164524 (624809), страница 3
Текст из файла (страница 3)
• в первых классах — 10% от величины заработной платы;
• в других классах в зависимости от предмета и с учетом количества ставок: по русскому языку — 15%, по математике —10%, по иностранному языку — 10%, по биологии и химии — 5%.
Ставки заработной платы каждому учителю и общий фонд заработной платы педагогов по школе устанавливаются путем тарификации учителей, которая производится ежегодно на 1 сентября. По результатам тарификации директор школы составляет тарификационные списки учителей, в котором в разрезе групп классов определяются количество педагогических ставок на один класс и средняя ставка учителя в месяц. Фонд заработной платы учителя в месяц за период с января по август исчисляется путем умножения количества ставок на среднюю ставку учителя в месяц и на число классов на 1 января планируемого года (на 1 сентября текущего года). Фонд заработной платы с сентября по декабрь определяется по этой же формуле, но количество классов берется на 1 сентября планируемого года.
Фонд заработной платы административно-обслуживающего и учебно-вспомогательного персонала общеобразовательных школ определяется по утвержденным типовым штатам и должностным окладам (директор школы, заместитель директора, библиотекарь, уборщица и т. д.).
В фонд заработной платы включаются также следующие доплаты:
• за классное руководство — до 20% оклада;
• за заведование кабинетом — 20% оклада;
• за руководство школьным кружком — 80%;
• за ведение внеклассной работы — до одной ставки;
• учителю химии за вредные условия до 12% оклада;
• выплаты ежемесячной денежной компенсации для обеспечения книгоиздательской продукцией и периодическими печатными изданиями — 10% от оклада. [1]
Начисленный фонд заработной платы уменьшается на 3% этого фонда в связи с тем, что работники во время болезни получают пособие по временной нетрудоспособности за счет средств бюджета социального страхования.
3. Следующей значительной статьей являются учебные расходы, которые включают приобретение материалов для учебной работы, для работы в кабинетах, письменных, канцелярских принадлежностей, мелкого физкультурного инвентаря, проведение экскурсий в учебных целях и др. Выделяются ассигнования на создание, обновление и использование библиотечных фондов учебников.
Планирование учебных расходов производится по установленным нормам на один класс по группам классов.
4. Важной статьей расходов являются затраты на бесплатное питание детей. Предусматривается, что в группах продленного дня 10% детей освобождаются от оплаты полностью, а 15% — наполовину. Сумма расходов определяется исходя из норм расходов, количества детей и количества дней, в течение которых дети пользуются бесплатным питанием.
5. В сметах школ предусматриваются также расходы на приобретение оборудования, инвентаря и на капитальный ремонт зданий. Потребность школы в инвентаре и оборудовании на плановый год определяется исходя из обеспеченности школы на начало года и необходимости его обновления в плановом периоде с учетом установленных норм на одну школу или на одно ученическое место.
Затраты на капитальный ремонт школ при сводном планировании определяются исходя из общей внешней кубатуры школьных зданий и расчетных норм расходов на 1 м2. За счет средств, выделяемых на эти цели, могут проводиться реконструкция и расширение школ, пристройка классных комнат.
Строительство новых школ осуществляется за счет средств, выделяемых в бюджетах соответствующих административно-территориальных единиц.
6. В расходы на общеобразовательные школы включаются расходы на содержание групп продленного дня, которые создаются с целью улучшения воспитания детей и оказания помощи семьям в городах, поселках при обычных школах для учащихся I— VIII классов. Число учащихся в группах продленного дня установлено 30 — 40 человек. Для ведения воспитательной работы с детьми определен дополнительный штат воспитателей из расчета 1,5 единицы на группу учащихся I—IV классов и 1 единицы на группу учащихся V—VIII классов. Питание в группах продленного дня осуществляется за счет средств родителей, кроме льготного контингента. [1]
7. К расходам на текущее содержание общеобразовательных школ относятся расходы на хозяйственное обслуживание и затраты на оплату командировок и служебных разъездов.
