166187 (624953)
Текст из файла
Федеральное агентство по образованию
Государственное образовательное учреждение высшего профессионального образования
Самарский государственный технический университет
Кафедра: «Органическая химия»
Курсовая работа
Выполнил: студент _________________
(подпись)
Руководитель: _________________
(подпись)
Работа защищена
“___“ __________ 2008г.
Оценка _______Зав. кафедрой: доцент, д. х. н._________________
(подпись)
Самара, 2008 г.
Оглавление
1. Введение 3
1.1.Свойства 3
1.2.Практическое применение 3
1.3.Методика синтеза 4
2.Литературный обзор. Пиразолы, тетразолы и триазолы 5
2.1.Общие сведения 5
2.2.Получение пиразолов реакцией синтеза кольца 6
2.3.Свойства пиразолов 8
2.3.1.Реакции замещения 8
2.3.2.Реакции, приводящие к раскрытию цикла 11
3.Выводы 15
Список литературы 16
1. Введение
-
Свойства
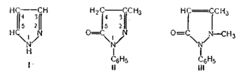
Циклическая система пиразола I представляет собой дважды ненасыщенное пятичленное кольцо с двумя рядом расположенными атомами азота. Кнорр впервые в 1883 г. синтезировал соединение, содержащее этот цикл. При проведении реакции ацетоуксусного эфира с фенилгидразином он получил 1-фенил-3-метил-5-пиразолон II. Вслед за изучением хинина Кнорр стал проводить исследования противолихорадочного действия II и родственных соединений; так было открыто важное жаропонижающее средство, антипирин III. Для этих соединений Кнорр ввел название пиразолы, отмечая тем самым, что данное ядро произошло из пиррола путем замены атома углерода на азот; он синтезировал много представителей этого класса и систематически изучал их свойства.
В соответствии с общими правилами номенклатуры гетероциклических соединений принята нумерация пиразолов, указанная в формулах I и II, а также названия пиразолин и пиразолидин для дигидро- и тетрагидропиразолов IV и V.
Известны три общих метода синтеза циклической системы пиразола.
Реакция гидразина и его производных, например арил- или алкилгидразинов, семикарбазида или аминогуанидина с 1,3-дикарбонильными соединениями.
Аналогичен синтез пиразолонов из β-кетоэфиров.
Реакция гидразинов с α,β-ненасыщенными карбонильными соединениями.
Пиразолоны и пиразолидоны получают из соответствующих α,β-ацетиленовых или этиленовых кислот или их производных.
Реакция алифатических диазосоединений типа диазометана или диазоуксусного эфира с ацетиленами и олефинами.
Кроме того, имеется ряд менее общих методов, находящих применение лишь в отдельных случаях.
Практическое применение
Так как фенилгидразин является наиболее легкодоступным гидразином, особое внимание было уделено 1-фенилпиразолам, которые в настоящее время можно считать самыми важными и наиболее тщательно исследованными производными. Поскольку многие лекарственные препараты и красители содержат пиразольное ядро, этот класс соединений широко изучался и исследования продолжаются и теперь, несмотря на то, что антипирин и родственные медикаменты больше не используются в США. Пиразолоновые красители особенно важны в цветной фотографии.
2. Литературный обзор. Пиразолы, тетразолы и триазолы
-
Общие сведения
Производные этих гетероциклов представляют собой устойчивые ароматические соединения. Многие из них используются в промышленном производстве лекарственных препаратов, пестицидов и красителей. В качестве примеров можно привести гербицид соль пиразолия 9 (дифеиэокват), раксил (10) — фунгицид, используемый для зашиты растений, фенилбутазои (11) — противовоспалительное средство и флуконазол (12) — лекарственный препарат для лечения грибковых инфекций. Производные 1,2,3-триазола применяют в качестве оптических отбеливателей. Тетразолы имеют важное значение в медицинской химии, так как N-незамещенные тетразолы можно рассматривать как аналоги карбоновых кислот: величины их рК, сравнимы (разд. 8.1), и они представляют собой плоские, делокализованные системы с примерно такими же пространственными требованиями. Были синтезированы аналоги аминокислот и многих других природных карболовых кислот, в молекулах которых карбоксильная группа заменена тетразольным циклом.
