153609 (622194), страница 7
Текст из файла (страница 7)
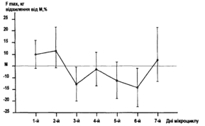
У наших дослідженнях, не дивлячись на яскраво виражений індивідуальний характер реакцій окремих борців на тренувальну програму циклу безпосередньої підготовки до змагань, простежується певна загальна закономірність зміни працездатності у різні дні мікроциклу (мал. 15).
Мал. 15. Динаміка показника максимальної сили загальної групи борців у мікроциклі безпосередньої підготовки до змагань.
Привертає увагу те, що найбільш високі показники працездатності борців виявлялися на другий та сьомий день мікроциклу. Разом з цим, на другий день мікроциклу середні показники групи ставали дещо вищими, а дисперсія показників сили нижчою, ніж на сьомий день. Якщо розглядати цей факт з точки зору підготовки спортсменів до змагання, яке умовно планувалося на кінець тижня, тобто на сьомий день, то можна зробити висновок про те, що такий план побудови тренувань недостатньо досконалий, оскільки група борців, як єдине ціле, на другий день мікроциклу була у кращому стані — 89 % борців у цей день демонстрували найбільш високі показники відносно індивідуальних середніх за тиждень. В той час, як до умовного дня змагань вищої працездатності досягло лише 63 % спортсменів.
Разом з тим, аналіз індивідуальних реакцій спортсменів на окремі тренувальні навантаження, які використовувалися кожного дня у мікроциклі, дозволив зробити висновок про те, що у загальній групі борців виділилося дві категорії спортсменів. Одні з них у межах плану підготовки до умовного дня змагань вийшли на високий рівень спеціальної працездатності, який перевищує рівень попередніх днів мікроциклу. Для цієї категорії спортсменів запропонований план підготовки виявився адекватним і дозволив розв’язати задачі підготовки до головного змагання у стані підвищеної працездатності.
Для другої категорії борців така побудова тренування призвела до негативного ефекту — низької працездатності до дня змагань.
Ця обставина викликала необхідність індивідуального аналізу та класифікації борців за типом реагування на заплановані тренувальні завдання (табл. 2). Такий підхід дозволив виділити дві групи борців.
До групи А увійшли спортсмени, які адекватно реагували на тренувальну програму і до кінця циклу (умовного дня початку змагань) демонстрували відносно високі показники спеціальної працездатності, які перевищують середньотижневий рівень.
До групи Б увійшли борці, у яких тренувальні навантаження попередніх занять у тижневому циклі до умовного дня початку змагань призвели до негативного результату — зменшення показників спеціальної працездатності.
Результати цієї серії досліджень свідчать про те, що методика підготовки спортсменів до змагань повинна передбачати вивчення індивідуальних реакцій та характер протікання відновлювальних процесів у борців після навантажень, які типові для загальної системи тренування.
Таблиця 2 Роздільна характеристика варіативності показників спеціальної працездатності борців групи А (числівник) та групи Б (знаменник) у мікроциклі безпосередньої підготовки до змагань (V %)
| Контрольні показники | Дні циклу тренування | ||||||
| 1-й | 2-й | 3-й | 4-й | 5-й | 6-й | 7-й | |
| Fmax | 11,3/13,1 | 6.9/8.6 | 10,9/12,8 | 5,6/11,4 | 9,9/10,3 | 8,9/9,7 | 7,3/9,0 |
| 50% від Fmax | 16,8/14,5 | 27,1/26,8 | 17,5/19,7 | 15,3/17,1 | 28,1/28,4 | 14,6/15,6 | 13,9/14,1 |
| ІВ | 14,7/13,9 | 19,0/21,2 | 18,3/19,6 | 20,2/18,5 | 20,6/19,8 | 18,9/20,1 | 18,0/19,5 |
Примітка: група А – борці, які досягли високої працездатності до дня змагань (n = 19); група Б – борці, які не досягли високої працездатності до дня змагань (n = 13)
Враховуючи вище описані особливості реакцій організму борців на тренувальні навантаження у мікроциклах підготовки до змагань, які характеризувалися низькою відтворюваністю реакцій одного і того ж спортсмена на окремі тренувальні навантаження, які повторюються у суміжних мікроциклах, та суттєвим неспівпаданням реакцій різних борців на одну й ту ж тренувальну програму, ми визнали можливим і, природньо, доцільним використання методу індивідуальної повсякденної корекції тренувальних навантажень залежно від того, у якому стані знаходився борець безпосередньо до початку чергового тренувального заняття.
Разом з цим, загальна схема побудови тренувальних навантажень у циклі безпосередньої підготовки до змагань залишалась принципово незміненою. Однак, кількісні характеристики основних засобів тренування передбачали їх варіативність залежно від індивідуальних особливостей борців і, зокрема, від показників поточного контролю, які об'єктивно характеризують стан спортсмена до початку чергового тренувального заняття.
Найбільш цінними для практики спорту можна вважати наші результати, які розкривають специфічні особливості реакцій організму борців на загально прийняті тренувальні навантаження у мікроциклах тренування, та рекомендації, які звідси випливають, з індивідуального нормування тренувальних програм, зокрема, на етапі безпосередньої підготовки до змагань.
