151085 (621569), страница 2
Текст из файла (страница 2)
(2.7)
Тоді з порівняння знаходимо:
(2.8)
Звідси видно, що імовірності вимушених переходів як зверху вниз, так і знизу вгору виявляються рівними і пропорційними коефіцієнту спонтанного переходу Amn. Тому для описання випромінювання атомів або молекул достатньо визначити лише один із цих коефіцієнтів.
У загальних рисах квантова теорія випромінювання зводиться до наступного. В рамках теорії Шредінгера можна пояснити лише вимушені переходи, що відбуваються у результаті взаємодії електронів атома із зовнішньою електромагнітною хвилею. Спонтанні переходи із збуджених енергетичних станів у більш низькі залишаються у цьому випадку фактично не поясненими, оскільки відсутня зовнішня дія, яка б могла привести до цих переходів. Відповідь на це питання було знайдено тільки після створення квантової теорії випромінювання, у якій був використаний апарат квантування електромагнітного поля. При цьому електрони і поле випромінювання розглядаються як дві взаємодіючі квантові системи, причому ця взаємодія не зникає навіть при відсутності реальних фотонів.
2.2. Імовірність переходу під впливом зовнішньої дії,
Розглянемо атом, який з деякого моменту t=0 зазнає дії поля світлової хвилі. Покладемо, що хвиля строго монохроматична, лінійно поляризована по осі x і поширюється вздовж осі z. Електричне поле цієї хвилі діє на електрон атома з силою:
(2.9)
де Е – напруженість електричного поля монохроматичної хвилі,
- довжина хвилі.
Виберемо початок координат у центрі атома. Тому відношенням
можна знехтувати і вираз (10.14) перепишеться як:
(2.10)
Дій силі відповідатиме потенціал:
(2.11)
Це і буде зовнішнє збурення, що діє на атом.
Нехай, як ми і припускали, в момент t=0 атом знаходиться у стаціонарному стані з енергією En. Під впливом збурення буде буде здійснюватися перехід в інші стани. Знайдемо імовірність переходу En – Em за проміжок часу 0 – t. Для цього потрібно розв’язати нестаціонарне рівняння Шредінгера:
(2.12), де гамільтоніан
,
.
Розв’язок будемо шукати у вигляді:
(2.13)
Підставивши (2.13) у рівняння (2.12) і провівши нескладні викладки отримаємо:
(2.14).
Підставляючи в цю рівність замість φm функції φ1, φ2,…отримаємо систему рівнянь, за яких можна знайти всі коефіцієнти С1, С2,…, тобто значення ймовірностей. Ці рівняння є тотожними, поскільки ніяких наближень не робилося.
Практично знайти коефіцієнти Cm з точного рівняння (2.14) неможливо, оскільки рівняння утворюють систему з нескінченним числом невідомих. Для отримання першого наближення можна скористатися тим, що коефіцієнти Ск (t) змінюються з часом повільно, а тому можна прийняти, що в час, близький до t=0, коефіцієнти Ск зберігають ті значення, які вони мали при t=0. Наприклад, якщо пр t=0 атом знаходиться у стаціонарному стані з енергією En, то для t=0 коефіцієнт Cn рівний одиниці, а решта рівні
,
Оскільки для цього моменту з достовірністю відомо, що атом знаходиться у стані
. Допускаємо, що ці значення коефіцієнтів зберігаються при достатньо малих значеннях t >0. Тому одержимо:
(2.15)
Переходи, які здійснюються в атомі під впливом поля випромінювання, можуть ати двоякий характер. Якщо Em > En, то атом буде поглинати енергію із поля, якщо Em
додатне, у другому від’ємне. У кожному випадку одним із двох членів у дужках виразу (2.15) можна знехтувати першим доданком, а у випадку вимушеного випромінювання – другим.
Розглянемо випадок поглинання, тоді з (2.15) матимемо:
(2.16)
Квадрат модуля Сm характеризує імовірність переходу, тому
(2.17)
(Сm)2 пропорційно квадрату дипольного моменту переходу
результат аналогічний класичній теорії випромінювання з тією різницею, що замість дипольного моменту ex входить матричний елемент exmn.
Імовірність матиме максимальне значення при
, тобто падаюча хвиля спричиняє перехід En→ Em тільки у тому випадку, коли її частота співпадає з
або дуже близька до
.
