166660 (625074), страница 2
Текст из файла (страница 2)
Рисунок 3 – Схема адсорбции полидиметилсилоксана на необработанной (а) и обработанной (б) поверхности стекла.
-
Влияние растворителя. Растворитель определяет размеры макромолекулы в растворе, ее ассиметрию и, следовательно, возможную ориентацию молекулы на поверхности, структуру адсорбционного слоя и т.п. Необходимо также принимать во внимание адсорбцию самого растворителя на поверхности, которая мешает сделать правильные выводы об адсорбции макромолекулы. Связь между взаимодействием полимера и растворителя и размерами цепи выражается уравнением Флори-Хаггинса, в основе которого лежит представление об осмотическом давлении статистического клубка макромолекулы [1]:
,
где π – осмотическое давление, с – концентрация раствора, М – молекулярный вес, Аn – вириальные коэффициенты. Второй вириальный коэффициент характеризует энергию взаимодействия молекул полимера и растворителя (и может являться термодинамическим критерием вязкости растворителя наряду с параметром χ из теории Флори-Хаггинса). При уменьшении данного коэффициента происходит уменьшение осмотического давление, что влечет за собой уменьшение размеров макромолекулы и, как следствие, уменьшение вязкости раствора. Таким образом, вязкость связана с термодинамическим качеством растворителя.
В разбавленных растворах полимеров в плохих растворителях макромолекулы имеют свернутые формации (меньшие размеры) и адсорбируются в лучшей степени, чем из хороших растворителей. В концентрированных растворах помехой адсорбции является еще и взаимодействие полимер-полимер.
-
Влияние температуры. Однозначного ответа на данный вопрос в литературе нет. При рассмотрении влияния температуры следует вкупе учитывать особенности самой системы. В одних случаях при повышении адсорбции будет способствовать улучшению термодинамического качества растворителя, в других – к ухудшению. Так как качество растворителя неоднозначно влияет на адсорбцию, то и зависимость адсорбции от температуры будет сложной. Под действием температуры также меняет взаимодействие адсорбент-растворитель.
Установлено, что адсорбция полиэфира [8-9] и сополимера стирола с бутадиеном [10] с ростом температуры уменьшается. В то же время обнаружено, что адсорбция полиметакриловой кислоты на оксиде алюминия [11], синтетического каучука СКН-26 на оксиде железа [12], полиизопропилакрилата на кременеземе [13], эпоксидной смолы ЭД-6 на белой саже [14] с повышением температуры, наоборот, увеличивается из-за ухудшения термодинамического качества растворителя. В работах обращается внимание также на возможность изменения степени агрегации макромолекул с изменением температуры.
-
Влияние молекулярного веса. Скорость адсорбции молекул меньшего размера больше скорости адсорбции молекул большего размера, т.к. первая обуславливается диффузией. Поэтому из растворов сначала адсорбируются молекулы меньшего размера, которые потом вытесняются с поверхность большими молекулами. Но при большой прочности адсорбционных связей такое вытеснение может и не происходить. Также адсорбция больших молекул может быть затруднена на пористых адсорбентах (размер пор попросту может не совпадать с размером молекулы).
В работе [15] адсорбция катионного полиэлектролита сополимера стирола с диметиламинопропилмалеимидом разной молекулярной массы на отрицательно заряженной поверхности рассчитана по изменению заряда и потенциала поверхности методом капиллярной электрокинетики. Исследования показали, что структура адсорбционного слоя зависит от молекулярной массы полиэлектролита и его концентрации в объеме, а также от конформации макромолекул в растворе.
При адсорбции на непористых сорбентах между максимальной адсорбцией и молекулярным весом существует зависимость:
AS = KMα
где К и α – константы.
Уравнение позволяет оценить конформацию адсорбированной полимерной цепи. Коэффициент α уменьшается с ростом молекулярного веса полимера, что свидетельствует о смене конформаций на поверхности от свернутой к плоской.
1.2 Общая характеристика геллана
1.2.1 Химические свойства
Геллан был открыт сравнительно недавно, в 1977 году. Получают его путем ферментации, провоцируемой бактерией Sphingomonas elodea. При производстве толщина и твердость геля геллана варьируются с помощью изопропилового спирта. Природный геллан имеет 2 ацильных заместителя в глюкозном остатке. При повышенной температуре и в щелочной среде происходит деацелироване. Такой деацелированный геллан (часто в литературе просто «геллан») используется в пищевой промышленности как гелеобразующий агент и модификатор структуры [16].
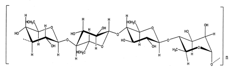
Молекулярная масса геллана составляет 70000 дальтон, при этом 95% от массы превышает 500000 дальтон. По химическому строению геллан является внеклеточным гетерополисахаридом. Повторяющееся звено в макромолекулярной структуре состоит из остатков 4 полисахаридов: 2х β-D-глюкоз, β-D-глюкуроновой кислоты и α-L-рамнозы [17]:
Рисунок 3 – Строение звена деацелированного геллана.
Между собой тетрасахаридные фрагменты соединены α 1→3 гликозидными связями. Примерный состав: 60 % глюкозных остатков, 20 % остатков от рамнозы и 20 % от глюкуроновой кислоты.
