144777 (620733), страница 2
Текст из файла (страница 2)
где Δtпр – температурный период между температурой внутри помещения и приведенной температурой внутренней поверхности ограждающей конструкций, °С;
Δtcp – допустимая по санитарно-гигиеническим требованиям разность между температурой воздуха внутри помещения и приведенной температурой внутренней поверхности ограждающей конструкции, 0С, принимаемая в зависимости от назначения здания и вида ограждающих конструкций по таблице 3 или таблице 3 [10].
Таблица 3
| № поз. | Вид ограждающей конструкции с сухим нормальным режимом эксплуатации зданий | Значение Rq mjn для температурной зоны | |||
| I | II | III | IV | ||
| 1 | Наружные непрозрачные стены зданий при D > 1,5 при D ≤ 1,5 | 1,5 2,0 | 1,3 1,8 | 1,2 1,7 | 0,7 1,2 |
| 2 | Покрытия и перекрытия зданий при при D > 1,5 при D ≤ 1,5 | 1,6 2,1 | 1,5 2,0 | 1,3 1,8 | 0,9 1,1 |
| 3 | Перекрытия над проездами и подвалами при D > 1,5 при D ≤ 1,5 | 1,8 2,2 | 1,7 2,0 | 1,6 1,9 | 1,4 1,7 |
Определение температурных зон заданного района строительства производится по карте-схеме температурных зон Украины рис. 2.1.
При отсутствии на карте-схеме города строительства температурная зона определяется по количеству градусо-суток (г.-с.) отапливаемого периода по формуле
S = (tB – tо.п.) · Zо.п
где S – количество градусо-суток отапливаемого периода, определяемое по расчетным данным [8];
tB – расчетная температура внутреннего воздуха для жилых, общественных и административных помещений принимается 20 0С; для промышленных зданий –18 0С;
tо.п. – средняя температура относительного периода города строительства, принимаемая при температуре наружного воздуха ≤ 8 0С [9];
Z о.п. – продолжительность отопительного периода суток [8].
Для стран СНГ расчет теплозащитных качеств наружных ограждений выполняется по СНиП П-3-79** «Строительная теплотехника» [11]. Климатические параметры приведены в СНиП 23-01-99* «Строительная климатология» [9].
ИСХОДНЫЕ ДАННЫЕ
Город – Львов, Львовской области.
Здание – жилой дом.
Рис. 2
Строение наружной несущей стены на рис. 2, где
δ1 – наружная штукатурка - цементно-песчаный раствор, толщиной 0,02 м, γ = 1800 кг/м3; λ=0,58 Вт/м0С.
δ2 – кирпичная кладка из силикатного кирпича на цементно-песчаном растворе [ГОСТ 648-73], толщиной 0,38 м, γ = 1800 кг/м3; λ= 0,7 Вт/м0С.
δ3 – перлитопластобетон [ГУ-480-1-145-74], γ= 200 кг/м; λ= 0,041 Вт/м0С.
δ4 - внутренняя штукатурка – сложный раствор, толщиной 0,015 м, γ = 1700 кг/м3; λ= 0,52 Вт/м0С.
ОПРЕДЕЛЕНИЕ УТЕПЛЯЮЩИХ СЛОЕВ НАРУЖНОЙ СТЕНЫ ПЕРЕКРЫТИЯ ДЛЯ ЗИМНИХ УСЛОВИЙ
Необходимо:
расчетным путем определить толщину утепляющего слоя наружной стены гражданского здания для зимних условий в соответствии с исходными данными и рис. 2.
Для жилого дома принимаем расчетную температуру воздуха в помещении 200С. Расчет производим в соответствии с ДБН «Тепловая изоляция» [10].
Расчет:
Для стран СНГ расчет теплозащитных качеств наружных ограждений выполняется по СНиП П-3-79** «Строительная теплотехника» [11]. Климатические параметры приведены в СНиП 23-01-99* «Строительная климатология» [9].
Для определения климатической зоны г. Львова, Львовской области определяем количество градусо-суток отопительного периода
S=(tв – tо.п.) · Zо.п. = (20 – 0) ·191 = 3580 г.-с. ,
где S – количество градусо-суток отапливаемого периода, определяемое по расчетным данным [9];
tB – расчетная температура внутреннего воздуха для жилых, общественных и административных помещений принимается 20 0С; для промышленных зданий –18 0С;
tо.п.=00С – средняя температура отопительного периода города строительства, принимаемая при температуре наружного воздуха ≤ 8 0С [9];
Z о.п. – продолжительность отопительного периода суток [9].
tо.п. и Zо.п. температура и продолжительность отопительного периода приняты при средней суточной температуре наружного воздуха ≤ 80С.
Следовательно, город Львов, Львовской области относится к I климатической зоне (S > 3501 г.-с.,), для которой Rmin = 2.8 м2 ·К/Вт.
