165918 (624901), страница 3
Текст из файла (страница 3)
Реакция Виттига — важнейший общий метод региоспецифичного синтеза сложных эфиров α,β -ненасыщенных и полиеновых дикарбоновых кислот. В типичном синтезе {схема (31)} [36], как и во многих подобных случаях, продукт реакции является смесью цис- и транс-изомеров, которые в данном конкретном случае можно разделить дробной кристаллизацией. Особенно широко реакция Виттига применяется в синтезе каротиноидов; в некоторых случаях в этих синтезах используются производные ненасыщенных дикарбоновых кислот. В качестве типичного примера приведем синтез природного биксина {схема (32)}: ключевой интермедиат 5-метоксикарбонил-3-метилпента-цис-2-гранс-4-диеналь (14), как показано на схеме, конденсируется с илидом (15) в стандартных условиях реакции Виттига.
2.3. Реакции Михаэля
Реакция Михаэля используется для получения различных ди- и поликарбоновых кислот. В этом разделе мы рассмотрим несколько типичных примеров этой реакции. Малонат-анион присоединяется к сложным эфирам и нитрилам α,β-ненасыщенных кислот с образованием продуктов, дающих при гидролизе производные глутаровой кислоты {схемы (33)—(36)}.
Глутаровые кислоты можно также получить присоединением дианионов карбоновых кислот к α,β-ненасыщенным сложным эфирам {схема (37)}. Дианион изомасляной кислоты получают в тетрагидрофуране при 0°С с использованием двух эквивалентов основания; вслед за присоединением по Михаэлю следует триметилсилилирование продукта.
Полный синтез фунгицида (±)-авенациолида включал в качестве ключевой стадии получение замещенного бислактона (16) в результате сходного с реакцией Михаэля процесса {схема (38)}. На последних стадиях этого синтеза нужная двойная связь вводилась пиролизом сульфоксида в присутствии янтарного ангидрида.
2.4. Окислительные методы
Многие важные пути, ведущие к ди- и поликарбоновым кислотам, включают окисление; некоторые методы нашли практическое применение. Для удобства мы рассмотрим отдельно окисление ароматических и алифатических субстратов.
(1) Получение ароматических кислот
Для получения ароматических ди- и поликарбоновых кислот широко используют окисление боковых цепей различных ароматических соединений. Алкилбензолы, такие как изомерные ксилолы, легко окисляются в соответствующие карбоновые кислоты в жестких условиях. Примеры на схемах (39) —(45) иллюстрируют набор окислительных агентов, которые можно использовать для этой цели.
Окисление фенантрахшюна {схема (46)} служит удобным методом синтеза как бифенил-2,2'-дикарбоновой кислоты так и ее диметилового эфира. Окисление различных ацилгалогенаценафтенов приводит к соответствующим нафталиновым аи гидридам, хотя существуют заметные различия в легкости образования ангидридов {схема (47)}.
(2) Получение алифатических кислот
В синтезе дикарбоновых кислот этим путем можно выделить два окислительных процесса: первый включает окислительную димеризацию, второй — расщепление углерод-углеродной связи, часто в циклических соединениях {схема (47)}. Сложные эфиры янтарной кислоты можно получать окислительной димеризацией енолят-анионов в присутствии солей меди (II). Метод, использующий литиевые еноляты, {схема (48)} проще и, по-видимому, носит более общий характер, чем альтернативная методика с применением цинкорганических соединений {схема (49)}. Обе реакции напоминают давно известные методы димеризации стабильных анионов, например анионов диэтилмалоната с использованием йода в качестве окислителя {схема (50)}.
Ацетиленовые кислоты и их эфиры с высоким выходом подвергаются окислительной димеризации в водном этаноле под действием кислорода или воздуха в присутствии хлорида аммония или меди. Эта реакция использована в синтезе кортикроцина контроль за реакцией, которая шла в этом случае с почти количественным выходом при комнатной температуре, осуществлялся по поглощению кислорода {схема (51)}.
