114711 (617284), страница 2
Текст из файла (страница 2)
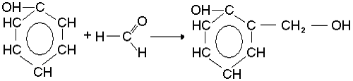
Строение молекул. Реакция поликонденсации – процесс образования высокомолекулярных соединений из низкомолекулярных, которые сопровождается выделением простых низкомолекулярных продуктов (H2O, NH3, HCl и др.) [3, 5]. Рассмотрим, как при реакции поликонденсации образуются фенолформальдегидные смолы. Известно, что в молекуле фенола в положениях 2, 4 и 6 атомы водорода весьма подвижны, а для альдегидов характерны реакции присоединения, обусловленные наличием в них -связи. В связи с этим реакцию фенола с формальдегидом можно отразить так:
Это промежуточное соединение затем реагируют с другими молекулами фенола:
Далее образовавшийся продукт реагируют с другими молекулами метаналя, а затем – с молекулами фенола и т. д. В результате этих реакций получаются высокомолекулярное вещество – фенолформальдегидная смола и побочный продукт – вода.
При повышенной температуре и давлении между разветвленными молекулами полимера происходит химическое взаимодействие и образуется полимер с пространственной структурой. Такой материал теряет термопластичность и становится более прочными.
Полимеры, которые при повышенной температуре не размягчаются и не плавятся в отличие от термопластичных полимеров, называются термореактивными.
Применение. Из фенолформальдегидного полимера (смолы), добавляя различные наполнители (древесная мука, хлопчатобумажная ткань, стеклянное волокно, различные красители и т. д.), получают фенолформальдегидные пластмассы, которые сокращенно называют фенолпластами [1, 3] .
Еще в [3] изложено, что фенопласты- важнейшие заменители цветных и черных металлов во многих отраслях промышленности. Из них изготовляются большое количество изделий широкого потребления, электроизоляционные материалы и строительные детали [3] .
1.2.2 Синтетические каучуки
В России нет природных источников получения натурального каучука, поэтому необходимо было получить его синтетическим путем [2].
Под руководством академика С. В. Лебедева впервые в мире был разработан метод промышленного производства синтетического каучука из 1,3-бутадиена (1932 г.). Его получали из этилового спирта. В настоящее время для получения синтетических каучуков в основном используются углеводороды, содержащиеся в нефтяных газах и продуктах переработки нефти.
Производство бутадиенового каучука основывается на полимеризации 1,3-бутадиена в присутствии катализатора:
где n может достигать нескольких тысяч.
О днако оказалось, что группы − CH2 − в звеньях макромолекул в отличие от природного каучука расположены по разные стороны двойной связи, т. е. находятся в транс- положении:
Впоследствии на основе изучения пространственного строения природного каучука ученым удалось решать проблему синтеза не только дивинилового каучука, но и изопренового каучука стереорегулярного строения [1, 2, 3] .
Некоторые синтетические каучуки получают из различных мономеров в результате их совместимой полимеризации, называемой сополимеризацией. Так, например, при сополимеризации 1,3-бутадиена со стиролом синтезируют бутадиенстирольный каучук [1]:
Для улучшения качества натуральных и синтетических каучуков их превращают в резину. Резина - это вулканизированный каучук. Сущность вулканизации состоит в том, что атомы серы присоединяются к линейным молекулам каучука по месту двойных связей и как бы сшивают эти молекулы друг с другом. Резина прочнее каучука и более устойчива к изменению температуры [2, 3].
1.2.3 Синтетические волокна
Этот раздел в [1 ,2] изложен очень хорошо, но в [3] - очень мало по объему.