Розглянутий випадок є ідеалізованим. Дійсно, ми розглядали стани з різко визначеними значеннями енергії Em і En, а отже і
- строго визначена частота. В дійсності ж, стани мають скінченну ширину, а тому лінія поглинання теж має скінченну ширину, тобто є вузькою ділянкою суцільного спектру. Тому для отримання повної імовірності переходу, що відповідає всій ширині лінії, а не тільки її максимуму, необхідно (2.17) про інтегрувати по частотам в межах ширини лінії. Тоді одержимо:
(2.18)
Знайдена повна імовірність переходу за t секунд пропорційна часу, а тому імовірність переходу за одиницю часу є величиною постійною.
2.3. Інтенсивність та ширина спектральних ліній випромінювання.
Якщо атом знаходиться у збудженому стані m, то можливий спонтанний перехід на рівень п із випромінюванням кванта світла.
У загальному випадку для інтенсивності випромінювання можна записати формулу:
(2.19)
Для довільної точки ми можемо записати для інтенсивності випромінювання формулу:
(2.20), де
.
Перетворюючи попередній вираз для напівширини спектральної лінії одержимо, що:
(2.21). Оскільки коефіцієнт затухання коливань γ рівний:
, то вираз (2.21) отримає вигляд:
(2.22).
Ширина спектральної лінії визначається формулою (2.22) та носить назву природної ширини спектральної лінії випромінювання. Вона залежить тільки від затухання коливань атома внаслідок коливання та не залежить від інших причин, які можуть викликати розширення спектральних ліній випромінювання. Розрахунок дає значення
.
Необхідно також відмітити, що на ширину спектральної лінії впливає густина частинок у випромінюваному об’ємі та ефект Доплера. Ширина спектральних ліній зумовлена ефектом Доплера в багато разів більша за величину природної ширини лінії.
2.4. Кут розбіжності лазерного пучка.
У лазерах для створення зворотного зв’язку використовують системи дзеркал.
Нехай коефіцієнти відбивання для них рівні R1 та R2. сучасні багатошарові покриття дзеркал дозволяють одержати
.
Як правило одне із дзеркал має нижчий показник відбивання для виводу випромінювання назовні. Лазерний промінь має здатність розфокусовуватися, але якщо виміряти кутову відстань для променя лазера, то вона виявиться рівною близько
. Тому лазерний промінь розфокусовується у значній мірі лише на великих відстанях. Наприклад розфокусовування лазерних променів виявляють під час вимірювання відстаней до Місяця.
Розділ 3. Методи створення інверсного заселення рівнів.
Створення в активній речовині інверсії населеності проводиться різноманітними методами (11). Найчастіше використовують вплив на речовину електромагнітного випромінювання (оптична накачка), електричного розряду, електронних пучків із енергією від кількох десятків еВ до МеВ, (електронний удар), високотемпературний нагрів речовини із наступним швидким охолодженням (теплова накачка), екзотермічні хімічні процеси в речовині, інжекцію носіїв заряду в р-п-область в напівпровідниках під дією електричного поля.
Оптичну накачку здійснюють із допомогою газорозрядних ламп в імпульсному чи неперервному режимах роботи. Оскільки їх випромінювання має широкий спектр, то в якості активного середовища слід використовувати матеріали із широкою смугою поглинання. Однак із зростанням ширини спектральної лінії зменшується переріз σ і тому важко досягти порогових значень
, які рівні:
. Тому реалізації інверсної населеності використовують домішкові атоми, наприклад хрому в кристалах рубіна.
Аналогічна схема накачки і для лазерів на основі скла та ітрій-алюмінієвого граната, активованого неодимом Nd та деяких твердо тільних лазерів, в яких для створення інверсної населеності використовують енергетичні рівні домішкових атомів. Оптичну накачку використовують також в лазерах на органічних барвниках (рідкі активні середовища).
Інша схема оптичної накачки заснована на тому, що при поглинанні широкополосного спектру випромінювання відбувається фотоліз із появою радикалів та збуджених атомів, останні й утворюють активне середовище лазерів. Наприклад при фотолізі молекули
при дії ультрафіолетового випромінювання із довжиною хвилі 200- 250 нм виникає збуджений атом І в стані
:
При переході атома йоду І в стан
випромінюється фотон із довжиною хвилі 1,315 мкм:
Електронний удар використовують для накачки, як правило, газових лазерів. Накачка заснована на збуджені атома при його співударі із електроном, що володіє достатньо великою кінетичною енергією. Наприклад в He – Ne - лазері відбуваються наступні процеси:
де
- основний стан атома гелію, а
- один із його збуджених станів. Релаксація енергії збудження та рекомбінації іонів із електронами протікають у цій системітаким чином, що
Рис. 3.1. Схема електронних рівнів в збуджені атоми гелію
He та Ne, що використовуються для накопичуються на метастабільних
накачки He – Ne – лазера електронним рівнях 2s1 та 2s3. Інверсна ударом в газовому розряді. населеність отримується при передачі енергії збудження від гелію до неону, рівні енергії якого 2s та 3s близькі по енергії до 2s1 та 2s3 рівнів гелію (рис. 3.1):
Переходи 3s → 3p, 3s → 2p та 2s → 2p в неоні використовуються для генерації когерентного випромінювання на довжинах хвиль 3,39, 0,63 та 1,15 мкм відповідно. Електронний удар використовують також для накачки СО2- та СО – лазерів, лазерів на парах металів, ексимерних (точніше ексиплексних), а також деяким напівпровідникових лазерів.
