151791 (621948), страница 3
Текст из файла (страница 3)
датчик температури крапки роси, у якому фіксується температура, що відповідає переходу дзеркального відбиття металевою поверхнею в дифузійне;
оптичний абсорбційний датчик, у якому реєструється частка поглиненої енергії світла в смугах поглинання парами води електромагнітного випромінювання.
Найбільш древній, найбільш простий і найбільш дешевий датчик вологості являє собою звичайне волосся, натягнутий між двома пружинами. Для виміру вологості використовується властивість волосся змінювати довжину при зміні вологості. Незважаючи на гадану примітивність такого датчика й на те, що процес, що лежить в основі виміру, не визначається законами фізики й тому не піддається розрахунку, гігрометри з волосяними датчиками виготовляються у великій кількості.
Ємнісні датчики вологості в цей час по масовості використання конкурують і навіть перевершують волосяні, оскільки по простоті й дешевині вони не уступають волосяним. Вимірюваною фізичною величиною є ємність конденсатора, а це означає, що як індикатор або вихідний пристрій може використовуватися будь-який вимірник ємності. На подложку із кварцу наноситься тонкий шар алюмінію, що є однієї з обкладок конденсатора.
На поверхні алюмінієвого покриття утвориться тонка плівка окису Al2O3. На окислену поверхню наноситься напилюванням другий електрод з металу, що вільно пропускає пари води. Такими матеріалами можуть бути тонкі плівки палладія, родію або платини. Зовнішній пористий електрод є другою обкладкою конденсатора.
Конструкція резистивного датчика вологості являє собою меандр із двох не дотичних електродів, на поверхню якого нанесений тонкий шар гігроскопічного діелектрика. Останній, сорбіруя вологу з навколишнього середовища, змінює опір проміжків між електродами меандру. Про вологість судять по зміні опору або провідності такого елемента.
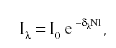
Останнім часом з'явилися гігрометри, в основу роботи яких покладений фундаментальний фізичний закон поглинання електромагнітного випромінювання – закон Ламберта-Бугера-Бера. Відповідно до цього закону через шари поглинаючого або речовини, що розсіює, проходить електромагнітне випромінювання інтенсивністю I?, рівне:
(5)
де Iλ – інтенсивність випромінювання, що падає на поглинаючий стовп; N – концентрація поглинаючих атомів (число молекул в одиниці об'єму); l – довжина поглинаючого стовпа, δλ - молекулярна константа, рівна площі «тіні», створюваної одним атомом і вираженої у відповідних одиницях.
Пари води мають інтенсивні смуги поглинання в інфрачервоній області спектра й в області довжин хвиль від 185 нм до 110 нм - у так званій вакуумній ультрафіолетовій області. Є окремі розробки по створенню інфрачервоних і ультрафіолетових оптичних Вологоміров, і всі вони мають одну загальну позитивну якість - це Вологоміри миттєвої дії. Під цим розуміється рекордно швидке встановлення аналітичного сигналу для проби, поміщеної між джерелом світла й фотоприймачем. Інші особливості оптичних датчиків визначаються тим, що в інфрачервоній області поглинання молекулами води відповідає обертально-коливальним ступеням волі. Це означає, що ймовірності переходів, і, відповідно, перетину поглинання в законі Ламберта-Бугера-Бера залежать від температури об'єкта. У вакуумній ультрафіолетовій області перетин поглинання від температури не залежить. Із цієї причини ультрафіолетові датчики вологості є більше кращими, але інфрачервона техніка, що використовується в ІК датчиках вологості, набагато простіше в експлуатації, чим ВУФ техніка.
В оптичних датчиків є й один загальний недолік - вплив на показання компонентів, що заважають. В інфрачервоній області це різні молекулярні гази, наприклад окису вуглецю, сірки, азоту, вуглеводні й т.д. У вакуумному ультрафіолеті основним компонентом, що заважає, є кисень. Проте можна вибрати довжини хвиль у ВУФ, де поглинання кисню мінімально, а поглинання пар води максимально. Наприклад, зручною областю є випромінювання резонансної лінії водню з довжиною хвилі А, = 121,6 нм. На цій довжині хвилі в кисню спостерігається «вікно» прозорості в той час, як пари води помітно поглинають. Іншою можливістю є використання випромінювання ртуті з довжиною хвилі 184,9 нм. У цій області кисень випромінювання не поглинає й весь сигнал поглинання визначається парами води.