-
Получение пиразолов реакцией синтеза кольца
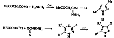
Эти гетероциклы можно синтезировать с помощью реакций замыкания цикла и циклоприсоединения. Наиболее общий метод получения пиразолов заключается во взаимодействии 1,3-дикарбонильных соединений или их аналогов (таких, как сложные эфиры енолов) с гидразинами. В качестве примера приведем синтез 3,5-диметилпиразола (13) из пентан-диона-2,4 и гидразина. Недостаток этого метода заключается в том, что несимметричные дикарбонильные соединения или их производные иногда образуют смеси изомерных пиразолов. К хорошим результатам в получении некоторых N-незамещенных пиразолов приводит взаимодействие гидразидов XCSNHNH2 (X=.SR или NR2) с а-галогенокетонами. В ходе реакции в качестве интермедиатов образуются тиадиазины 14, которые либо самопроизвольно, либо при обработке кислотами элиминируют атом серы и превращаются в пиразолы с хорошим выходом.
Пиразолы можно также получить циклизацией ацетиленовых гидразинов, электроциклизацией ненасыщенных диазосоединений, 1,3-диполярным циклоприсоединением диазосоединений и нитрилимидов.
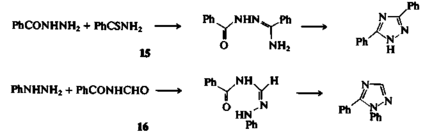
Существует много удобных методов синтеза 1,2,4-триазолов, наиболее важные из которых основаны на создании и циклизации структур типа N—С—N—N—С и С—N—С—N—N. В качестве примера первого типа можно привести термическую конденсацию ацилгидразида с амидом или (что лучше) с тиоамидом (реакция Пеллиццари); так, бензоилгидразид вступает в реакцию с тиобенза-мидом при 140 °С с образованием 3,5-дифенил-1,2,4-триазола (15). Примером второго типа циклизации служит реакция Эйнхорна — Бруннера, в которой гидразин или монозамещенный гидразин конденсируется с диациламином в присутствии слабой кислоты. Так, при взаимодействии фенилгидразина и N-формальбензамида образуется с хорошим выходом 1,5-дифенил-1,2,4-триазол (16).
1Н-1,2,3-Триазолы могут быть получены 1,3-диполярным присоединением разнообразных ароматических азидов XN3 (X = алкил, винил, арил, ацил, арилсульфонил и т. д.) к ацетиленам. Некоторые соединения (енолят-анионы, простые эфиры енолов, енамины, а-ацил-фосфорилиды) при взаимодействии с азидами дают 1,2,3-триазолы. Например, илид 17 реагирует с азидобензолом в растворе при температуре 80 °С с образованием 1,5-дифенил-1,2,3-триазола с хорошим выходом. Эти реакции, в противоположность присоединению к ацетиленам, высоко региоселективны. Иногда при присоединении азидов (например, триметилсилил- или ацилазидов) образуются 2Н-1,2,3-триазолы; при этом, очевидно, миграция заместителя к атому N-2 происходит после замыкания цикла. Наиболее часто 2Н-1,2,3-триазолы получают из 1,2-дикетонов. Примером реакции такого типа может служить окислительная циклизация в присутствии солей меди(Н) бис-арилгидразонов 1,2-дикетонов. Возможный механизм циклизации бис-фенилгндразонов а-кетоальдегидов 18 приведен ниже.
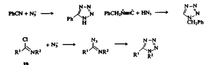
Некоторые распространенные методы получения тетразолов заключаются в присоединении азотистоводородной кислоты (Н3N) или азид-ионов к соединениям, содержащим кратную связь углерод — азот. Примерами таких реакций могут служить:
а) синтез 5-фенилтетразола нагреванием бензонитрила и азида натрия в N,N-диметилформамиде,
б) образование 1-бензилтетразола из бензилизонитрила и азотистоводородной кислоты в присутствии следовых количеств серной кислоты
в) превращение имидоил-хлоридов 19 в 1,5-дизамещеиные тетразолы взаимодействием с НЫз или азидом натрия. 2,5-Дизамещенные тетразолы могут быть получены другим способом — реакцией амидразонов 20 с азотистой кислотой.