Расходы на хозяйственное обслуживание при составлении индивидуальных смет планируются по действующим материальным нормам. В эту группу включаются расходы на отопление, освещение, коммунальные услуги и прочие хозяйственные нужды, а по школам, расположенным в сельской местности, — также ассигнования на бесплатное предоставление квартир работникам с отоплением и освещением. При сводном планировании хозяйственные расходы исчисляются исходя из среднегодового количества классов.
При планировании расходов на общеобразовательные школы предусматривается создание фонда всеобуча для оказания материальной помощи учащимся в приобретении одежды, учебников, оплаты питания. Фонд всеобуча создается за счет следующих источников:
1) средств бюджета в пределах 1% суммы ассигнований на текущее содержание учащихся I—IX классов;
2) поступлений от предприятий и организаций;
3) средств школы.
Средства этого фонда распределяются по школам в зависимости от числа учащихся, которым нужна помощь, и расходуются по специальным сметам.
На основе расчетов по статьям расходов составляется смета расходов общеобразовательной школы, а на основе этих смет составляется сводная смета расходов на содержание общеобразовательных школ к проекту местного бюджета, бюджета субъекта федерации.
2.3 Финансирование расходов на школы-интернаты и дошкольные учреждения-интернаты
В школы-интернаты принимаются дети, не имеющие необходимых условий для воспитания в семье или оставшиеся без родителей.
Финансирование расходов на школы-интернаты имеет следующие особенности.
1. Основными показателями для расчетов расходов на школы-интернаты служат число воспитанников, количество классов и педагогических ставок.
2. Фонд заработной платы учителей школ-интернатов планируется так же, как и в общеобразовательных школах, но дополнительно предусматривается штат воспитателей на каждую группу классов.
3. Фонд заработной платы административно-хозяйственного персонала школ-интернатов исчисляется по типовым штатам. Но по сравнению с общеобразовательными школами здесь предусмотрены дополнительно должности медицинских работников, поваров, ночных нянь и т. д.
4. Расходы на содержание школ-интернатов обычно исчисляются на одного учащегося.
5. Среднегодовое количество учащихся определяется по тем же формулам, которые применяются при расчете числа учащихся общеобразовательных школ.
6. Канцелярские и хозяйственные расходы, расходы на приобретение оборудования и инвентаря, на капитальный ремонт исчисляются так же, как по общеобразовательным школам.
7. Учащиеся школ-интернатов обеспечиваются мягким инвентарем и обмундированием.
8. Расходы на эти цели исчисляются по нормам затрат на одного учащегося, дифференцируемым в зависимости от длительности пребывания в этих учебных заведениях. Расходы на питание рассчитываются исходя из норм на одного воспитанника в день, числа воспитанников в интернате и времени их пребывания в школе-интернате.
9. Учебные и прочие расходы определяются по нормам затрат на одного воспитанника в год.
10. Все затраты на содержание детей в школах-интернатах финансируются из бюджета. Родители в зависимости от их заработков вносят плату, поступающую в бюджет, из которого школа-интернат финансируется. Многие родители полностью или частично освобождаются от платы за содержание их детей в школе-интернате.
11. При планировании прочих затрат на школы-интернаты в их состав включаются оплата проезда и расходы на первоначальные нужны воспитанников, а также на культурно-просветительную работу среди них.
12. При сводном планировании в отличие от общеобразовательных школ (где расходы исчисляются на один класс) затраты на школы-интернаты определяются по среднему расходу на одного воспитанника.
Детские дошкольные учреждения организуются органами образования, предприятиями, хозяйственными организациями и учреждениями. Независимо от того, в чьем ведении они находятся, методическое руководство ими осуществляют органы образования. Наиболее распространены детские сады с 9- и 11-часовым пребыванием детей, но есть детские сады с 12- и 24-часовым пребыванием в них детей. Наполняемость групп в детских садах — 25 человек, в детских садах санаторного типа — 20 человек. [1]
Финансирование детских дошкольных учреждений имеет свои особенности.
1. Расходы на содержание детских садов зависят от среднегодового числа детей, количества групп и часов пребывания одного ребенка в детском учреждении, основной показатель при планировании — число детей в детских садах.
