165918 (624901), страница 2
Текст из файла (страница 2)
Модификацией этого метода получают мононитрилы {схема (3)}. По-видимому, не существует ограничений для использования этой реакции для синтеза дннитрилов, хотя в оригинальной работе таких примеров не представлено. Малеинимиды можно получать с высоким выходом [3] по реакции дифенилацетилена, моноксида углерода и ароматического нитросоединения с использованием гексадекакарбонилгексародия {Rh6(CO)i6} в качестзе катализатора и третичным амином (пиридин, N-метилпирролидин) в качестве растворителя {схема (4)}. Моноксид углерода, по-видимому, выступает в этих реакциях как восстанавливающий и как карбонилирующий агент; механизм реакций сложен.
Алифатические α,β- и β,γ-непредельные амиды кислот взаимодействуют [4] с моноксидом углерода в присутствии подходящего кобальтового катализатора с образованием имидов янтарной или глутаровой кислот. Лучшим катализатором здесь служит Со2(СО)8, хотя и кобальт Ренея, и ацетат кобальта(II) также катализируют эту реакцию. N-Замещенные акриламиды. с высоким выходом дают соответствующие сукцинимиды {схема (5)}. Аналогично, можно использовать и другие производные акриламида.
(2) Карбоксилирование диоксидом углерода
Превращение металлорганических соединений в соли карбоновых кислот при взаимодействии с диоксидом углерода — хорошо известная реакция [5], с помощью которой {схема (6)} можно проводить как моно-, так и дикарбоксилирование. Образование дикарбоновой кислоты зависит от направления реакции первоначально образующейся натриевой соли фенилуксусной кислоты с локальным избытком бензилнатрия, что приводит к динатриевому производному фенилуксусной кислоты.
Получению натрий- и калийорганических соединений посвящен обзор [6], где описаны и детали типичных экспериментальных методик. Эти металлорганические соединения можно получать или прямой реакцией доступных органических соединений (обычно галогенида) со щелочным металлом, или реакцией трансметаллирования, которая в основном является кислотно-основной реакцией, оба метода показаны на примере получения фенилнатрия {схемы (7) и (8)}.
Реакции металлирования, включающие литийорганические соединения рассмотрены также в обзоре [7]. Для получения дикарбоновых кислот необходимо использовать бисметаллорганические соединения или металлорганические реагенты, уже содержащие карбоксильную группу. Несмотря на возможность побочных реакций эти превращения применимы к разнообразным соединениям. Далее мы рассмотрим наиболее важные примеры этой реакции.
При обработке реактивами Гриньяра некоторые алленкарбоновые кислоты можно превратить в металлорганические соединения. Последующее взаимодействие этих соединений с диоксидом углерода {схема (9)} приводит с хорошим выходом к (1-алкилвинил) малоновым кислотам [8].
Алкилмалоновые кислоты с хорошим выходом {схема (10)} получают при реакции алюминийлитиевого производного карбоновой кислоты (2) с диоксидом углерода [9]; в свою очередь, металлорганпческое производное (2), используемое в этой реакции, получают гидроалюминированием алкинов-1. Например, гексин-1 при взаимодействии с 2 моль диизобутилалюминийгидрида приводит (с 85%-ным выходом) к металлорганическому производному (3) {схема (11)}, которое после обработки метиллитием дает (4). Это соединение реагирует с диоксидом углерода с образованием малоновой кислоты, причем, как показано на схеме (10), реакция идет через образование интермедиата (2).