-
Свойства пиразолов
-
Реакции замещения
Химические свойства этих азолов отличаются от свойств пиррола тем значительнее, чем больше число атомов азота в молекуле. Для этих циклических систем относительно редки реакции злектро-фильного замещения по атому углерода, так как атомов углерода в молекуле меньше, и злектрофилы преимущественно атакуют атомы азота. Пиразолы можно хлорировать и бромировать в мягких условиях по положению 4. 4-Нитропиразол можно получить непрямым синтезом из пиразола: при взаимодействии с ацетатом нитро-ния (N02"tAc-) образуется 1-нитропиразол (21), который при обработке серной кислотой превращается в 4-нитропиразол. Эта реакция, по-видимому, протекает с переносом группы N02+ через стадию образования промежуточного катиона 22, так как было показано, что 1-нитропиразол можно использовать как удобный и эффективный нитрующий агент для ароматических углеводородов в присутствии кислот. 1,2,3-Триазол может быть превращен в 4,5-дибромопроизводное реакцией с гипобромитом натрия в уксусной кислоте, а 1,2,4-триазол можно прохлорировать по положению 3, причем реакция идет через образование 1-хлоропроизводиого, которое может быть выделено. Таким образом, для этих циклических систем возможно электрофильное замещение по атому углерода, но процесс идет через образование интермедиата, получаемого в результате первоначальной атаки электрофилом атома азота.
Азолы могут быть проалкилированы по атому азота с помощью разнообразных алкилирующих агентов, но часто бывает трудно предсказать, какой из возможных изомеров образуется. Со- отношение изомеров обычно в значительной степени зависит oт природы алкилирующего агента и условий проведения реакции. На пример, метиловый эфир 5-метилпиразол-З-карбоновой кислоть (23) метилируется диазометаном по атому N-1, а метилиодидом — по атому N-2. Иногда на образование тех или иных соединение оказывают влияние пространственные факторы: например, 4-фенил 1,2,3-триазол метилируется диметилсульфатом по атомам N-1 i N-2, а не N-3. Некоторые N-триметилсилилазолы можно про алкилировать селективно; например, 1-триметилсилил-1,2,4-триазо; (24), который легко получить из 1,2,4-триазола, алкилируется по положению 2. Триметилсилильная группа в ходе реакции отщепляется.
Существует много примеров кватернизации N-замещенных азолов при взаимодействии с алкилирующими агентами. Можно получить даже дичетвертичные соли: например, 1 -метил-1,2,4-триазол успешно метилируется по атомам N-4 и N-2 в избытке тетрафторобората триметилоксония, а соль 25 может быть выделена в виде твердого кристаллического вещества.
Некоторые азолы вступают в реакции нуклеофильного замещения в случае, если заместители у атомов углерода представляют собой хорошие уходящие группы. 5-Бромо- или 5-хлоро-1-замещенныететразолы могут быть превращены в другие 5-замещенные соединения взаимодействием с нуклеофилами. 1,5-Дизамещенные тетразолы реагируют легче, чем их 2,5-изомеры, вероятно, из-за того, что образующиеся интермедиаты более стабильны.
Характеристики
Тип файла документ
Документы такого типа открываются такими программами, как Microsoft Office Word на компьютерах Windows, Apple Pages на компьютерах Mac, Open Office - бесплатная альтернатива на различных платформах, в том числе Linux. Наиболее простым и современным решением будут Google документы, так как открываются онлайн без скачивания прямо в браузере на любой платформе. Существуют российские качественные аналоги, например от Яндекса.
Будьте внимательны на мобильных устройствах, так как там используются упрощённый функционал даже в официальном приложении от Microsoft, поэтому для просмотра скачивайте PDF-версию. А если нужно редактировать файл, то используйте оригинальный файл.
Файлы такого типа обычно разбиты на страницы, а текст может быть форматированным (жирный, курсив, выбор шрифта, таблицы и т.п.), а также в него можно добавлять изображения. Формат идеально подходит для рефератов, докладов и РПЗ курсовых проектов, которые необходимо распечатать. Кстати перед печатью также сохраняйте файл в PDF, так как принтер может начудить со шрифтами.