Теплова накачка відбувається при швидкому охолодженні сильно нагрітих газових сумішей при підборі компонентів газових сумішей вдається знайти такі системи енергетичних рівнів частинок в яких розташовані нижче рівні «охолоджуються», швидше чим ті, що розташовані вище. Це приводить до утворення інверсної заселеності рівнів. Практично найбільш вживаний метод – надзвукове витікання газів через отвір, найбільш вдалі активні середовища – суміші
,
. Лазери із тепловою накачкою на цих активних середовищах отримали назву теплових газодинамічних лазерів.
Інжекція носіїв струму через р-п-перехід – основний спосіб накачування напівпровідникових лазерів. Активне середовище являє собою кристал напівпровідника, що складається з областей р- і п-типу (рис. 3.2). Між цими областями виникає контактна різниця потенціалів, що урівноважує потоки носіїв з однієї частини в іншу.
Рис. 3.2. Інжекційний напівпровідниковий лазер. Область потенціального бар’єра заштрихована. (+) та (–) – контакти для прикладення напруги. Лазерне випромінювання направлене перпендикулярно площині малюнка (хвиляста стрілка).
Електричний струм через контакт дорівнює нулю. Якщо до зразка прикласти електричну напругу, рівну по величині контактній різниці потенціалів, виникнуть потоки носіїв назустріч один одному і їхня рекомбінації з випроміненням фотонів. Дзеркалами оптичного резонатора в такому типі лазерів служать добре відполіровані плоскопаралельні грані самого кристала напівпровідника. Найбільш досконалі зразки напівпровідникових інжекційних лазерів являють собою більше складну структуру (гетероструктуру).
Важлива особливість інжекційних лазерів – їхня мініатюрність, довжина активної зони звичайно рівна кільком міліметрам, робоча частина р-п-переходу має розміри в напрямку протікання струму ~1 мкм, поперечний розмір звичайно 1мм.
Розділ 4. Принципова блок-схема квантового генератора. Оптичні резонатори.
Принципова схема лазера містить такі компоненти як активне середовище, яке підсилює (генерує) випромінювання, резонатор, що складається із двох дзеркал, одне із яких напівпрозоре і пристрій накачування енергії в активне середовище (4), (рис. 4.1).
Рис. 4.1. Принципова схема лазера.
Активне середовище може бути газоподібним, рідким, твердотільним або являти собою плазму, релятивістський електронний потік, тощо. Важливо, щоб активне середовище мало інверсну населеність, тобто більшість випромінювачів повинна перебувати в збудженому стані. Відповідно до розподілу Больцмана число випромінювачів, що перебувають у збудженому стані N2 в інвертованому середовищі, дорівнює:
,
а в основному (не збудженому) стані
де N=N1+N2 - загальне число випромінювачів, E1 < E2 - енергія випромінювачів.
При N2 > N1
, якщо ефективна температура середовища T* < 0. Інверсна населеність активного середовища (тобто її негативна ефективна температура) створюється в результаті накачування енергії в середовище від зовнішнього джерела. Наприклад, накачування здійснюють при пропусканні електричного струму через активне середовище, за допомогою спалаху потужної лампи, у результаті хімічних реакцій, за допомогою прискорення електронного потоку й т.п.
