163112 (624163)
Текст из файла
ВСЕРОССИЙСКИЙ ЗАОЧНЫЙ ФИНАНСОВО – ЭКОНОМИЧЕСКИЙ ИНСТИТУТ
Финансово-кредитный факультет
Кафедра "Финансового менеджмента"
КУРСОВАЯ РАБОТА
По дисциплине: "Теория инвестиций"
На тему: "Характеристика и применение моделей оценки финансовых активов (САРМ, АРТ)"
Руководитель Грибов Е.В.
Выполнила: Шкалябина И.Ф.
№ личного дела 06ДФД50311
№ группы ДО 52 Ю
Владимир
2009г.
Содержание
Введение
1. Модель оценки стоимости активов (CAPM)
1.1 Линия рынка капитала
1.2 Рыночный и нерыночный риски. Эффект диверсификации
1.3 Бета
1.4 Линия рынка актива SML
1.5 Вопросы, возникающие при построении SML
1.6 CML и SML
1.7 Альфа
2. Модификации CAPM
2.1 САРМ для случая, когда ставки по займам и депозитам не равны
2.2 САРМ с нулевой бетой
2.3 Версия САРМ для облигаций
3. Теоретические и практические аспекты использования моделиарбитражного ценообразования (АРТ)
3.1 Общий вид модели арбитражного ценообразования
3.2 Выбор факторов, влияющих на доходность
3.3 Расчет элементов ставки дисконтирования
Заключение
Практическая часть
Список литературы
Введение
Инвесторы сталкиваются с проблемой оценки стоимости активов. Она зависит главным образом от их риска и доходности.
На рынке выдерживается закономерность: чем выше потенциальный риск, тем выше должна быть и ожидаемая доходность. У каждого инвестора формируются свои прогнозы относительно отмеченных параметров. В то же время рынок постоянно движется в направлении определенной равновесной оценки риска и доходности активов. Возможные расхождения в оценках, в первую очередь, связаны с ассиметричностью информации, которой обладают разные инвесторы.
В условиях хорошо развитого рынка новая информация находит быстрое отражение в курсовой стоимости активов. Поэтому для таких условий можно разработать модель, которая бы удовлетворительно описывала взаимосвязь между риском и ожидаемой доходностью активов. Такая модель разработана в середине 60-х гг. У. Шарпом и Дж. Линтерном и получила название модели оценки стоимости активов (capital asset pricing model - САРМ ).
Как известно, стоимость актива определяется путем дисконтирования будущих доходов, которые он принесет, под процентную ставку, соответствующую его риску. Модель оценки стоимости активов не дает непосредственного ответа на вопрос, какой должна быть цена актива. Однако она получила такое название, потому что позволяет определить ставку дисконтирования, используемую для расчета стоимости финансового инструмента.
Расчет ставки дисконта – один из основных этапов доходного подхода к оценке компании, т.к. ее величина значительно влияет на конечный результат, получаемый в рамках доходного подхода (и конечной стоимости компании в целом). Следовательно, важность ее наиболее правомерного расчета очевидна.
Тем не менее, существует ряд проблем информационного и методологического характера, с которыми приходится сталкиваться при расчетах ставки дисконтирования. Такое положение вещей во многом связано с тем, что наиболее часто используемые методы построения ставки дисконтирования разработаны зарубежными специалистами для использования в развитых странах с эффективно функционирующими финансовыми рынками. Одним из таких методов является метод, основанный на использовании теории арбитражного ценообразования. Метод арбитражного ценообразования нельзя назвать распространенным методом расчета ставки дисконтирования, но, тем не менее, он имеет ряд преимуществ.
Актуальность темы данной курсовой работы связана с рациональным применением моделей оценки финансовых активов (САРМ и АРТ) российского финансового рынка, объективно требующего нахождения оригинальных подходов к вложению и оценке в ценные бумаги (финансовые активы).
Объектом исследования будут являться модели оценки финансовых активов САРМ и АРТ.
Предмет исследования - применение моделей оценки финансовых активов САРМ и АРТ.
Целью исследования является характеристика и применение моделей оценки финансовых активов САРМ и АРТ в условиях Российского инвестиционного рынка.
Цель позволила сформулировать задачи, которые решались в работе:
1. Понятие "инвестиционный портфель": принципы и этапы его формирования;
2. Риск и доходность портфеля;
3. Оптимизация инвестиционного портфеля (кривые безразличия инвестора и эффективное множество);
4. Модель оценки стоимости финансовых активов (САРМ);
5. Модель арбитражного ценообразования (АРТ);
6. Практическое применение моделей финансовых активов.
Структура работы состоит: введение, 3 главы, заключения, списка использованной литературы, практической части.
1. Модель оценки стоимости активов (CAPM)
1.1 Линия рынка капитала
Каждый инвестор ставит перед собой две задачи – максимизировать доход и минимизировать риск. В связи с противоречивостью этих задач процесс обоснования инвестиционных решений носит оптимизационный характер. Средством такой оптимизации выступают разнообразные модели оценки стоимости финансовых инструментов инвестирования, в основе которых лежит выявление оптимальной шкалы соотношений уровня доходности и риска таких финансовых инструментов, удовлетворяющих любого инвестора.