2. Для расчета расходов на детские сады надо определить численность детей на начало года и их среднегодовой контингент. Этот контингент по отдельным учреждениям рассчитывается исходя из числа детей (групп) на начало года и его изменения в плановом периоде.
3. Расходы на заработную плату по отдельным учреждениям в смете планируются исходя из утвержденных штатов и ставок заработной платы. Число штатных единиц определяется исходя из количества групп и длительности пребывания детей в детском саду.
4. Ставки заработной платы педагогам и воспитателям устанавливаются в соответствии с разрядом по единой тарифной сетке.
5. Расходы на питание планируются исходя из установленных денежных норм на одного ребенка в день с учетом различного режима пребывания в них детей.
6. Канцелярские и хозяйственные расходы по отдельным учреждениям определяются в том же порядке, как и по общеобразовательным школам: в зависимости от кубатуры зданий и условий функционирования.
7. В детских садах предусматриваются также учебные и прочие расходы: на приобретение игрушек, пособий и материалов для занятий с детьми, на проведение детских праздников и т. д. Эти расходы планируются по нормам на ребенка в год.
8. Затраты на приобретение оборудования, мягкого инвентаря и обмундирования определяются по установленным нормам с учетом обеспеченности им на начало года.
9. Плата родителей составляет небольшую долю (порядка 20%) общих расходов на дошкольные учреждения.
10. При сводном планировании бюджетные ассигнования определяются по средней сумме расходов на одного ребенка с выделением затрат на заработную плату, питание, оборудование новых мест и дооборудование ранее действующих мест мягким инвентарем и прочих затрат на текущее содержание. Нормы расходов на дооборудование мягким инвентарем являются едиными, а на хозяйственные и прочие расходы планируются на уровне предшествующего года. Плата родителей планируется также в среднем на одного ребенка исходя из уровня, сложившегося в текущем периоде.
Порядок планирования затрат на детские ясли аналогичен порядку расчета затрат на детские сады.
2.4 Финансирование расходов на подготовку кадров
Научно-технический прогресс, задачи по повышению эффективности производства и вхождению страны в рыночные отношения требуют постоянного роста знаний и общей культуры кадров.
Подготовку кадров осуществляют профессионально-технические лицеи, средние специальные учебные заведения и высшие учебные заведения.
Все более важное место в настоящее время занимает система переподготовки кадров, исходя из требований рыночной экономики.
Планирование и финансирование расходов на высшие учебные заведения. В стране сформировалась система государственного и негосударственного высшего образования. Бюджетные ассигнования направляются в основном государственным учебным заведениям. Они готовят кадры по всем специальностям, необходимым для развития экономики и непроизводственной сферы страны.
Обучение осуществляется по следующим формам: дневное, вечернее, заочное.
Расходы на вузы определяются отдельно по каждому из них с учетом специфических условий их функционирования исходя из среднегодового числа студентов, норм их материального обеспечения, ставок заработной платы преподавателей и других показателей.
Основным финансовым документом вуза служит смета, определяющая общий объем, целевое направление и поквартальное распределение бюджетных ассигнований.
Министерства и ведомства утверждают подведомственным высшим учебным заведениям сметы с выделением ассигнований по фонду заработной платы с начислениями, стипендиальному фонду, на капитальный ремонт, капитальные вложения, приобретение оборудования и инвентаря.
Расходы по остальным затратам утверждаются в целом по строке «Прочие расходы», а по статьям их распределяет ректор вуза в пределах общей суммы расходов.
В смете приводятся общие сведения об учебном вузе, учебно-материальной базе. При сводном планировании расходы исчисляются на основе расчетных норм на одного студента. Для этого определяют контингент студентов на планируемый год с учетом их выпуска и приема. Расчет проводится отдельно по дневному, вечернему и заочному обучению.
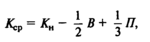
Среднегодовое число студентов определяется по формуле:
где Кср— среднегодовой контингент студентов;
