Первинний світловий (або мікрохвильовий, рентгенівський) потік генерується випромінювачами в активному середовищі в результаті спонтанного випромінювання. Фотони, що поширюються уздовж осі резонатора, відбиваються від дзеркал багаторазово проходять через активне середовище. При цьому вони стимулюють випромінювання збуджених фотонів. Випроменені в результаті індукованих процесів фотони мають таку ж частоту (енергію), хвильовий вектор (імпульс) і поляризацію, як і первинні фотони. Світловий потік частково проходить через напівпрозоре дзеркало. Лазерне випромінювання має високий ступінь когерентності, тому що частота випромінювачів однакова, а різниця фаз залишається постійної в часі. Останнє пояснюється тим, що в резонаторі формується стояча хвиля, яка виникає при інтерференції прямої й зворотної хвиль. Таким чином, резонатор здійснює зворотний зв'язок. Фотони, випромінювані під більшими кутами до осі резонатора залишають активне середовище. Ця частина випромінювання активного середовища некогерентна. При відбитті від дзеркал випромінювання частково ослаблюється, крім цього є втрати в результаті розсіювання в середовищі й дифракції. Для роботи лазера в режимі когерентної генерації необхідно, щоб пілсилення випромінювання за один прохід перевищувало втрати, включаючи випромінювання. Цикл роботи лазера включає два послідовних відбиття від дзеркал з ефективними коефіцієнтами відбиття ρ1 та ρ2, що враховують всі втрати. Ослаблення потоку пропорційно ρ1 ρ2 на шляху 2L за один цикл. Відповідно до закону Бугера-Ламберта інтенсивність світлового потоку, що пройшов шар L у середовищі, дорівнює:
.
Для середовища, що перебуває в термодинамічній рівновазі, коефіцієнт
, а для нерівновагого активного середовища
. Посилення світлового потоку за один цикл дорівнює
Генерація лазерного випромінювання виникає при
, тобто поріг генерації
.
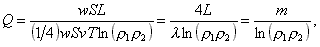
Знайдемо добротність лазера:
, де W=wSL - запасена в резонаторі енергія,
- втрати енергії за одне коливання. Врахуємо, що
- втрати енергії за цикл, де w - густина енергії прямого й зворотного потоків. Час циклу дорівнює
, період лазерного випромінювання
, тоді за одне коливання втрати енергії становлять:
Звідси знаходимо добротність:
, де
- число напівхвиль у резонаторі, , а
.
Виразимо поріг генерації через добротність лазера:
.
Добротність лазера тим вище, чим менше втрати. Поріг генерації обернено пропорційний добротності. Тому для параксіальних променів поріг генерації досягається раніше, ніж для не параксіальних і потужність випромінювання лазера доводиться, в основному, на паралельні параксіальні промені.
Розділ 5. Характеристика основних типів квантових генераторів.
На даний час створено надзвичайно велику кількість різноманітних систем лазерів. Вони відрізняються між собою робочим тілом, а саме створено лазери на основі рубіна та алюміній – ітрієвого граната, на напівпровідникових матеріалах, газах та розчинах барвників. Вони відрізняються між собою будовою, довжиною хвилі випромінюваного світла, але сам принцип їх роботи залишається незмінний.
Розглянемо основні системи цих пристроїв.
а) будова та принцип роботи рубінового лазера.
Рубіновий лазер був першим оптичним квантовим генератором світла (3). Його створили в 1960 році. Робочою речовиною є рубін – кристал оксиду алюмінію Al2O3 (корунд), у який при вирощуванні введена домішка – оксид хрому Cr2O3. Червоний колір кристала рубіна обумовлений випромінюванням іона хрому Cr3+, що у кристалічній решітці заміщає іон Al3+. Густота червоного кольору рубіна залежить від концентрації іонів Cr3+, у темно-червоному рубіні концентрація Cr3+ досягає 1%.
Рис. 5.1 Схема енергетичних рівнів у кристалі рубіна.
Кристал рубіна має дві смуги поглинання: у зеленій й у блакитній частині спектра. Крім цих смуг є два вузьких енергетичних рівні E1 й E'1, при переході з яких на основний рівень атом випромінює світло з довжинами хвиль
та
. Ширина цих ліній
, імовірність змушених переходів для лінії
більше, ніж для
, тому що ця ймовірність обернено пропорційна частоті в кубі v-3.
При опроміненні рубіна білим світлом блакитна й зелена частини спектра поглинаються, а червона відбивається. У рубіновому лазері використається оптичне накачування ксеноновою лампою, що дає спалахи світла великої інтенсивності при проходженні через неї імпульсу струму. Газ ксенон при цьому розігрівається до кількох тисяч градусів. Безперервне накачування неможливе, тому що лампа не витримує тривалого нагрівання. Випромінювання лампи накачування поглинається іонами Cr3+ в області смуг поглинання. Потім із цих рівнів іони Cr3+ дуже швидко в результаті безвипромінювального переходу переходять на енергетичні рівні E1 й E'1. Надлишок енергії передається кристалічній решітці і перетворюється в енергію її коливань (енергію фононів). Рівні E1 й E'1 – метастабільні (час життя атома на рівні E1 дорівнює 4,3 мс). У такий спосіб створюється значна інверсна населеність активного середовища щодо рівня E0.
Кристал рубіна вирощують у вигляді круглого циліндра довжиною близько 5 сантиметрів та діаметром близько одного міліметра.















