112785 (616597), страница 2
Текст из файла (страница 2)
Бажано по можливості не використовувати формули логарифмування добутку, частки, і парного степеня, якщо це призводить до звуження області визначення рівняння, а користуватися цими формулами тільки справа наліво, що приводить до розширення області визначення (в цьому випадку можлива хіба що поява сторонніх коренів, але їх можна відсіяти перевіркою).
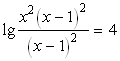
Приклад: Розв’язати рівняння
Розв’язання: На області визначення рівняння
це рівняння рівносильне рівнянню
(2)
яке в свою чергу рівносильне рівнянню
(3)
Усі перетворення рівносильні, бо на області визначення даного рівняння можна виконувати перетворення (1) - (2) - (3) і обернені перетворення (3) - (2) - (1). Скоротивши в рівнянні (3) дріб на
(
на області визначення), дістанемо рівносильне рівняння:
(4).
Це рівняння за означенням логарифма рівносильне рівнянню
Звідси
. Оскільки ці значення входять в область визначення рівняння і ніяких додаткових обмежень у нас не було, то
- корені даного рівняння.
Слід звернути увагу учнів на те, що при розв’язуванні логарифмічних рівнянь можна користуватися не тільки рівносильними перетвореннями, але й діставати рівняння-наслідки (коли ми гарантуємо тільки прямі перетворення і не гарантуємо обернені). Учні повинні розуміти, що при використанні рівнянь-наслідків можлива поява стороніх коренівь і тому в цьому випадку перевірка є складовою частиною розв’язування рівняння.
Слід звернути увагу учнів на те, що певної акуратності потребує використання формули переходу від однієї основи до іншої:
Якщо
і
-числа, що недорівнюють одиниці, то цю формулу можна застосовувати і зліва направо і справа наліво (при
), тобто використання цієї формули при розв’язуванні рівнянь або нерівностей приводить до рівняння (нерівності), рівносильного даному. Якщо ж новою основою логарифма є вираз із змінною, то може виявитися, що цей вираз на області визначення початкового рівняння дорівнюватиме одиниці, а після застосування формули переходу від однієї основи до іншої вираз, що стоїть в основі логарифма, вже не дорівнюватиме одиниці. В цьому випадку застосування формули переходу від однієї основи до іншої може привести до втрати тих коренів початкового рівняння, для яких нова основа логарифма дорівнює одиниці.
Підсумовуючи ці міркування, робимо висновки: якщо при переході від однієї основи логарифмів до іншої нова основа - число (звичайно більше від нуля і не дорівнює одиниці), то дістанемо рівняння, рівносильне даному на його області визначення.
Якщо доводиться використовувати вираз із змінною як нову основу логарифма, то щоб не втратити корені рівняння, необхідно розглядати два випадки:
вираз, який береться як нова основа, дорівнює одиниці (якщо це можливо на області визначення розглядуваного рівняння), і перевіряємо, чи будуть ці значення змінної, при яких вираз дорівнює одиниці, коренями даного рівняння;
нова основа не дорівнює одиниці - в цьому випадку користаємося формулою переходу від однієї основи логарифма до іншої.
Бажано звернути увагу учнів на те, що деякі логарифмічні рівняння, які зведені до вигляду
можна розв’язати за допомогою розкладання лівої частини рівняння на множники.
Досить часто зустрічаються рівняння, члени яких є степенями, в яких основа і показник степеня - функції від змінної величини.
Приклад: Розв’язати рівняння
.
Розв’язання: Область визначення:
. Тоді ліва і права частини цього рівняння додатні на області визначення. Прологарифмуємо обидві частини за основою 4:
Дістаємо рівняння, рівносильне даному на області визначення:
Позначимо
і, врахувавши, що
, маємо:
Звідки
або
.
Оскільки ці значення входять до області визначення, то
і
- корені даного рівняння.
Підводячи підсумки розв’язування цього рівняння, бажано звернути увагу учнів на те, що в цьому рівнянні (в його лівій частині) змінна входить і в основу, і в показник степеня. Доцільно зафіксувати в зошитах учнів, що рівняння, в якому змінна входить і в основу, і в показник степеня, найчастіше розв’язується логарифмуванням обох частин рівняння.
Слово «найчастіше» присутнє в наведеному правилі в зв’язку з рівняннями типу:
.