Модель оценки стоимости финансовых активов была предложена рядом американских ученых - У. Шарпом, Дж.Линтерном, Дж. Трейноном и Я. Мосстным. Эта модель основана на следующих предположениях:
1. Инвесторы производят оценку финансовых активов исходя из двух факторов – ожидаемого уровня их доходности и уровня риска, определяемого колеблемостью доходности.
2. Инвесторы ведут себя рационально: при выборе из двух финансовых активов они при прочих равных условиях изберут тот, по которому ожидаемый уровень доходности выше; соответственно, при выборе из двух финансовых активов они изберут тот, по которому уровень риска ниже.
-
Существует единая безрисковая ставка процента, по которой инвестор может как инвестировать свой капитал, так и формировать свои инвестиционные ресурсы. Эта ставка одинакова для всех инвесторов.
-
Налоги и трансакционные издержки, связанные с финансовым инвестированием, несущественны и в процессе расчетов во внимание не принимаются.
-
Период вложения капитала в финансовые инструменты инвестирования одинаков для всех инвесторов.
-
Фондовый рынок характеризуется как эффективный – необходимая информация свободно и быстро предоставляется всем инвесторам.
-
Инвесторы одинаково оценивают ожидаемый уровень доходности и риска каждой из ценных бумаг.
Модель оценки стоимости финансовых активов исходит из того, что каждая ценная бумага является частью общей совокупности ценных бумаг, обращающихся на фондовом рынке, т.е. частью так называемого "рыночного портфеля". Рыночный портфель включает в себя все ценные бумаги фондового рынка, в котором доля каждой конкретной ценной бумаги равна отношению ее рыночной стоимости к суммарной рыночной стоимости всех ценных бумаг, обращающихся на рынке.
При равновесном сотсоянии спроса и предложения на фондовом рынке стоимость рыночного портфеля отражает среднее соотношение уровня его доходности и риска (определяемого среднеквадратическим отклонением этой доходности).
В САРМ зависимость между риском и ожидаемой доходностью графически можно описать с помощью линии рынка капитала (Capital Market Line - CML), которая представлена на рис. 1.
Рис. 1. Линия рынка капитала
М - это рыночный портфель, rf - актив без риска; rf L - линия рынка капитала; m - риск рыночного портфеля; Е(rm) - ожидаемая доходность рыночного портфеля. Все возможные оптимальные (эффективные) портфели, т. е. портфели, которые включают в себя рыночный портфель М, расположены на линии rfL.
Она проходит через две точки - rf и М. Таким образом, линия рынка капитала является касательной к эффективной границе. Все другие портфели, в которые не входит рыночный портфель, располагаются ниже линии rf L. CML поднимается вверх слева направо и говорит о том, что если портфель имеет более высокий риск, то он должен предлагать инвестору и более высокую ожидаемую доходность, и если вкладчик желает получить более высокую ожидаемую доходность, он должен согласиться на более высокий риск.
Наклон СML следует рассматривать как вознаграждение (в единицах ожидаемой доходности) за каждую дополнительную единицу риска, которую берет на себя вкладчик. Когда вкладчик приобретает актив без риска, он обеспечивает себе доходность на уровне ставки без риска rf. Если он стремится получить более высокую ожидаемую доходность, то должен согласиться и на некоторый риск. Ставка без риска является вознаграждением за время, т. е. деньги во времени имеют ценность.
Дополнительная доходность, получаемая инвестором сверх ставки без риска, есть вознаграждение за риск. Таким образом, вознаграждение лица, инвестировавшего свои средства в рыночный портфель, складывается из ставки rf, которая является вознаграждением за время, и премии за риск в размере Е(rf) - rf. Другими словами, на финансовом рынке его участники уторговывают между собой цену времени и цену риска. CML представляет собой прямую линию. Уравнение прямой можно представить следующим образом:
y = a + bx
где: а - значение ординаты в точке пересечения ее линией СML, оно соответствует ставке без риска rf,
b - угол наклона СML.
Угол наклона определяется как отношение изменения значения функции к изменению аргумента. В нашем случае (см. рис. 1) угол наклона равен:
Поскольку ожидаемая доходность (у) есть функция риска (х), то в уже принятых терминах доходности и риска уравнение CML примет вид:
где: σ- риск i-го портфеля, для которого определяется уровень ожидаемой доходности,
Е(ri) - ожидаемая доходность i-го портфеля.
Данное уравнение можно записать следующим образом:
Таким образом, ожидаемая доходность портфеля равна ставке без риска плюс произведение отношения риска портфеля к риску рыночного портфеля и разности между ожидаемой доходностью рыночного портфеля и ставкой без риска.