Волокнами называют материалы, получаемые из натуральных и синтетических, органических и неорганических веществ, имеющие очень малые поперечные размеры, их длина должна не меньше чем в 100 раз превышать диаметр. Например: хлопковое волокно, шелк, шерсть, капрон и др. [5]. Капрон относится к полиамидным волокнам. Для его производства используются некоторые производные аминокислот, например, капролактам. Его можно рассматривать как продукт внутримолекулярного взаимодействия карбоксильной группы и аминогруппы молекулы 6-аминогексановой
Упрощенно превращение капролактами в полимер, из которого производят капроновое волокно, можно представить следующим образом. Капролактам в присутствии воды превращается в 6-аминогексановую кислоту, молекулы которой реагируют друг с другом:
В результате этой реакции образуется высокомолекулярное вещество, макромолекулы которого имеют линейную структуру. Отделенные звенья полимера являются остатками 6-аминогексановой кислоты [1, 2]:
Полимер представляет собой твердое вещество, размягчающееся при температуре 210 °С и плавящееся при 225 °С. Для получения волокон капрон плавят, пропускают через фильеры. Струи полимера охлаждаются потоком холодного воздуха и превращаются в волоконца, при скручивании которых образуются нити [2].
Капроновая смола используются для получения пластмасс. Из них изготовляют различные детали машин, шестерни, вкладыши для подшипников и т. д. Предметы из капроновых пластмасс обладают исключительно большой прочностью и износоустойчивостью [1].
Лавсан- полиэфирное волокно. По своему составу лавсан – сложный эфир терефталевой кислоты и этиленгликоля. Этиленгликоль - это двухатомный спирт. Терефталевая кислота- процесс окисления n-кислол. При
взаимодействии последней с этиленгликолем получается сложный эфир:
При поликонденсации этого эфира образуется высокомолекулярное вещество – лавсан:
Промышленный процесс получения лавсана более сложный. Волокно лавсан добавляют к шерсти для изготовления немнущихся высококачественных тканей и трикотажа. Его применяют также для производства транспортерных лент, ремней, занавесей, парусов и т. д. [1].
В этой главе мы узнали о полимерах и их структуре и о ступенчатой полимеризации и поликонденсации. И в следующей главе мы будем рассматривать связанные с ними экологические вопросы.
ГЛАВА II. ЭКОЛОГИЧЕСКАЯ ПРОБЛЕМАТИКА, СВЯЗАННАЯ С СИНТЕТИЧЕСКИМИ ВЫСОКОМОЛЕКУЛЯРНЫМИ ВЕЩЕСТВАМИ И ПОЛИМЕРНЫМИ МАТЕРИАЛАМИ НА ИХ ОСНОВЕ
2.1 Полимеры в решении сырьевой проблемы
Человеческое общество по мере своего развития входит во все большую зависимость от сырьевых ресурсов окружающей среды. Масштабы потребления некоторых веществ минерального происхождения уже приближаются, а в будущем могут превысить естественные возможности природы.
Совершенно новые перспективы в планете создания материалов с заданными свойствами открывает химия полимеры. В настоящее время трудно найти отрасль народного хозяйства, где бы ни применялись полимеры; из которых получены материалы с малой плотностью, высокой прочностью, устойчивостью к агрессивным средам, простатой переработки в изделия и т. д. Синтетические высокомолекулярные соединение получают из низкомолекулярных соединений путем полимеризации, полиприсоединении и поликонденсации.
По прогнозам полиолефины и в будущем будут играть решающую роль.
Гигантские молекулы обеспечили новыми материалами не только промышленности, но они помогли обуть и одеть человечество.
Предполагают, что в XXI в. на каждого человека будет выпускаться 9-12 кг волокна, причем максимальная доля синтетики составляет 70%.
Развитие химии полимеров обеспечило снижение расхода древесины на нужды мебельной промышленности и строительства. Создание композиционных материалов на основе полимеров и древесины позволило использовать не только малоценные породы, но и отходы древесины.
Таким образом, в настоящее время в нашем распоряжении имеется широкая гамма полимеров, которые продолжают завоевывать мир.
Однако при использовании полимерных материалов следует учитывать несколько весьма важных обстоятельств. По своему качественному составу большинство полимеров относятся к органическим соединениям, содержащие значительное количество углерода и водорода; поэтому они горючи (это 1-й отрицательный фактор). Термическое разложение при горении полимеров часто сопровождается выделением большого количества токсичных газообразных соединениях. (CO, HCN, HCl и др.; это 2-й отрицательный фактор).