Олефины можно окислять до дикарбоновых кислот {схема (52)} различными способами, и если бы не возникали проблемы, связанные с растворимостью в органических растворителях, наиболее удобным для этой цели был бы перманганат калия. Эти затруднения до некоторой степени преодолимы [49], если использовать в качестве растворителя уксусный ангидрид. Однако в этом случае выходы снижаются, и как показано на примере окисления по схеме (53), могут протекать побочные реакции.
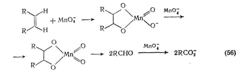
Использование краун-эфиров позволяет снять большинство проблем [50], ибо эти соединения способны образовывать комплексы с солями металлов, что приводит к повышению растворимости в органической среде и повышению реакционной способности анионов. Например, дпцн;слогексил-18-краун-6 образует с перманганатом калия растворимый в бензоле комплекс (17), что дает прекрасный окислитель для органических субстратов. В частности, циклогексен окисляется им с количественным выходом до адипиновой кислоты {схема (54)}. По-видимому, нет оснований предполагать, что механизм этого окисления отличается до такового, действующего в водных средах {схемы (55), (56)}.
Пля окисления алкенов водным перманганатом калия можно v^nexOM спользовать катализ фазового переноса [51]. Реакции ^Готпатов растворенных в органической фазе, с неорганическими прягентами в водной фазе, которые ингибируются в силу раздела ГД часто катализируются добавлением следовых количеств рас-твпоимых в органической фазе тетраалкиламмониевых или тетра-аакиафосфониевых солей. Предполагают, что катализ осуществляется за счет способности катионов, растворимых в органическом растворителе, многократно переносить анионы в органическую фазу в форме, подходящей для реакции. Этот эффект носит название катализа фазового переноса.
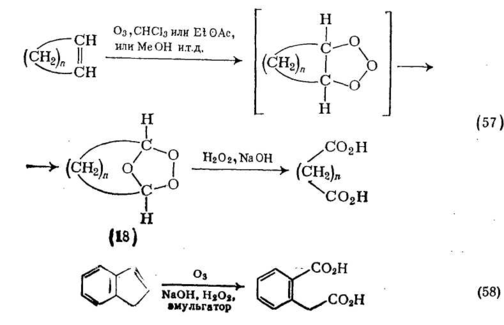
Озонолнз олефинов, как правило, проводят в органических растворителях, часто при низких температурах. Образующийся озонид (18), который обычно слишком нестабилен для безопасного выделения, можно окислять до карбоновых кислот. При окислении циклического олефина продуктом реакции служит дикарбоновая кислота {схема (57)}. Этот двухстадийный процесс можно упростить [52], так как было показано, что в благоприятных случаях эмульсии циклических олефинов и щелочного пероксида водорода мягко реагируют с озоном и с хорошими выходами образуют а,со-дикарбоновые кислоты {схема (58)}.
До дикарбоновых кислот можно окислить и другие карбоцикли-ческие соединения. В подходящем растворителе циклические ке-тоны [53] окисляются молекулярным кислородом до дикарбоновых кислот {схема (59)}. Показано, что многие растворители автоокис-ляются в условиях реакции, однако применение гексаметапола (ГМФТА) сводит эти побочные реакции до минимума и позволяет получать удовлетворительные выходы продуктов. Как правило, окисляется наиболее кислая связь С—Н кетона с образованием нестабильного промежуточного перокси-аниона. Полное окисление, аналогичное схеме (59), достигнуто действием азотной кислоты [54J.
Гидролитические методы
Для получения дикарбоновых кислот можно использовать большое число методов, основанных на гидролизе. Часть этих методов мы рассмотрим в данном разделе. Методы, ведущие к сложным эфирам, которые далее можно гидролизовать до ди- или поликар-боновых кислот, рассмотрены в другом месте.
Хотя обычно амиды получают из карбоновых кислот и нитрилов, тиогомофталимиды легко получают из хлорангидридов арил-уксусных кислот [55]. Последующий гидролиз тиогомофталимидов служит удобным методом синтеза гомофталевых кислот {схема (60)}.