На його області визначення
це рівняння рівносильне рівнянню:
,
яке за основною логарифмічною тотожністю рівносильне (на області визначення) рівнянню
.
Звідси
(не входить до області визначення) або
(входить до області визначення і є коренем).
Після відпрацювання цього правилу на прикладах доцільно запропонувати учням більш загальний підхід (він, як правило, використовується тоді, коли немає можливості взяти логарифм від обох частин рівняння) - перехід від степеня, в основі якого стоїть вираз із змінною, до степеня з числовою основою
за формулою
, де
,
.
Зауваження. Очевидно, що при
цю формулу можна застосовувати як зліва направо, так справа наліво. Якщо ми використаємо цю формулу при розв’язуванні рівняння, на області визначення якого
, то ми гарантуємо і прямі, і обернені перетворення, тобто гарантуємо рівносильність утвореного рівняння на області визначення даного.
Необхідно звернути увагу учнів на те, що ідея логарифмування обох частин рівняння (або нерівності) є досить плідною і може використовуватись для розв’язування різних типів рівнянь (нерівностей), починаючи з найпростіших показникових типу
(за означенням логарифма або прологарифмувавши обидві частини за основою 2, маємо:
, тобто
).
Враховуючи те, що в останні 40-50 років у старших класах середньої школи реалізується функціональний підхід до рівняння, будемо вважати, що степені, в яких і основа, і показник степеня є функціями від змінної величини, означені тільки для тих значень змінних, при яких їх основи додатні (якщо в самій умові задачі не сказано протилежне).
3.2 Логарифмічні нерівності
Розв’язуючи логарифмічні нерівності, доцільно використати загальну схему рівносильних перетворень нерівностей. Ця схема іноді дає надмірну систему обмежень, яку можна суттєво спростити. Для рівносильності рівнянь надмірність системи обмежень майже не впливає на об’єм роботи щодо розв’язування цих рівнянь - можна не знаходити відповідні значення змінної з цих обмежень, а тільки перевіряти для кожного знайденого кореня. Розв’язком нерівності, як правило, є інтервал (або кілька інтервалів), які містять нескінчену множину чисел, а всі їх перевірити неможливо. Отже для розв’язування нерівності доведеться знаходити відповідні значення змінної з усіх записаних обмежень, і тому чим менше залишиться цих обмежень, тим краще. Бажано запропонувати учням не знаходити окремо область визначення нерівності, а спочатку записувати повну систему обмежень і рівносильну нерівність, а потім намагатися спростити утворену систему.
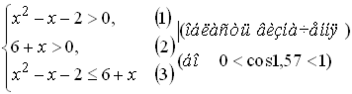
Приклад: Розв’язати нерівність
Розв’язання: Оскільки
, то
. Тоді функція
- спадна, і наша нерівність рівносильна системі:
Нерівність (2) є наслідком нерівностей (3) і (1)
. Отже, ця система рівносильна системі, що складається тільки з нерівностей (1) і (3), тобто
Розв’язуючи окремо нерівності (1) і (3), дістаємо: для
Тоді загальним розв’язком системи буде
.
Слід звернути увагу учнів на те, що при розв’язуванні логарифмічних нерівностей можна використовувати всі ті прийоми, які використовувалися при розв’язуванні логарифмічних рівнянь.
Розв’язування деяких нерівностей за допомогою рівносильних перетворень досить громіздке, і тому використовуємо для розв’язування деяких нерівностей узагальнений метод інтервалів.
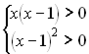
Приклад: Розв’язати нерівність.
Розв’язання: Методом інтервалів.
Область визначення.
Корені
.
Це рівняння на області визначення рівносильне рівнянню
Звідки
або
(входять до області визначення).
Позначимо корені на області визначення (на малюнку) і знайдемо знак у кожному інтервалі, на які розбивається область визначення.
+ - + - - +
0
1
2 3
Відповідь:
4. Фрагменти уроків з використанням мультимедійної дошки та проектора.
1.Запускаємо слайд, на якому учням повідомляється тема і мета заняття.
2. математичний диктант (показуємо слайд, а учні самостійно записують відповіді на листочках)
3. наступний слайд учні та вчитель розглядають усно
4. далі вчитель пропонує учням по черзі виходити і на мультимедійній дошці розв’язувати завдання.
5. далі хтось один розв’язує рівняння біля дошки а всі інші – в зошитах















