151166 (621595), страница 4
Текст из файла (страница 4)
119 МДС обмотки добавочного полюса (табл.8.23)
Fд = 4703,88 А
120 число витков обмотки добавочного полюса на один полюс
Принимаем wд = 17
121 предварительное сечение проводника
122 Принимаем проводник обмотки добавочного полюса из голой шиной меди шириной 30 мм, высотой 1,95 мм, сечение провода 57,7 мм2 .
123 принимаем сердечник добавочного полюса короче якоря на 1*10-3м с каждой стороны для создания опоры для катушки.
Длина сердечника
Ширина катушки bкт.д = 30 мм
124 средняя длина витка обмотки добавочного полюса
125 полная длина проводника обмотки
126 сопротивление обмотки добавочного полюса при температуре 20 С
127 сопротивление обмотки добавочного полюса при температуре 75 С
128 масса меди обмотки добавочного полюса
Исходные данные для построения междуполюсного окна машины h = 0,132 м
Расчётный коэффициент полюсной дуги
Длина дуги полюсного наконечника в радиусах
Размеры главного полюса
Размеры добавочного полюса
2.14 Потери и КПД.
129 Электрические потери в обмотке якоря
130 электрические потери в обмотки добавочного полюса
131 электрические потери в переходном контакте щёток на коллектор
132 электрические потери на трение щёток по коллектору
где рщ – давление на щётку; для щётки марки ЭГ – 14 рщ = 3*104 Па
f = 0,2 – коэффициент трения щётки.
134 потери в подшипниках и на вентиляцию
135 масса стали ярма якоря
136 Условная масса стали зубцов якоря
137 магнитные потери в ярме якоря
где
138 магнитные потери в зубцах якоря
где
139 добавочные потери
где Iн = I + Iв = 30,8 + 2,99= 33,79 А
140 сумма потерь
141 потребляемая мощность
Ток
142 коэффициент полезного действия
2.15 Рабочие характеристики.
Для построения рабочих характеристик двигателя n, M, I,
= f(P2) при U = 160В и токе возбуждения Iв = Iв.н принимаем, что потери холостого хода с нагрузкой практически не меняются и составляют:
143 МДС реакции якоря
144 при номинальном токе якоря Iaн = 28,51 А ЭДС обмотки якоря
145 номинальный магнитный поток в воздушном зазоре
146 по характеристике холостого хода [c.13, рис.1]
;
147 МДС обмотки возбуждения
148 номинальный ток возбуждения
149 номинальный ток двигателя
150 потребляемая мощность двигателя
151 полезная мощность на валу двигателя
152 коэффициент полезного действия
153 вращающий момент
В результате расчёта и построения рабочих характеристик двигателя установлены номинальные значения:
Рн = 3600 Вт;
Iн = 28,51А;
I1н = 29,91 А;
Р1 = 4786 Вт;
= 75 %;
Мн = 17,3 Н*м;
nн = 2000 об/мин;
Iв.н = 1,4 А.
Таблица 2.5 – Рабочие характеристики двигателя без стабилизирующей обмотки
| Iв А | Iа, | Еа, |
|
| n, | Р2, | I, | Р1, | М, | ||||||||||||
| А | В | А | Вб | об/мин | Вт | А | Вт | КПД | Н*м | ||||||||||||
| 1,4 | 2,851 | 154,743 | 944 | 0,823 | 1992 | 430 | 4,251 | 680,16 | 63,2 | 2,1 | |||||||||||
| 1,4 | 5,702 | 154,486 | 932 | 0,823 | 1993 | 728 | 7,102 | 1136,32 | 64,1 | 3,5 | |||||||||||
| 1,4 | 8,553 | 154,229 | 912 | 0,814 | 1992 | 1108 | 9,953 | 1592,48 | 69,6 | 5,3 | |||||||||||
| 1,4 | 11,404 | 153,972 | 893 | 0,805 | 1993 | 1436 | 12,804 | 2048,64 | 70,1 | 6,9 | |||||||||||
| 1,4 | 14,255 | 153,716 | 889 | 0,796 | 1995 | 1766 | 15,655 | 2504,8 | 70,5 | 8,5 | |||||||||||