Висновки
Спортивна боротьба як комплекс осмислених технічних і тактичних дій зародилася ще в прадавні часи й великого поширення набула вже в період рабовласницького ладу. Та все ж як засіб фізичного виховання і вид спорту боротьба особливого розвитку досягла в Стародавній Греції. Тут у палестрах - спеціальних школах фізичного виховання — підлітків і юнаків навчали боротьби досвідчені фахівці.
Надаючи великого значення боротьбі як виду спорту, її включали до системи фізичного виховання не тільки молодих, а й зрілих чоловіків, навіть досить похилого віку.
Методика підготовки спортсменів повинна цілком відповідати вимогам змагань. Змінюються правила змагань - настільки ж оперативно повинні вноситися корективи й у методику підготовки до них.
Сучасні правила міжнародних змагань спрямовані на інтенсифікацію змагальної діяльності. Більшість тренерів і ведучих борців світу не змогли за короткий час вирішити проблему сполучення високого темпу бою і збереження при цьому результативності технічних дій і їх розмаїтості.
Характерною рисою сучасного спорту є не неухильний ріст спортивних досягнень. Це вимагає від фахівців пошуку нових шляхів підвищення ефективності багаторічної підготовки.
Саме в процесі відбору, можна виявити ті відстаючі ланки в загальній характеристиці спортсмена, що навіть при безсумнівних задатках обдарованості можуть у майбутньому перешкоджати досягненню високих спортивних результатів, якщо їх вчасно не усунути шляхом відповідних педагогічних чи медичних впливів.
Спортивний відбір повинен ґрунтуватися на вимогах конкретного виду спорту, пропонованих для спортсменів.
В процесі підготовки борців застосовується система засобів, які поділяються на загально підготовчі, спеціально підготовчі, основні і змагальні. Найбільший обсяг цих засобів використовується на початкових ступенях підготовки юних і молодих борців. Практика показує, що в міру росту кваліфікації борців загальнопідготовчі вправи в напрямку збільшення величини навантажень повинні усе більше наближатися до основних вправ.
Всебічна фізична підготовка є основною передумовою навчання й тренування в будь-якому виді спорту. Головна мета спеціальної фізичної підготовки на секційних заняттях з боротьби — вдосконалення тих якостей, які потрібні для успішного проведення навчальних поєдинків, передбачених комплексною програмою підготовки до змагань. Отже, засобами виховання спеціальних якостей борця треба вважати вправи, що сприяють формуванню і вдосконаленню навичок у виконанні елементів боротьби. Рівень розвитку рухових якостей значною мірою визначає тактико-технічну підготовку борця, стиль і характер борцівського поєдинку.
Список літератури
-
Алиханов И. И. Про становлення техніко-тактичної майстерності//Спортивна боротьба: Щорічник.-М.: Фізкультура і спорт, 1982-З. 7 - 10.
-
Аракелян В. Н., Мартиросов Э. Г., Ширковец Е. А. Зміна деяких показників газообміну і температури тіла в борців при форсованому зниженні ваги тіла // Теорія і практика фіз. культури.— 1978— № 1— С. 19—23.
-
Бальсевич В. Д. Методичні принципи досліджень по проблемі добору і спортивної орієнтації// Теорія і практика фіз. культури.— 1980. - № 1. - С. 31 - 33.
-
Богдан І.Г., Дубовис М.С. Спортивна боротьба в школі: Посібник для вчителя. – К.: Рад. школа, 1990. – 108 с.
-
Бурдин И. Ф., Нелюбин В. В. Керування розвитком спеціальної витривалості борців // Планування і керування спортивним тренуванням единоборцев.—М.: Усесоюз. науч.-исслед. інститут фіз. культури, 1975— С. 88—95.
-
Верхошанский Ю. В. Основи спеціальної силової підготовки в спорті.-М.: Фізкультура і спорт, 1977.—216 с.
-
Верхошанский Ю. В. Програмування й організація тренувального процесу.-М.: Фізкультура і спорт, 1985.—176 с.
-
Волков В. М., Філін В. Н. Спортивний добір.-М.: Фізкультура і спорт, 1983.— 172 с.
-
Воловик А. Б. Начальное обучение классической борьбе. – М.: Физкультура и спорт, 1970. – 220 с.
-
Геселевич В. А. Медико-біологічні особливості підготовки борців//Братерство богатирів.—М.: Фізкультура і спорт, 1976.— С. 103—115.
-
Годик М. А. Контроль тренувальних і змагальних навантажень.-М.: Фізкультура і спорт, 1980.— 136 с.
-
Дахновский В.С., Лещенко С.С. Подготовка борцов высокого класса. – К.: Здоровья, 1989. – 192 с.
-
Жаров В.С. Класична боротьба. – К.: Здоров`я, 1968. – 94 с.
-
Преображенский С.А. Борьба – занятие мужское. – М.: Физкультура и спорт, 1983. – 280 с.
-
Удосконалювання системи підготовки борців високого класу.-М.: Фізкультура і спорт, 1976. - С. 32—36.
-
Станков А.Г. Индивидуализация подготовки борцов / Станков А.Г., Климин В.П., Письменский И.А. – М.: Физкультура и спорт, 1984. – 240 с.