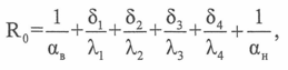
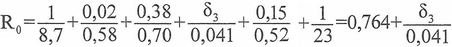
Общее сопротивление теплопередаче стены составляет:
где αв – коэффициент теплопередачи внутренней поверхности стены, принимаемый по таблице 4 [11], равный 8,7 Вт/м2·0С;
δ – толщины слоев стены, м.;
λ – расчетные коэффициенты теплопроводности слоев материала стены в зависимости от материалов, его плотности (кг/м3) и условий эксплуатации, зависящих от влажностного режима помещений и зон влажности климатического района (А или Б) принимаемые по таблице 3 [11];
αн - коэффициент теплоотдачи для зимних условий наружной поверхности стены принимаемые по табл. 6 [11], равный 23,0 Вт/м2·0С.
Соответственно
Сопротивление теплопередачи наружной стены R0 следует принимать не менее нормативного сопротивления теплопередачи Rq min,
т. е. R0 ≥ Rq min.
Таким образом
R0= Rq min = 0,764+ / 0,041=2,8 м2 ·0С /Вт
откуда δ3 = 0,08 м = 8 см.
Следовательно, для обеспечения требуемых санитарно-гигиенических условий в помещении толщина утепляющего слоя из перлитопластобетона должна быть не менее 0,08 м.
СПИСОК ЛИТЕРАТУРЫ
-
Шерешевский И.А. Конструирование гражданских зданий. - Л.: Стройиздат, 1981.-176 с.
-
Шерешевский И.А. Жилые здания. Конструктивные системы и элементы для индустриального строительства-М.: «Архитектура-С», 2005. - 124 с.
-
Лисициан М.В. Пашковский В.Л. Архитектурное проектирование жилых зданий. – М.: Архитектура-С, 2006. – 488с.
-
Архитектура гражданских и промышленных зданий. Том III. Жилые здания. -М.: Стройиздат, 1983. - 239 с.
-
Конструкции гражданских зданий. / Под ред. М.С. Туполева. - М.: Стройиздат, 1968.-240с.
-
Дыховичный Ю.А. Архитектурные конструкции. Книга 1. Архитектурные конструкции малоэтажных жилых зданий. – М.: Архитектура-С, 2006. – 248 с
-
Сербинович П.П. Гражданские здания массового строительства - М.: Стройиздат, 1986.- с.
-
СНиП 2.01.01.82 Строительная климатология и геофизика. Госстрой СССР. -М.: Стройиздат, 1983. - с. 137.
-
СНиП 23-01-99* Строительная климатология. - М. Госстрой России. 2004. - 70 с.
-
ДБН В.2.6-31:2006. Теплова ізоляція будівель. - К. Мін. буд. України, 2006. - 65с.
-
СНиП П-3-79** Строительная теплотехника. Нормы проектирования. - М.: Стройиздат, 1986. - с. 38.
-
Справочник по инженерно-строительному черчению (Рускевич и др.). - К.: Будівельник, 1987. - 264 с.
-
Черкасов Н.А. Архитектура. – К.: Будівельник, 1968. – 498 с.
-
Коваленко Ю.Н., Шевченко В. П. Краткий справочник архитектора (Гражданские здания и сооружения). – К.: Будівельник, 1975. – 704 с.
ДОПОЛНЕНИЕ 1
Спецификация
| Формат | Зона | Поз. | Обозначение | Наименование | Кол. | Примечание |
| План I этажа | ||||||
| Двери | ||||||
| Д1 | Дверь входная, 1190х2000 | 2 | ||||
| Д2 | Дверь входная квартирная, 900х2000 | 3 | ||||
| Д3 | Дверь межкомнатная, 870х2175 | 6 | ||||
| Д4 | Дверь в санузел, 670х2175 | 3 | ||||
| Д5 | Дверь балконная, 720х2175 | 4 | ||||
| Окна | ||||||
| О1 | Окно балконное, 870х1460 | 2 | ||||
| О2 | Окно, 1170х1460 | 3 | ||||
| О3 | Окно балконное, 1770х1460 | 2 | ||||
| План II этажа | ||||||
| Двери | ||||||
| Д2 | Дверь входная квартирная, 900х2000 | 3 | ||||
| Д3 | Дверь межкомнатная, 870х2175 | 6 | ||||
| Д4 | Дверь в санузел, 670х2175 | 3 | ||||
| Д5 | Дверь балконная, 720х2175 | 4 | ||||
| Окна | ||||||
| О1 | Окно балконное, 870х1460 | 2 | ||||
| О2 | Окно, 1170х1460 | 4 | ||||
| О3 | Окно балконное, 1770х1460 | 2 | ||||
