Карбоксильная группа в глюкуроновой кислоте проявляет все характерные реакции карбоновых кислот, но при несколько отличных условиях. Например, можно получить бензиловый эфир, если проводить реакцию с использованием тетрабутиламмониевого производного природного геллана в реакции взаимодействия с бензилбромидом в диметилсульфоксиде [18]:
Сшитый геллан способен набухать в воде, но не растворяется полностью. Сшивающими агентами могут служить, например, ЭХГ, ЭДК. Ниже приведена реакция сшивания с ЭХГ:
G
el–OH + CH2–CH–CH2–Cl → Gel–O–CH2–CH(OH)–CH2–Cl + NaOH →
→
Gel–O–CH2–CH–CH2 + NaCl + H2O
+
Gel–OH
↓
Gel–O–CH2–CH(OH)–CH2–O–Gel
1.2.2 Гелеобразование геллана
При образовании геля геллана возникают упорядоченные области (блоки), состоящие из параллельных рядов [19-20]:
а
б
Рисунок 4 – Самосшитый геллан: а – связь двойных цепей в агрегаты, б – молекулярная модель гидрогеля (характеристики блока: длина 12,48 нм; ширина 4,05 нм; высота 8,46 нм).
Механизм гелеобразования геллана является предметом многих дискуссий. Тем не менее, есть схожее мнение, что при повышенной температуре происходит термообратимый конформациооный переход из одинарной структуры в двойную, более упорядоченную [21].
Рисунок 5 – Схематическое представление золь-гель перехода геллана в отсутствие и присутствии моновалентных катионов.
При высокой температуре макромолекулы геллана существуют в виде расплетенных единичных клубков (золь-I). При охлаждении цепи геллана ассоциируются с образованием двойной спирали и упорядоченной структуры. Однако такая упорядоченная структура еще не приводит к образованию сетки (золь-II). Гелеобразование имеет место только в присутствии катионов. Это связано с тем, что температура фазового золь-гель перехода становится ниже температуры конформационного перехода спираль-клубок. Однако для геллана, который проявляет два отдельных перехода (золь-I, золь-II и гель) не характерен термический гистерезис при охлаждении и нагревании . Разница между температурой перехода спираль-клубок и золь-гель уменьшается с увеличением концентрации добавленной соли. Водный раствор геллана переходит в гель при температуре 30-35С [22], который плавится при 90 С.
По наличию ацильных групп геллан бывает 2х форм: низкоацильный и высокоацильный. Из высокоацильной формы получаются очень эластичные и не хрупкие гели, а из низкоацильной – твердые, хрупкие и неэластичные[23].
Как уже отмечалось выше, в присутствии катионов геллан превращается в гель [24-25]. Например, гелеобразование в присутствии катионов натрия используется для определения молекулярной массы геллана. Катионы Nа+ препятствуют нежелательной агрегации и микрогелеобразованию, что является основными проблемами при определении молекулярной массы. Бивалентные катионы благоприятствуют образованию двойной спирали [26].
Добавление хелатирующих агентов к раствору геллановой камеди увеличивает температуру гелеобразования, но ухудшает реологические свойства полученного геля [27].
Геллан в данное время производится компанией Kelco в Японии и США. Продукт имеет 4 вида и выпускается под названиями: Келкогель (геллановая камедь), Гельрит (с ионами К+), Фитогель и Гель-Гро [17] . Келкогель используется в пищевой промышленности в качестве загустителя, эмульгатора и стабилизатора. В номенклатуре добавок его номер Е418. Остальные 3 вида используются в микробиолигии как альтернатива агар-агару. Геллан выдерживает температуру до 120оС, что делает его незаменимым при культивации термофильных организмов.
2 Экспериментальная часть
2.1 Методика проведения эксперимента и расчеты
Керны были предварительно просеяны и разделены по следующим фракциям: 2 мм, 1мм, 500 мкм, 250 мкм, 125 мкм, 45 мкм и меньше 45 мкм. Для работы были выбраны пески Харасан с размерами частиц 45 и 125 мкм. Для активации поверхности одну часть керновых материалов промывали горячей соляной кислотой (HCl), затем многократно дистиллированной водой для удаления следов HCl. Вторую часть использовали без предварительной промывки для сравнительных целей.
Фракционирование сорбентов осуществляли на приборе Type AS 200 control (Германия).
Размеры частиц и структуру поверхности частиц оценивали с помощью низковакуумного растрового электронного микроскопа JEOL JSM – 6490LA (Япония). Качественный и количественный анализ состава керна проводили на рентгеновском дифрактометре X’Pert MPD PRO (PANalytical, Голландия).
Кондуктометрическое титрование полимеров проводили на рН/кондуктометре «Mettler Toledo MPC 227» (Швейцария) при комнатной температуре. Кинетику адсорбции изучали по методике, описанной в работе [28]. Керн в количестве 10г загружали в коническую колбу объемом 250 мл с раствором полимера известной концентрации. Кинетику адсорбции изучали при постоянном перемешивании при комнатной температуре. В определенный момент времени перемешивание останавливали и отбирали 5 мл раствора полимера, который затем центрифугировали и определяли его концентрацию методом кондуктометрического титрования. Концентрацию адсорбированного полимера вычисляли по формуле:
где C0 – исходная концентрация полимера в растворе, моль/л;
Ct - равновесная концентрация полимера, оставшегося в растворе в момент времени t, моль/л;
Cадс – концентрация адсорбированного керном полимера, моль/л.
Равновесную концентрацию полимера Ct определяли кондуктометрическим титрованием водного раствора определенной концентрации из состава поликомплекса.