Аналогично, можно проводить превращение ацетиленов в малоновые кислоты с использованием гем-борорганических соединений [10] типа (5) {схема (12)}; при использовании 2 моль бутил-лития можно достичь выхода 65—70%. Другой хороший метод [11] синтеза производных замещенной малоновой кислоты реакция α-анионов сложных эфиров с диоксидом углерода. Анионы генерируют с помощью диизопропиламидалития в тетрагидрофуране,
и дальнейшая процедура сводится к пропусканию диоксида углерода в раствор аниона. Последующая обработка приводит к практически чистому продукту {схема (13)}. Прекрасные результаты получены с такими стерически затрудненными сложными эфирами, как этил-2-метилпропионат; в этом случае побочные реакции не наблюдались. Хорошим примером этой реакции служит синтез адамантан-2,2-дикарбоновой кислоты. Метод можно также использовать в гомокубановой серии; сложный эфир (6) можно превратить в соответствующее производное малоновой кислоты {схема (14)} без деградации или перегруппировки «клеточного» каркаса.
Используя путь, показанный на схеме (15), из бутадиена можно получить набор дикарбоновых кислот. При действии натрия в строго определенных условиях бутадиен димеризуется с образованием динатрийоктадиена. Получающийся делокализованный дианион реагирует с диоксидом углерода, давая смесь трех возможных региоизомерных диеновых дикарбоновых кислот, гидрирование которых приводит к себациновой, 2-этилпробковой и 2,5-диэтиладипиновой кислотам в соотношении 3,5: 5 : 1 соответственно. Эта важная реакция, распространенная на такие ароматические соединения, как стирол и 2-метилстирол, приводит к производным адипиновой кислоты {схема (16)}, причем оба продукта можно гидрировать до соответствующих дициклогексильных производных.
Дианион циклооктатетраена реагирует с диоксидом углерода с образованием дикарбоновой кислоты, однако ранее предложенная для этого продукта структура (7) неверна. Альтернативная формула (8) согласуется с результатами по электроциклическому раскрытию кольца предшественника, имеющего транс-стереохимию, в соответствии с правилом Вудворда — Гофмана о сохранении орбитальной симметрии {схема (17)}.
Эффективным реагентом для введения карбоксильной или алкоксикарбонильной группы в различные карбанионы является метилметоксимагний карбонат (ММК) (9). Обычно кетоны превращаются в сложные эфиры а-кетокислот, однако применение избытка ММК может привести к включению двух метоксикарбонильных групп, как, например, при получении синтетически важного диэфира (10) {схема (18)}.
-
Реакции конденсации
Большинство общих подходов к синтезу ди- и поликарбоновых кислот использует реакции конденсации. Эти реакции включают сложноэфирную конденсацию Кляйзена и различные реакции производных малоновой и щавелевой кислот.
Производные дикарбоновых кислот с длинной цепью получают из доступных производных дикарбоновых кислот в результате сложноэфирной конденсации Кляйзена. Можно использовать, например, N,N-диметилсебацамат (11) {схема (19)}, так как в конденсацию вовлекаются только сложноэфирная и соседняя с ней α-метиленовая группы.
Алкилирование анионов, получаемых из эфиров малоновой кислоты или этилцианоацетата, широко используется для синтеза монокарбоновых кислот, и как видно из схемы (20), может также применяться для получения дикарбоновых кислот. При использовании в качестве алкилирующих агентов соответствующих сложных эфиров галогенокислот {схема (20)} этот метод в принципе может позволить получать различные ди- и поликарбоновые кислоты.
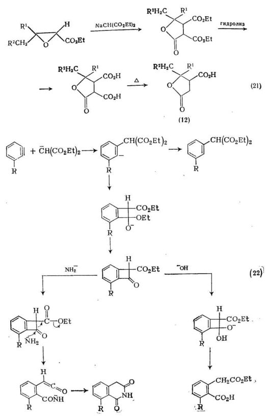
Другое применение диэтилмалоната более специфично, так как реакция диэтилнатриймалоната с соответствующим образом защищенными этилглицидатами приводит к α,β-диэтоксикарбонилбутиролактонам, которые при последующем гидролизе превращаются в параконовые кислоты (12) {схема (21)}. Обработка параконовых кислот полифосфорной кислотой дает соответствующие циклолентен-2-оны-1, включая дигидрожасмон,
Дегидробензолы реагируют с малоновыми эфирами, давая производные гомофталевой кислоты. Например, реакция диэтилмалоната с о-броманизолом в тетрагидрофуране в присутствии амида натрия с выходом 60% дает 3-метоксигомофталимид; при изменении условий реакции могут появляться другие продукты. При использовании в качестве источника дегидробензола бромбензола и в качестве растворителя гексаметанола основными продуктами реакции являются диэтилфенилмалонат (20%), моноэтилгомофталат (10%) и гомофталимид (50%). Механизм образования этих продуктов показан на схеме (22).