| 1,4 | 17,106 | 153,459 | 863 | 0,787 | 1996 | 2111 | 18,506 | 2960,96 | 71,3 | 10,1 | |||||||||||
| 1,4 | 19,957 | 153,202 | 854 | 0,778 | 1999 | 2474 | 21,357 | 3417,12 | 72,4 | 11,8 | |||||||||||
| 1,4 | 22,808 | 152,945 | 833 | 0,769 | 1999 | 2843 | 24,208 | 3873,28 | 73,4 | 13,6 | |||||||||||
| 1,4 | 25,659 | 152,688 | 817 | 0,76 | 2000 | 3212 | 27,059 | 4329,44 | 74,2 | 15,4 | |||||||||||
| 1,4 | 28,51 | 152,9 | 800 | 0,751 | 2000 | 3602 | 29,91 | 4786 | 75,1 | 17,2 | |||||||||||
| 1,4 | 31,361 | 152,174 | 791 | 0,745 | 2005 | 3931 | 32,761 | 5241,76 | 75 | 18,8 | |||||||||||
| 1,4 | 34,212 | 151,917 | 782 | 0,74 | 2009 | 4251 | 35,612 | 5697,92 | 74,6 | 20,2 | |||||||||||
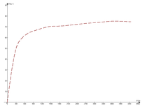
Рисунок 4 – Характеристика КПД без стабилизирующей обмотки
Рисунок 5 – Характеристика тока без стабилизирующей обмотки
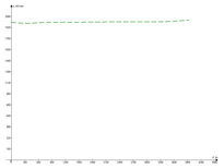
Рисунок 6 – Характеристика скорости без стабилизирующей обмотки
Рисунок 7 Характеристика момента без стабилизирующей обмотки
2.16 Расчёт характеристики двигателя со стабилизирующей обмоткой
154 МДС стабилизирующей обмотки
155 МДС обмотки возбуждения
156 принимаем сечение провода обмотки параллельного возбуждения как и без стабилизирующей обмотки
плотность тока 4,5 * 106 А/м число витков на полюс wв = 630
157 сопротивление обмотки возбуждения
158 длина витка стабилизирующей обмотки
159 полная длина стабилизирующей обмотки
160 диаметр и сечение стабилизирующей обмотки принимаем, как и для обмотки добавочного полюса из голой шиной меди шириной 30 мм, высотой 1,95 мм, сечение провода 57,7 мм2 .
161 сопротивление стабилизирующей обмотки при температуре 20 С
162 сопротивление стабилизирующей обмотки при температуре 75 С
163 ЭДС якоря при номинальной нагрузке
164 магнитный поток в воздушном зазоре при номинальной нагрузке
165 результирующий МДС обмотки возбуждения на полюс [1, рис. 8-35]
166 МДС обмотки возбуждения при номинальной нагрузке
167 номинальный ток возбуждения
Таблица 2.6 – Данные расчёта рабочих характеристик со стабилизирующей обмоткой
| Iв, А | Ia, А | Еа, В |
А | Фб, Вб | n, об/мин | Р2, Вт | I, А | Р1, Вт | КПД | М, Н*м |
| 1,87 | 2,9 | 154,791 | 822 | 0,823 | 2038 | 479 | 4,77 | 763,2 | 62,8 | 2,3 |
| 1,87 | 5,8 | 154,582 | 820 | 0,823 | 2035 | 779 | 7,67 | 1227,2 | 63,5 | 3,7 |
| 1,87 | 8,7 | 154,374 | 817 | 0,814 | 2032 | 1150 | 10,57 | 1691,2 | 68 | 5,4 |
| 1,87 | 11,6 | 154,165 | 815 | 0,805 | 2029 | 1509 | 13,47 | 2155,2 | 70 | 7,1 |
| 1,87 | 14,5 | 153,956 | 810 | 0,796 | 2027 | 1833 | 16,37 | 2619,2 | 70 | 8,7 |
| 1,87 | 17,4 | 153,747 | 812 | 0,787 | 2024 | 2174 | 19,27 | 3083,2 | 70,5 | 10,3 |
| 1,87 | 20,3 | 153,538 | 811 | 0,778 | 2021 | 2522 | 22,17 | 3547,2 | 71,1 | 11,9 |
| 1,87 | 23,2 | 153,33 | 807 | 0,769 | 2018 | 2924 | 25,07 | 4011,2 | 72,9 | 13,9 |
| 1,87 | 26,1 | 153,121 | 805 | 0,76 | 2016 | 3289 | 27,97 | 4475,2 | 73,5 | 15,6 |
| 1,87 | 29 | 152,9 | 800 | 0,751 | 2000 | 3602 | 29,91 | 4786 | 75 | 17,2 |
| 1,87 | 31,9 | 152,703 | 799 | 0,745 | 2010 | 4052 | 33,77 | 5403,2 | 75 | 19,3 |
| 1,87 | 34,8 | 152,494 | 793 | 0,74 | 2007 | 4342 | 36,67 | 5867,2 | 74 | 20,7 |
169 номинальные параметры двигателя со стабилизирующей обмоткой:
















