166353 (624985)
Текст из файла
СОДЕРЖАНИЕ
1.Информационный поиск
2. Концептуальное описание схемы переэтерификации диметилового эфира β-цианоэтилфосфоновой кислоты моноэтиленгликоль (мет) акрилатом
3. Конструктивно-функциональный анализ лабораторного реактора для проведения переэтерификации диметилового эфира β-цианоэтилфосфоновой кислоты моноэтиленгликоль(мет)акрилатом
4. Функционально-физический анализ ТО
5. Анализ технологического процесса переэтерификации диметилового эфира β-цианоэтилфосфоновой кислоты моноэтиленгликоль(мет)акрилатом
6. Постановка задачи поиска нового технического решения
7.Синтез с помощью эвристических приемов
8. Морфологический анализ процесса и аппарата для проведения переэтерификации
9. Морфологический синтез
Выводы
Введение
История развития человечества - это прежде всего история изобретения, создания и совершенствования различных изделий и технологий, другими словами - процесса инженерного творчества (ИТ). Результатами ИТ чаще всего являются новые, более совершенные и эффективные технические объекты и технологии.
Техническим объектом (ТО) называется созданное человеком или автоматом реально существующее устройство, предназначенное для удовлетворения определенной потребности.
Каждый ТО может быть представлен определенным иерархически соподчиненными описаниями. На самой нижней ступени данной иерархической структуры стоит потребность, или функция ТО. Это понятие должно рассматриваться достаточно подробно, иначе ошибка на уровне постановки потребности может привести к созданию невостребованного технического проекта.
Выявление потребности в ТО.
Потребность- общепринятое и краткое описание на естественном языке назначения ТО или цели его создания. При описании потребности отвечают на вопрос о том, какой результат желают получить, каким особым условиям и ограничениям при этом нужно удовлетворить.
Можно ответить на этот вопрос с позиции темы магистерской диссертации: «Синтез фосфорсодержащих метакрилатов на основе диметилового эфира β-цианоэтилфосфоновой кислоты».
В настоящее время актуальной является задача получения полимеров с пониженной горючестью, перспективных для применения в строительстве, технике и прочих отраслях, а также “оптимальный” синтез таких соединений. В магистерской диссертации рассматривается способ получения мономеров для получения таких полимеров, а именно переэтерификацией диметилового эфира β-циано-этилфосфоновой кислоты моноэтиленгликольметакрилатом .
Описание любой потребности формализованно можно представить в виде трех компонентов:
где D –указание действия, производимого рассматриваемым ТО и приводящего к желаемому результату, т.е. к удовлетворению (реализации) интересующей потребности; G – указание объекта, на который направлено действие D, H- указание особых условий и ограничений, при которых выполняется действие D.
Представим это в таблице:
Таблица 1 Описание потребности в рассматриваемом ТО
| Наименование ТО | D | G | H |
| Мономеры и полимеры с пониженной горючестью | Снижение горючести полимерных материалов | Горючие полимеры | Внедрение фосфора в структуру полимеров |
Для получения сведений о данном техническом решении и об его аналогах был произведен информационный поиск, который позволил получить сведения о новейших достижениях в требуемой предметной области и исключить дублирование исследований и разработок. На его основании можно сделать вывод о том, что все предыдущие исследования были посвящены реакциям фосфорилирования других органических веществ.
Таким образом, поставленная цель исследования и синтеза фосфорсодержащих метакрилатов на основе диметилового эфира β-цианоэтилфосфоновой кислоты является актуальной и востребованной.
1. Информационный поиск
При выполнении научно-технических разработок и исследований составной частью деятельности любого инженера и ученого является поиск и обработка источников информации.
Чтобы создавать новые, на уровне мировых образцов изделия, нужно быть на переднем крае науки и техники, профессионально владеть информацией в области своей специализации, быть информированным в смежных областях.