Важной экологической проблемой связанной с внедрением полимерных материалов является скопление твердых отходов, среди которых значительную часть составляют полимерные пластмассы, обладающие чрезвычайно высокой устойчивостью.
В России, например, количество полимерных отходов сопоставимо с ежегодным объемом выпуска пластмасс. С отходами полимерных материалов за частую невозможно справиться, поэтому, например, создаются полимерные материалы со специальными добавками. Отслужив свой век, эти материалы легко деструктируют под действием света, тепла и специальных микробов [6,8].
2.2 Поливинилхлорид и материалы на его основе
Поливинилхлорид (ПВХ) один из наиболее широко применяемых полимерных материалов и объемы производства его неуклонно возрастают, так как растет спрос на изделия из него. Это связано с тем, что механические свойства ПВХ материалов меняются в очень широких пределах, например от полной гибкости (искусственная кожа) до значительной жесткости (строительные профили), и зависят от состава исходной полимерной композиции. ПВХ материалы химически инертны и имеют хорошую свето- и погодостойкость. Они имеют одни из самых высоких электроизоляционных свойств среди полимеров и относятся к группе трудногорючих материалов. Снижение горючести у пластифицированных композиций достигается путем применения антипиренов.
Многие экстремистски настроенные члены различных организаций по защите окружающей среды и производители аналогичных материалов заявляют, что:
-
ПВХ высокогорючий материал;
-
Изделия из ПВХ во время эксплуатации выделяют большое количество ядовитых веществ, в том числе высокотоксичный винилхлорид (ВХ);
-
Производство и утилизация ПВХ приводит к образованию супертоксичных полихлорированных дибензопарадиоксинов (ПХДД) и бензофуранов (ПХДФ);
-
Изделия из ПВХ невозможно повторно использовать;
-
Производство и потребление ПВХ сопряжено с большими энергетическими затратами.
Для оценки правомочности таких заявлений приведем некоторые данные научных исследований и эксплуатации изделий из ПВХ.
Однако уже отмечалось ранее, что ПВХ – трудногорючий материал. Он горит только непосредственно в зоне огня. Вне пламени ПВХ гаснет. Благодаря этому его применяют в качестве полимерного замедлителя горения. В современных ПВХ пластиках применяются антипирены повышенной эффективности и с минимальным негативным воздействием на окружающую среду.
Винилхлорид из ПВХ и изделий из него не выделяется ни при каких условиях. Современные предприятия производят ПВХ с содержанием остаточного ВХ менее 10 млн-1. более того на некоторых производствах этот показатель снижен в 10 раз и составляет 1 млн-1. При разложении ПВХ (терморазложение, старение) деполимеризации не происходит.
Ученые-эксперты из университетов Германии и Швеции в течение трех лет изучали разные ПВХ продукты при захоронении их в земле. При этом определяли возможность выделения ВХ и аддитивов в процессе деградации ПВХ в земле. Результаты показали, что ПВХ устойчив в условиях захоронения в земле. Выделение пластификаторов и стабилизаторов может иметь место, но в таких количествах, которые не представляют опасности для окружающей среды, а ВХ не выделяется вообще.
Существуют данные о выделении свинца в воду из ПВХ труб, содержащих свинцовый термостабилизатор. Установлено, что содержание свинца в воде даже после использования ряда провоцирующих условий было в 8-10 раз меньше ПДК, установленной ВОЗ.
В процессе производства и сжигания ПВХ в окружающую среду могут выделяться ПХДД и ПХДФ. Однако эмиссия этих веществ находится на существенно более низком уровне, чем считалось ранее. Исследования, выполненные в Голландии, показали, что эмиссия диоксинов при неконтролируемом сжигании ПВХ и древесины составляет 6,67 мкг на тонну. Для сравнения, при неконтролируемом сжигании чистой древесины этих веществ образуется 3-28 мкг на тонну. На количество образующихся ПХДД и ПХДФ при сжигании прежде всего влияет конструкция печей и рабочие характеристики процесса, а вовсе не присутствие или отсутствие ПВХ в горящем материале.















