбиновая кислота, будучи нейтральным соединением, при обработке гидроксидом натрия дает натриевую соль без отщепления метильной группы, т. е. происходит раскрытие лактонного кольца (рис. 3.2).
Кроме того, было известно, что в молекуле присутствуют еще две спиртовые ОН-группы, которые при обработке ацетоном образуют производное изопропилидена, также содержащее два енольных гидроксила. Дальнейшее окисление дегидроаскорбиновой кислоты гипоиодитом натрия в щелочной среде приводит к образованию щавелевой и L-треониновой кислот, причем последняя была идентифицирована по ее последовательным превращениям в известные со соединения — L-диметоксисукцинамид и три-О-метил-ь-треонамид. Описанные превращения помогли установить стереохимическое родство природной L-аскорбиновой кислоты и углеводов L-ряда, а также выяснить, что карбонильная группа лактона соседствует непосредственно с ендиольной группировкой (рис. 3.3). Теперь необходимо было выяснить размер лактонного кольца, и это удалось сделать в результате еще одного простого эксперимента. Было известно, что при обработке диазометаном L-аскорбиновая кислота превращается в ди-О-метильное производное. Дальнейшее метилирование иодметаном в присутствии оксида серебра приводит к образованию тетра-О-метилированного соединения, озонолиз которого дает единственный продукт — нейтральный эфир. Под действием аммиака в метаноле эфир деградирует с образованием амида щавелевой кислоты и 3,4-ди-О-метил-Ь-треонамида; последний был идентифицирован по характерной для 2-гидроксиамидов реакции Веермана. Так было показано, что лактонное кольцо замыкается по положению С-2 треонамида, эквиэквивалентного положению С-4 тетра-О-метиласкорбиновой кислоты (рис. 3.4). Таким образом было установлено, что аскорбиновая кислота является 7-лактоном, который изображен на рис. 3.5.
Надо отметить, что в растворе в небольших количествах могут присутствовать и другие таутомерные формы. Асимметрический центр при С-5 имеет L- конфигурацию (или S-конфигурацию согласно системе Кана — Ингольда — Прелога). Кислотные свойства раствора аскорбиновой кислоты обусловлены ионизацией ендиольного гидроксила при С-3 (рКа 4,25), что приводит к делокализации отрицательного заряда в образующемся анионе.
 
 
 
 
 
 
1.3 Уточнение структуры с помощью инструментальных методов
Развитие и совершенствование спектроскопических методов, последовавшее в годы после успешного установления структуры L-аскорбиновой кислоты, позволило более глубоко проникнуть в структуру молекулы.
1.3.1 Дифракция рентгеновского излучения
Впервые рентгеноструктурный анализ L-аскорбиновой кислоты был выполнен еще в начале 30-х гг. с целью помочь структурным исследованиям, проводимым в Бирмингеме, и фактически подтвердил выводы бирмингемской группы. В 60-е гг. в работе Хвослефа из Осло, выполненной с помощью методов рентгеновской и нейтронной дифракции, было обнаружено, что кристаллы аскорбиновой кислоты относятся к моноклинной пространственной группе с четырьмя молекулами в элементарной ячейке. В кристалле существует два типа молекул (А и В) с восемью межмолекулярными водородными связями (рис. 3.7).
 
 
Конформации молекул А и В фактически идентичны в том смысле, что в обоих случаях С-5—ОН расположена антиперипланарно относительно С-4—Н и С-6-ОН (рис. 3.8). Соли L-аскорбиновой кислоты содержат резонансно-стабилизированный аскорбатный анион, образующийся при депротонировании
С-3—ОН. Рентгеноструктурные данные подтверждают ожидаемое изменение длины связей в конъюгированной системе аниона О—С-3=С-2-С-1=О по сравнению с нейтральной молекулой (табл. 3.2).
 
 
Во многих солях аскорбиновой кислоты суммарный эффект координированного иона металла и водородного связывания приводит к тому, что С-6—ОН находится в синклинальной (или гош)
ориентации относительно С-5—ОН.
1.3.2 Ультрафиолетовая спектроскопия
УФ-спектр L-аскорбиновой кислоты при рН 2 имеет максимум поглощения при 243 нм (е = 10 000 моль~1дм3см~1), который при рН 7,0 сдвигается в красную область к 265 нм (е = 16 500моль_дм3см~1) за счет депротонирования С-3—ОН группы.
Эти изменения соответствуют π → π* электронному переходу в сопряженной двойной углерод-углеродной связи пятичленного лактонного кольца.
1.3.3 Инфракрасная спектроскопия
Характеристики
Тип файла документ
Документы такого типа открываются такими программами, как Microsoft Office Word на компьютерах Windows, Apple Pages на компьютерах Mac, Open Office - бесплатная альтернатива на различных платформах, в том числе Linux. Наиболее простым и современным решением будут Google документы, так как открываются онлайн без скачивания прямо в браузере на любой платформе. Существуют российские качественные аналоги, например от Яндекса.
Будьте внимательны на мобильных устройствах, так как там используются упрощённый функционал даже в официальном приложении от Microsoft, поэтому для просмотра скачивайте PDF-версию. А если нужно редактировать файл, то используйте оригинальный файл.
Файлы такого типа обычно разбиты на страницы, а текст может быть форматированным (жирный, курсив, выбор шрифта, таблицы и т.п.), а также в него можно добавлять изображения. Формат идеально подходит для рефератов, докладов и РПЗ курсовых проектов, которые необходимо распечатать. Кстати перед печатью также сохраняйте файл в PDF, так как принтер может начудить со шрифтами.