Фактически требуемая и полезная для решения конкретной инженерной задачи информация получается в результате работы огромного количества специалистов из различных областей знания, она рассеяна по множеству источников, непрерывно пополняется и корректируется. Качественно выполненный информационный поиск позволяет вооружить инженера новейшими достижениями в требуемой предметной области.
Наиболее характерным в деятельности инженера является тематический информационный поиск, который включает в себя в качестве элементов документальный и фактографический поиск, а также аналитическую переработку полученной информации.
Информационный поиск предполагает решение следующих задач:
-
выявление информационной потребности;
-
постановка задачи поиска информации;
-
поиск источников информации;
-
выбор информации из источников;
-
переработка информации к виду, удобному для использования при решении его основной научно-технической задачи.
Составной частью информационного поиска является проведение патентных исследований.
Целью патентных исследований является получение исходных данных для обеспечения высокого технического уровня и конкурентноспособности объекта техники, использование современных научно-технических достижений, исключение неоправданного дублирования исследований и разработок
Таблица 2 Основные параметры регламента поиска
| Предмет поиска | Цель поиска информации | Страна поиска | УДК | МКИ, НКИ | Ретроспективность поиска | Наименование источников, по которым проводится поиск |
| Фосфорсодержащие акрилаты и другие фосфорсодержащие мономеры | Поиск методов синтеза фосфорсодержащих мономеров | США | C07C103/79 C07C101/00 C07C101/72 C07C049/76 C07C049/84 A01N009/24 C07C049/44 | http:/patft.uspto. gov-американская патентная база |
Таблица 3 Патентная документация, отобранная для анализа
| Предмет поиска | Страна выдачи, вид и номер охранного документа, классификационный индекс | Заявитель с указанием страны, номер заявки, дата публикации | Сущность заявленного технического решения и цели его создания | Сведения о действии охранного документа или причина аннулирования |
| Фосфорсодержащие акрилаты и другие фосфорсодержащие мономеры | США США США США | Valdiserri; Leo L.; Belpre; Номер патента- 298967 Дата публикации- 15 Mar 1983 E.N. Allen, Faesingers R.F. Номер патента-3969440 Дата публикации- 13 дек. 1977 H.Y. Coover Номер патента-2790823 Дата публикации- 5 авг. 1960 Steckler Robert Номер патента-3855364 Дата публикации- 15 окт. 1975 | Получение фосфорсодержащих изоцианатных олигомеров Фосфорсодержащие акриловые эфиры и амиды Акриловые эфиры, содержащие фосфонамидную группу Фосфатные эфиры гидроксиалкилакрилатов и гидроксиалкил метакрилатов |
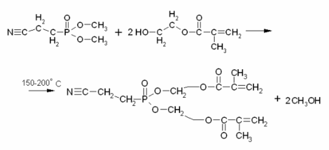
2. Концептуальное описание схемы переэтерификации диметилового эфира β-цианоэтилфосфоновой кислоты моноэтиленгликоль(мет)акрилатом
В колбу Кляйзена, снабженную водяным холодильником, помещают диметилового эфира β-цианоэтилфосфоновой кислоты. Добавляют моноэтиленгликольметакрилат (МЭГ), а также около 1 % гидрохинона для ингибирования реакции полимеризации МЭГа. Нагревают силиконовую баню до ~150°С и выдерживают эту температуру в течение 5-6 часов.
По мере протекания реакции переэтерификации, проходя через водяной холодильник, конденсируются пары метанола, который собирается в приемник.
В качестве побочной может выступать реакция самопроизвольной полимеризации МЭГ при повышенных температурах:
3. Конструктивно-функциональный анализ лабораторного реактора для проведения переэтерификации диметилового эфира β-цианоэтилфосфоновой кислоты моноэтиленгликоль(мет)акрилатом
Рис.1 Лабораторный реактор для проведения переэтерификации диметилового эфира β-цианоэтилфосфоновой кислоты моноэтиленгликоль(мет)акрилатом
КФА выполняется в 3 стадии:
-
Вначале выбранный для анализа технический объект декомпозируется на отдельные элементы, в зависимости от потребности задачи и с учетом системных свойств объекта;
-
На второй стадии для каждого элемента формулируется одна или несколько функций, также в зависимости от проектной ситуации;
-
На третьей стадии результаты анализа для наглядного представления изображаются графически.