Пример. rf = 10%, Е(rm) = 25%, si = 30%, sm = 15%. Определить ожидаемую доходность портфеля. Она равна:
CML говорит о соотношении риска и ожидаемой доходности только для широко диверсифицированных портфелей, т. е. портфелей, включающих рыночный портфель, но не отвечает на вопрос, какой ожидаемой доходностью должны обладать менее диверсифицированные портфели или отдельные активы.
1.2 Рыночный и нерыночный риски. Эффект диверсификации
Риск, с которым связано владение активом, можно разделить на две части. Первая составляющая - это рыночный риск. Его также именуют системным или недиверсифицируемым, или неспецифическим. Он связан с состоянием конъюнктуры рынка, общезначимыми событиями, например, войной, революцией. Его нельзя исключить, потому что это риск всей системы. Вторая часть - нерыночный, специфический или диверсифицируемый риск.
Он связан с индивидуальными чертами конкретного актива, а не с состоянием рынка в целом. Например, владелец какой-либо акции подвергается риску потерь в связи с забастовкой на предприятии, выпустившем данную бумагу, некомпетентностью его руководства и т. п. Данный риск является диверсифицируемым, поскольку его можно свести практически к нулю с помощью диверсификации портфеля.
Как показали исследования западных ученых, портфель, состоящий из хорошо подобранных 10-20 активов, способен фактически полностью исключить нерыночный риск (см. рис. 2).
Рис. 2. Эффект диверсификации
Широко диверсифицированный портфель заключает в себе практически только рыночный риск. Слабо диверсифицированный портфель обладает как рыночным, так и нерыночным рисками. Таким образом, инвестор может снизить свой риск только до уровня рыночного, если сформирует широко диверсифицированный портфель.
Приобретая актив, вкладчик рассчитывает получить компенсацию за риск, на который он идет. Однако риск состоит из двух частей. Каким образом рынок оценивает компоненты риска с точки зрения ожидаемой доходности? Как было сказано выше, инвестор способен практически полностью исключить специфический риск за счет формирования широко диверсифицированного портфеля. В рамках модели САРМ предполагается, что вкладчик может свободно покупать и продавать активы без дополнительных издержек.
Поэтому формирование более диверсифицированного портфеля не ведет к увеличению его расходов. Таким образом, без затрат вкладчик может легко исключить специфический риск. Поэтому в теории предполагается, что нерыночный риск не подлежит вознаграждению, поскольку он легко устраняется диверсификацией. В связи с этим, если инвестор не диверсифицирует должным образом свой портфель, он идет на ненужный риск с точки зрения той выгоды, которую он приносит обществу.
Приобретая, например, акцию, инвестор финансирует производство и таким образом приносит обществу пользу. Покупка акции связана с нерыночным риском, который является неустранимым. Поэтому инвестор должен получать вознаграждение адекватное только данному риску. В противном случае он не приобретет эту бумагу, и экономика не получит необходимые финансовые ресурсы. Однако общество (рынок) не будет вознаграждать его за специфический риск, поскольку он легко устраняется диверсификацией. С точки зрения финансирования потребностей экономики, данный риск не имеет смысла. Таким образом, вознаграждению подлежит только системный риск.
Поэтому стоимость активов должна оцениваться относительно величины именно этого риска. Весь риск актива (портфеля) измеряется такими показателями как дисперсия и стандартное отклонение. Для оценки рыночного риска служит другая величина, которую называют бета.
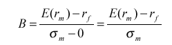
1.3 Бета
Для измерения рыночного риска актива (портфеля) используется величина бета. Она показывает зависимость между доходностью актива (портфеля) и доходностью рынка. Доходность рынка - это доходность рыночного портфеля.
Поскольку невозможно сформировать портфель, в который бы входили все финансовые активы, то в качестве него принимается какой-либо индекс с широкой базой. Поэтому доходность рынка - это доходность портфеля, представленного выбранным индексом. Бета рассчитывается по формуле:
Характеристики
Тип файла документ
Документы такого типа открываются такими программами, как Microsoft Office Word на компьютерах Windows, Apple Pages на компьютерах Mac, Open Office - бесплатная альтернатива на различных платформах, в том числе Linux. Наиболее простым и современным решением будут Google документы, так как открываются онлайн без скачивания прямо в браузере на любой платформе. Существуют российские качественные аналоги, например от Яндекса.
Будьте внимательны на мобильных устройствах, так как там используются упрощённый функционал даже в официальном приложении от Microsoft, поэтому для просмотра скачивайте PDF-версию. А если нужно редактировать файл, то используйте оригинальный файл.
Файлы такого типа обычно разбиты на страницы, а текст может быть форматированным (жирный, курсив, выбор шрифта, таблицы и т.п.), а также в него можно добавлять изображения. Формат идеально подходит для рефератов, докладов и РПЗ курсовых проектов, которые необходимо распечатать. Кстати перед печатью также сохраняйте файл в PDF, так как принтер может начудить со шрифтами.