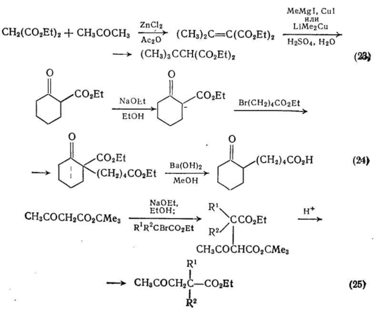
Для синтеза замещенных малоновых эфиров можно использовать прямое алкилирование диэтилнатриймалоната, однако метод не совсем удачен, так как часто приводит к побочным продуктам, получающимся за счет дегидрогалогенирования алкилгалогенидов. Реакции элиминирования можно до некоторой степени избежать при использовании сопряженного присоединения реактива Гриньяра к алкилиденмалонату, как, например, в синтезе трет-бутилмалоната присоединением метилмагнийиодида к изопропилиденмалонату {схема (23)}. Сопряженное присоединение реактивов Гриньяра к α,β-ненасыщенным сложным эфирам служит основной реакцией; ее можно значительно ускорить в присутствии 1% (мол.) хлорида меди (1). В частности, такие медьорганические реагенты, как LiMeCu и МеСuР(С4Н9-н), селективно присоединяются к β-углеродному атому α,β -ненасыщенных кетонов, обеспечивая потенциальное расширение метода по реакциям, аналогичным приведенным на схеме (23).
Для получения производных дикарбоновых кислот можно также использовать алкилирование сложных эфиров β-кетокислот {схемы (24) и (25)}. В общем случае продукты этих реакций подвергаются дальнейшим превращениям или, как это показано на схеме (24), используются для получения кетокислот.
Для получения производных сложных эфиров малоновой кислоты можно использовать диэтилоксала, проводя сложноэфирную конденсацию Кляйзена и последующее термическое декарбонилирование {схема (26)}. Это достаточно общий метод введения этоксикарбонильной группы. Применение сложных эфиров, таких, как диэтилсукцинат {схема (27)}, может приводить к получению α-оксопронзводных дикарбоновых кислот путем гидролиза промежуточного сложного эфира β-оксополикарбоновой кислоты.
Алкильные производные янтарной кислоты можно получать алкилированием дианиона, в свою очередь полученного из моноэтилсукцината; алкилирование протекает региоспецифично {схема (28)} по соседнему со сложноэфирной группой углеродному атому. Другие а-алкильные производные адипиновой и пимелиновой кислот можно получать более сложной последовательностью реакций {схема (29)}, так как в этом случае анионы легко вступают в циклизацию по Дикману.
Реакции, аналогичные схеме (28), могут использоваться для синтеза сложных эфиров ненасыщенных дикарбоновых кислот. Например, в результате реакции монолитиевого производного ди-трет-бутилглутарата с различными кетонами с прекрасными выходами получаются сложные эфиры гидроксидикарбоновых кислот (13).
Гидролиз сложных эфиров (13) с одновременной дегидратацией приводит к ненасыщенным производным глутаровой кислоты, если заместители R1 или R2 не ароматической природы {схема (30)}. Однако если один из этих заместителей ароматический, то гидролиз сопровождается не только дегидратацией, но и декарбоксилированием и приводит к ненасыщенным монокарбоновым кислотам.