Таблица 4 КФА лабораторного реактора для проведения переэтерификации
| Элемент ТО | Функция элемента | |||
| Обозн. | Наименование | Обозначение | Описание (D,G,H) | |
| Е0 | Колба Кляйзена | Ф00 | Создает объем для проведения химического взаимодействия | |
| Ф01 | Передает тепло от теплоносителя к реакционной массе | |||
| Ф02 | Передает воздействие массы емкости с реакционной смесью V1 на стол | |||
| Е1 | Водяной холодильник | Ф11 | Создает пространство для циркуляции теплоносителя (воды) | |
| Ф12 | Предотвращает “унос” реакционной массы из реактора | |||
| Е2 | Горло для ввода сырья | Ф21 | Подводит реакционную массу из окружающей среды в реактор | |
| Е3 | Горло для вывода реакционной массы | Ф31 | Выводит реакционную массу в приемник | |
| Е4 | Горло реактора для установки холодильника | Ф41 | Служит “соединительным звеном” реактора и холодильника | |
| Е5 | Электроплитка | Ф51 | Создает пространство для установки нагревательной бани | |
| Ф52 | Передает тепло от электроплитки к нагревательной бане | |||
| Е6 | Нагревательная баня | Ф61 | Создает пространство для лабораторного реактора | |
| Ф62 | Передает тепло от нагревательного устройства к реактору | |||
| Ф63 | Равномерное распределение тепла, передаваемого к реактору | |||
| Е7 | Патрубок для входа теплоносителя (воды) | Ф71 | Подводит теплоноситель из окр. среды к холодильнику (Е1) | |
| Ф72 | Рассредоточивает теплоноситель (воду) в холодильнике (Е1) | |||
| Е8 | Патрубок для выхода теплоносителя (воды) | Ф81 | Отводит теплоноситель из холодильника во внешнюю среду | |
| Ф82 | Сосредотачивает теплоноситель (воздух) холодильника | |||
| W1 | Реакционная масса | Фv01 | Занимает полезный объем реактора (Е0) | |
| W2 | Теплоноситель среды (вода) | Фv02 | Принимает тепло от холодильника | |
| Фv12 | Переносит тепло из холодильника в окружающую среду | |||
Изобразим КФС лабораторного реактора для проведения переэтерификации диметилового эфира β-цианоэтилфосфоновой кислоты моноэтиленгликоль(мет)акрилатом:
Характеристики
Тип файла документ
Документы такого типа открываются такими программами, как Microsoft Office Word на компьютерах Windows, Apple Pages на компьютерах Mac, Open Office - бесплатная альтернатива на различных платформах, в том числе Linux. Наиболее простым и современным решением будут Google документы, так как открываются онлайн без скачивания прямо в браузере на любой платформе. Существуют российские качественные аналоги, например от Яндекса.
Будьте внимательны на мобильных устройствах, так как там используются упрощённый функционал даже в официальном приложении от Microsoft, поэтому для просмотра скачивайте PDF-версию. А если нужно редактировать файл, то используйте оригинальный файл.
Файлы такого типа обычно разбиты на страницы, а текст может быть форматированным (жирный, курсив, выбор шрифта, таблицы и т.п.), а также в него можно добавлять изображения. Формат идеально подходит для рефератов, докладов и РПЗ курсовых проектов, которые необходимо распечатать. Кстати перед печатью также сохраняйте файл в PDF, так как принтер может начудить со шрифтами.