Важным методом синтеза карбоновых кислот является гидролиз нитрилов. В обзоре [56], посвященном малононитрилу, обсуждается его алкоголиз до диэтилмалоната. Синтез янтарной кислоты гидролизом нитрила показан на примере получения [57]; фенилянтарной кислоты {схема (61)}. В этом синтезе использованы конденсация Кневенагеля и последующее присоединение к продукту реакции цианида калия по Михаэлю.
Удобный метод получения глутаровой кислоты [58] основан на гидролизе нитрилов: у-бутиролактон реагирует с цианидом калия при 190 °С, и калиевая соль получающейся цианокислоты гидро-лизуется до глутаровой кислоты. В тщательно контролируемых условиях гидролиза можно выделить моноамид глутаровой кислоты, который затем циклизуется в глутарамид {схема (62)}. Гидролиз динитрилов, получаемых из дигалогенидов, приводит к дикарбоновым кислотам. Дикарбоновая кислота (19), необходимая в качестве интермедиата для синтеза производного пропел-лана [59], была получена именно таким путем {схема (63)}. Подобные реакции замещения цианид-ионом не всегда протекают столь гладко, и как показано на схеме (64), в процессе реакции-замещения промежуточный динитрил (20) циклизуется в енамино-нитрил. Тем не менее гидролиз и размыкание цикла все же приводят к искомой кислоте [59-].
Заслуживает внимания другая методика, включающая гидр0. лиз так как она является общим методом получения перфторал-кандикарбоновых кислот из а,со-бис(метилтио)полифторалканов [60]. Теломеризация тетрафторэтилена в присутствии диметилди-сульфида и грег-бутилпероксида в качестве катализатора приводит к продуктам типа (21) {схема (65)}. Как видно из схемы, эти продукты (п = 2—5) гидролизуются серной кислотой в метаноле до метиловых эфиров фторированных дикарбоновых кислот.
Список литературы
-
Обзор рынка адипиновой кислоты в СНГ. М., ООО «ИНФОМАЙН РЕСЕЧ», 2006, с. 62.
-
Синтезы органических препаратов. Сборник 1. М., ИЛ, 1949.
-
Общая органическая химия. Карбоновые кислоты и их производные. Том 4. М., Химия, 1983, 729с.
-
Богословский Б.Н., Казакова З.С. Скелетные катализаторы, их свойства и применение в органической химии. М., Госхимиздат, 1957.
-
Голодников Г.В. Практические работы по органическому синтезу. Л., Изд-во ЛГУ, 1966, 697с.
-
Губен И., Методы органической химии. Том 2. выпуск 1. М.-Л. Госхимиздат, 1941, 690с
-
Современные методы эксперимента в органической химии. М., Госхимиздат, 1960, 560с.
-
Физер Л., Физер М. Реагенты для органического синтеза. Том 2. М., Мир, 1970, 390.
-
Черонис Н., Микро- и полумикрометоды органической химии. М., ИЛ, 1960, 574.
-
Юрьев Ю.К. Практические работы по органической химии. Выпуск 1 и 2. Изд. 3-е. М., Изд-во МГУ, 1964.
-
Юрьев Ю.К., Левина Р.Я., Шабаров Ю.С., Практические работы по органической химии. Выпуск 4. М. Из-во МГУ, 1969.
-
Шабаров Ю.С. Органическая химия: В 2-х кн. - М.:Химия, 1994.- 848 с.
-
Петров А.А., Бальян Х.В., Трощенко А.Т. Органическая химия. – М.: Высш. шк., 1973. - 623 с.
-
Моррисон Р., Бойд. Органическая химия. - М.: Мир, 1974. - 1132 с.
-
Терней А. Современная органическая химия: В 2 т. - М.: Мир, 1981. - Т.1 - 670 с; Т.2 - 615 с.
-
Робертс Дж., Кассерио М. Основы органической химии: В 2 т. - 2-е изд. -М.: Мир, 1978. - Т.1 - 842 с; Т.2 - 888 с.
-
В. Ф. Травень. Органическая химия. Том 1. – М.: Академкнига, 2004, - 708 с.
-
Фрейдлин Г. Н., Алифатические дикарбоновые кислоты, М., 1978.