Резонансна воднева лампа з вікном із фтористого магнію розташовується на відстані в кілька міліметрів від фотоелемента з катодом з нікелю. Нікелевий фотоелемент має довгохвильову границю чутливості -190 нм. Вікна із фтористого магнію мають короткохвильову границю прозорості 110 нм. У цьому діапазоні довжин хвиль (від 190 до 110 нм) у спектрі водневої лампи присутня тільки резонансне випромінювання 121,6 нм, що і використовується для виміру абсолютної вологості без який-небудь монохроматизації.
В оптичного датчика є ще одна особливість – можливість змінювати чутливість зміною відстані від лампи до фотоприймача. Справді, зі збільшенням відстані нахил характеристики dU/dN вихідного сигналу від концентрації прямо пропорційний величині зазору між лампою й фотодіодом.
Важливою якістю оптичного датчика є наслідок із закону Ламберта-Бугера-Бера, що складає в тім, що такий датчик потрібно калібрувати тільки в одній крапці. Якщо, наприклад, визначити сигнал із приладу при якій-небудь одній певній концентрації пар води, то зробити шкалу приладу можна розрахунковим шляхом на тім підставі, що зміна логарифма сигналів при різних концентраціях дорівнює:
де N – концентрація (число) молекул в одиниці об'єму; δλ - перетин поглинання, I - довжина поглинаючого проміжку.
Для визначення відносної й абсолютної вологості на практиці часто використовуються прилади, що одержали назву психрометрів. Психрометри являють собою два однакових термометри, один із яких обернуть ґнотом і змочується водою. Мокрий термометр показує температуру нижче, ніж сухий термометр у тому випадку, якщо відносна вологість не дорівнює 100%. Чим нижче відносна вологість, тим більше різниця показань сухого й мокрого термометрів. Для психрометрів різних конструкцій складаються так звані психрометричні таблиці, по яких перебувають характеристики вологості.
Психрометр не дуже зручний в експлуатації, оскільки його показання не просто автоматизувати, і потрібне постійне зволоження ґнота. Проте саме психрометр є найпростішим і разом з тим досить точним і надійним засобом виміру вологості. Саме по психрометрі найчастіше градуюються гігрометри з волосяними, ємнісними або резистивними датчиками.
На закінчення коротко зупинимося на методах виміру вологості рідин і твердих матеріалів. Найпоширенішим є метод висушування або випарювання вологи з речовини з наступним зважуванням. Звичайно пробу висушують доти, поки не перестане змінюватися її вага. При цьому, природно, робиться два допущення. Перше - що вся сортована й хімічно зв'язана волога при обраному режимі випарювання зникає. І друге - що разом з вологою не випарується ніякий інший компонент. Очевидно, що в багатьох випадках гарантувати коректність виконання процедур випарювання дуже складно. Іншим універсальним методом виміру вологості рідких і твердих тіл є метод, коли волога з них переходить у газову фазу в якому-небудь замкнутому об'ємі. У цьому випадку стандартизують методику підготовки проби, а виміру ведуть одним зі згаданих типів гігрометрів, призначених для вимірів вологи в газовій фазі. З метою одержання надійних результатів такі пристрої калібрують по стандартних зразках вологості.
3. Вимір вологості психометричним вологоміром
Вологість газів, рідин і твердих матеріалів - один з важливих показників у технологічних процесах. Вологість газів, наприклад, необхідно вимірювати в сушильних установках, при очищенні газів, у газозбірниках, при кондиціюванні повітря й т.д. Вимір змісту води в нафті, спиртах, ацетоні проводять у процесах нафтопереробки й нафтохімії, у пульпах - у виробництві сірчаної кислоти й мінеральних добрив. Вимір вологості твердих сипучих матеріалів займає важливе місце у виробництві фарб, мінеральних добрив, будівельних матеріалів; вологість волокнистих матеріалів визначає якість продукції при виробництві паперу й картону.
Вологість газів у технологічних процесах звичайно вимірюють психрометричним методом.
Дія психрометричних вологомірів заснована на вимірі двох температур: температури «сухого» термодатчика, поміщеного в аналізований газ, і температури «мокрого» термодатчика, загорненого в панчоху з вологої тканини, кінець якого опущений у воду. За рахунок випару води цей термодатчик прохолоджується до температури меншої, чим температура газу. Зі збільшенням вологості газу випар іде менш інтенсивно й температура «мокрого» термометра росте. При вологості 100% вода взагалі не буде випаровуватися й температури обох термодатчиков зрівняються.
