166187 (624953), страница 2
Текст из файла (страница 2)
Рис. 1. Реакции нуклеофильного замещения 5-6ромо-1-метилтетразола и 5-бромо-2-метилтетразола.
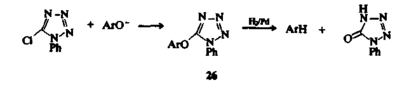
Катализируемая основаниями реакция 5-хлоро-1-фенилтетразола с фенолами приводит к образованию эфиров 26, которые могут затем подвергаться восстановительному расщеплению при взаимодействии с водородом над палладиевым катализатором, что служит хорошим методом дезоксигенировния фенолов.
Замещение галогенов в этих азолах значительно облегчается при наличии дополнительных электроноакцепторных заместителей при атомах углерода или кватернизацией атома азота; например, в катионе триазолия 27 хлор легко замещается азид-ионами.
-
Реакции, приводящие к раскрытию цикла
Азолы обычно с трудом подвергаются раскрытию цикла. Эти соединения устойчивы к окислительному расщеплению и не раскрываются под действием большинства восстановителей. При взаимодействии 1,5-дизамещенных тетразолов с алюмогидридом лития образуются амины 28.
Некоторые 1,2,3-триазолы и тетразолы достаточно легко раскрываются при нагревании. Кольчато-цепиая таутомерия довольно обычна для 1,5-дизамещенных 1Н-тетразолов (рис. 2, а), а также наблюдается, но реже, для 1-замещенных 1,2,3-триазолов (рис. 2, б). Раскрытие цикла облегчается наличием электроноак-цепторных групп в положении 1; например, 1-циано-1,2,3-триазол, в противоположность большинству 1,2,3-триазолов, существует в растворе в равновесии с его диазоиминной таутомерной формой.
Рис. 2. Кольчато-цепная таутомерия тетразолов и 1,2,3-триазолов.
Цепные таутомеры обратимо циклизуются, но в зависимости от природы заместителей и условий реакции они могут перегруппировываться и подвергаться другим реакциям, в ходе которых происходит отщепление азота. При нагревании тетразолов и 1,2,3-триазолов, имеющих аминогруппу в положении 5, происходит перегруппировка Димрота. Эта реакция проиллюстрирована для 5-амино-1 -фенил-1,2,3-триазолов на рис. 3. Положение равновесия таких перегруппировок зависит от природы заместителей и от рН растворителя.
Рис. 3. Перегруппировка Димрота.
При нагревании и облучении тетразолов и 1,2,3-триазолов происходит отщепление азота. Фотолизом или термолизом 2,5-дизамещенных тетразолов получают нитрилимиды, которые затем могут вступать в реакции 1,3-диполярного циклоприсоединения или 1,5-электроциклизации в зависимости от природы заместителей. При фотолизе 1,5-дизамещенных тетразолов получают соединения, образование которых, по-видимому, идет через имидоилиитреновый интермедиат: например, 1,5-дифенилтетразол превращается в 2-фенилбензимида-зол (29). Выше был приведен другой пример синтеза имидазола.
Аналогичным образом при термолизе или фотолизе 1-замещенных 1,2,3-триазолов образуются соединения, которые могут быть получены из имидоилкарбеновых интермедиатов. Направление процесса в значительной степени зависит от природы заместителей и условий реакции, но существует надежное подтверждение того, что некоторые продукты пирролиза 1,2,3-триазолов в газовой фазе образуются через короткоживущие 1 Н-азириновые интермедиаты 30.
Возможно наиболее замечательным применением реакций, идущих с отщеплением азота, можно назвать использование хлорида тетразол-5-диазония (31) в качестве источников атома углерода. Соль 31 осторожно разлагают нагреванием в присутствии реагентов, которые могут захватывать образующийся моноатомный углерод.
При нагревании и облучении 1Н-пиразолов и 1,2,4-триазолов, в которых отсутствует группа -N=N—, редко происходит раскрытие цикла. Некоторые пиразолы подвергаются фотоперегруппировке в имидазолы (аналогично фотохимическим перегруппировкам фуранов и тиофенов). Например, 1,3-диметилпиразол (32) при облучении превращается в 1,2-диметилимидазол (33)
Попытки провести реакции замещения через С-металлированные интермедиаты не всегда приводят к успеху, так как эти промежуточные соединения легко раскрываются: например, и 5-литий-1-метилтетразол (34) и 5-литий-1,4-дифенил-1,2,3-тетразол термически неустойчивы и разлагаются с выделением азота при температуре выше - 50 °С.
Термическое или фотохимическое выделение азота из дигидро-производных таких циклических систем (например, 4,5-дигидро-ЗН-пиразолов и 4,5-дигидро-1,2,3-триазолов) происходит значительно легче, чем для полностью ароматических гетероциклов. Элиминирование азота из 4,5-дигидро-1,2,3-триазола обычно приводит к образованию азиридинов: эта реакция описана как препаративный метод синтеза азиридинов. Аналогично, разложением дигидропиразолов успешно получают циклопропаны. Подобная фрагментация может привести к образованию циклопропанов с высокими выходами, хотя стереоселективность реакции сильно зависит от природы заместителей и способа разложения. Два препаративных метода приведены на рис. 4.
Рис. 4. Образование и разложение 4,5-дигидро-ЗН-пиразолов.
Список литературы
-
Общая органическая химия. Карбоновые кислоты и их производные. Том 4. М., Химия, 1983, 729с.
-
Шабаров Ю.С. Органическая химия: В 2-х кн. - М.:Химия, 1994.- 848 с.
-
Петров А.А., Бальян Х.В., Трощенко А.Т. Органическая химия. – М.: Высш. шк., 1973. - 623 с.
-
Препаративная органическая химия. Изд. 2-е, М., Госхимиздат, 1964.
-
Богословский Б.Н., Казакова З.С. Скелетные катализаторы, их свойства и применение в органической химии. М., Госхимиздат, 1957.
-
Цветков Л.А. Органическая химия: Учебник для 10-11 классов общеобразовательных учебных заведений. - М.: Гуманит. изд. центр ВЛАДОС, 2001;
-
Несмеянов А. Н., Несмеянов Н. А., Начала органической химии, кн. 1-2, М.,1969-70.;
-
Глинка Н. Л. Общая химия: Учебное пособие для вузов. – 23-е изд., испр./ Под ред. В. А. Рабиновича. – Л.: Химия, 1983;
-
Голодников Г.В. Практические работы по органическому синтезу. Л., Изд-во ЛГУ, 1966, 697с.
-
Дорофеенко Г.Н., Жданов Ю.А., Дуленко В.И. и др. Хлорная кислота и ее соединения ворганическом синтезе. Ростов, изд-во Ростовского ун-та, 1965.
-
Терней А. Современная органическая химия: В 2 т. - М.: Мир, 1981. - Т.1 - 670 с; Т.2 - 615 с.
-
Лабораторные работы по органической химии. Изд. 3-е. М., Высшая школа, 1974.
-
Храмкина М.Н. Практикум по органическому синтезу. Изд. 4-ое, Л., Химия. 1977.
-
В. Ф. Травень. Органическая химия. Том 1. – М.: Академкнига, 2004, - 708 с.
-
Голодников Г.В., Низовкина Т.В., Рыскальчук А.Т. Практикум по органическому синтезу. Л., Изд-во ЛГУ, 1967.















