151166 (621595), страница 5
Текст из файла (страница 5)
Рн = 3600Вт;
I1н = 30,37 А;
n = 2000 об/мин;
Мн = 17,3 Н*м;
Iв.н = 1,87 А;
= 75 %.
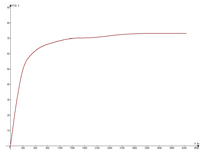
Рисунок 8 – характеристика КПД со стабилизирующей обмоткой
Рисунок 9 – характеристика скорости со стабилизирующей
2.16 Тепловой расчёт
Тепловой расчёт выполняется для оценки тепловой напряженности машины и приближенного определения превышения температуры отдельных частей машины.
Для приближенной оценки тепловой напряженности машины необходимо сопротивление обмоток привести к температуре к температуре, соответствующей заданному классу изоляции; при классе нагревостойкости В сопротивление умножается kт = 1,15.
170 рассчитываем сопротивление обмоток
171 потери в обмотках
172 коэффициент теплоотдачи с наружной поверхности якоря [1, рис.8-31]
173 превышение температуры охлаждаемой поверхности якоря
где
174 перепад температуры в изоляции пазовой части обмотки якоря
где
175 превышение температуры охлаждаемой поверхности лобовых частей обмотки якоря
где
= 75 Вт/(м2*С) – коэффициент теплоотдачи с лобовых поверхностей обмотки якоря
lв = 0,4 *
= 0,4 * 0,1 = 0,04 м – вылет лобовой частей обмотки якоря.
176 перепад температуры в изоляции лобовой части обмотки якоря
где
177 среднее превышение температуры обмотки якоря над температурой охлаждающего воздуха
178 сумма потерь, отводимых охлаждающим внутренний объём двигателя воздухом
179 условная поверхность охлаждения двигателя
180 среднее превышение температуры воздуха в нутрии двигателя
где
= 1050 – [1, рис.8-32]
181 среднее превышение температуры обмотки якоря над температурой охлаждающей среды
182 превышение температуры наружной поверхности катушки возбуждения над температурой внутри машины
183 перепад температуры в изоляции катушки
184 среднее превышение температуры обмотки возбуждения над температурой окружающей среды
185 превышение температуры наружной поверхности добавочного полюса над температурой воздуха внутри машины
186 перепад температуры в изоляции в катушке добавочного полюса
187 среднее повышение температуры обмотки добавочного полюса над температурой окружающей среды
188 повышение температуры наружной поверхности коллектора над температурой воздуха внутри двигателя
Таким образом, превышение температуры обмотки якоря, обмотки возбуждения, коллектора и обмотки добавочных полюсов ниже предельно допустимых значений для класса изоляции F.
2.17 Вентиляционный расчёт
Разрабатываемый двигатель имеет аксиальную систему вентиляции с самовентиляцией, обеспечиваемой, встроенным вентилятором центробежного типа.
189 необходимое количество охлаждающего воздуха
где
- сумма потерь, отводимых охлаждающим внутренний объём машины воздухом.
190 принимаем наружный диаметр центробежного вентилятора равным приблизительно 0,9*dc
191 окружная скорость вентилятора (по наружному диаметру)
192 внутренний диаметр колеса вентилятора
193 окружная скорость вентилятора (по внутреннему диаметру)
194 ширина лапотка вентилятора
195 число лопаток принимаем Nл = 29
,
196 давление вентилятора при холостом ходе
где
- аэродинамический КПД вентилятора в режиме холостого хода:
=0,6.
,
,
197 максимально возможное количество воздуха в режиме короткого замыкания
где S2 – входное сечение вентилятора
198 аэродинамическое сопротивление Z вентиляционной системы машины
199 действительный расход воздуха
200 действительное давление вентиляторов
201 мощность, потребляемая вентилятором
где
- КПД вентилятора.
202 потери мощности на вентиляцию и в подшипниках (уточнение)
