У промислових вологомірах у якості термодатчиков звичайно використовують термометри опору, включені. у схему для виміру відносини їхніх опорів, тобто відносини температур «мокрого» і «сухого» термометрів.
Із принципової схеми вологоміра видно, що вона складається із двох неврівноважених мостів, реохорда, підсилювача, реверсивного електродвигуна й пристрою, що показує. У плечі неврівноважених мостів включені відповідно «сухий» (Rc) і «мокрий» (RM) термометри Вихідний сигнал моста - напруга U2 включений зустрічно з напругою U3, що знімається про движок реохорда. Їхня різниця AU прикладена до входу підсилювача. Там вона підсилюється й пускає в хід реверсивний електродвигун. Вал електродвигуна переміщає движок реохорда й пов'язану з ним стрілку пристрою, що показує.
Стан рівноваги в схемі наступає при рівності напруг U2 і U3. При цьому ?U = 0, тому движок реохорда й стрільця приладу перестають переміщатися. Положення движка реохорода в момент рівноваги залежить від відношення напруг U1 і U2, а виходить, від відношення температур «сухого» і «мокрого» термометрів. Таким чином, положення стрілки приладу однозначно пов'язане з вимірюваною вологістю газу. Для виміру вологості рідин застосовують як спеціальні вологоміри, так і прилади, що вимірюють яку-небудь властивість рідини, якщо воно пов'язане з її вологістю. Наприклад, однієї з характеристик пульп є співвідношення рідина: тверде в її сполуці. Цю величину вимірюють звичайно плотномірами. У тих випадках, коли з пульпи віддаляється тільки рідка фаза (випарювання, фільтрування), показання плотноміра будуть визначатися змістом рідини в пульпі. У цьому випадку плотномір виконує функцію вологоміра.
У спеціальних Вологомірах для рідин використовують ємнісний і абсорбційний методи виміру.
Дія ємнісних вологоміров заснована на зміні діелектричної проникності рідини при зміні змісту в ній води. Електрична схема такого вологоміра аналогічна електричній схемі ємнісного рівнеміра. Зміна вологості рідини приводить до зміни ємності
Такими вологомірами вимірюють зміст води в нафті на нафтопереробних заводах. Діапазон виміру приладу 0-1%.
Принцип дії абсорбційних вологоміров для рідини заснований на поглинанні водою енергії випромінювання в області спектра близької до інфрачервоного.
Рідину пропускають через камеру, де через неї проходить потік випромінювання від джерела. Тому що в камері частина енергії поглинається вологою, енергія вихідного потоку буде тим менше, чим більше концентрація вологи в суміші.
Джерелом випромінювання служить лампа накалювання, приймачем - фоторезистор. Промислові аналізатори вологості служать для визначення концентрації вологи в ацетоні й спиртах від 0 до 5%.
Складність виміру вологості твердих сипучих і волокнистих матеріалів полягає в тім, що при взаємодії датчика з матеріалом може змінюватися його структура, насипна щільність і інші фактори, що істотно збільшують погрішність приладу. Тому в промисловості знайшли застосування в основному безконтактні методи виміру: оптичний і надвисокочастотний.
В оптичних вологомірах використовується зв'язок між вологістю речовини й потоком відбитого від нього випромінювання. Для одержання найбільшої чутливості застосовують випромінювання в інфрачервоній області спектра, що створюється джерелом. Відбитий аналізованим матеріалом світловий потік направляється пристроєм, що збирає, на приймач. Чим більше вологість матеріалу, тим краще він поглинає інфрачервоне випромінювання й тем менше величина відбитого потоку.
Оскільки таким методом можна виміряти вологість лише тонкого шару, вологомір звичайно застосовують для сипучих матеріалів, що транспортуються по конвеєрних стрічках.
Надвисокочастотні (СВЧ)
Надвисокочастотні (СВЧ) вологоміри використовують значне (у десятки разів) розходження електричних властивостей води й сухого матеріалу. Концентрацію вологи вимірюють по ослабленню Свч-випромінювання, що проходить через шар аналізованого матеріалу. У таких вологомірах стрічка матеріалу (наприклад, волокнистого: папір, картон) проходить між передавальною й приймальнею антенами. Передавальна антена з'єднана зі Свч-Генератором, приймальня - з вимірювальним пристроєм. Чим більше вологість аналізованого матеріалу, тим менше сигнал, що попадає у вимірювальний пристрій.
Свч-вологоміри дозволяють вимірювати вологість у широкому діапазоні (0-100%) з високою точністю.














