110403 (616224), страница 2
Текст из файла (страница 2)
Рисунок 2.7 Зависимость дисперсии процесса на выходе первого линейного фильтра от его полосы пропускания.
Рисунок 2.8 Зависимость времени корреляции процесса на выходе первого линейного фильтра от его полосы пропускания.
2.3 Анализ прохождения сигнала через нелинейный элемент (НЭ)
Нелинейный элемент представляет собой двухполупериодный квадратичный детектор с характеристикой
Корреляционная функция отклика нелинейного элемента – это математическое ожидание произведения двух значений отклика НЭ в два различных момента времени
. Учитывая, что для гармонического колебания с равномерно распределенной фазой и нормального шума с нулевым средним все нечетные моменты равны нулю, получаем корреляционную функцию отклика НЭ в следующем виде:
,
где
,
,
.
Различные слагаемые выражения для корреляционной функции характеризуют взаимодействие на нелинейности сигнала с собой, шума с собой, а также взаимодействие сигнала и шума. Согласно [1], корреляционная функция отклика детектора при воздействии суммы узкополосного сигнала
и стационарного нормального шума с
определяется выражением:
. (2.13)
Подставив в (2.13) выражения для сигнальной и шумовой составляющих, получаем:
(2.14)
Математическое ожидание и дисперсию отклика НЭ получим аналогично нахождению математического ожидания и дисперсии первого линейного фильтра:
,
.
Спектр мощности на выходе НЭ находится как прямое преобразование Фурье от корреляционной функции отклика по формуле (2.1) и имеет вид, показанный на рисунке 2.9.
Рисунок 2.9 Спектр мощности на выходе нелинейного элемента.
Поскольку второй линейный фильтр – фильтр нижних частот (ФНЧ),
то составляющие корреляционной функции отклика, соответствующие второй гармонике несущей частоты, можно отбросить. Укороченная (низкочастотная составляющая) корреляционная функция отклика НЭ имеет следующий вид:
(2.15)
Берем прямое преобразование Фурье от укороченной корреляционной функции и получаем низкочастотную составляющую спектра мощности на выходе НЭ:
(2.16) Графики низкочастотной составляющей спектра мощности на выходе НЭ и соответствующей ей составляющей корреляционной функции приведены ниже.
Рисунок 2.10 Огибающая корреляционной функции сигнала на выходе нелинейного элемента.
Рисунок 2.11 Низкочастотная составляющая спектра мощности сигнала на выходе нелинейного элемента
На основании выражений
и
, а также (2.6) и (2.7) время корреляции и эффективная полоса низкочастотной составляющей процесса на выходе НЭ определяется следующим образом:
,
.
Графики полученных зависимостей показаны ниже.
Рисунок 2.12 Зависимость дисперсии процесса на выходе НЭ от полосы пропускания первого линейного фильтра.
Рисунок 2.13 Зависимость времени корреляции процесса на выходе НЭ от полосы пропускания первого линейного фильтра.
Рисунок 2.14 Зависимость среднего значения отклика НЭ от полосы пропускания первого линейного фильтра.
2.4 Анализ прохождения сигнала через второй линейный фильтр
Второй линейный элемент радиотехнического звена – фильтр низких частот. АЧХ второго линейного фильтра имеет вид:
.
График АЧХ второго линейного фильтра показан на рисунке 2.6.
Рисунок 2.15 АЧХ второго линейного фильтра.
Пользуясь (2.5), спектр мощности сигнала на выходе второго фильтра можно определить следующим выражением:
(2.17)
График спектра мощности на выходе второго линейного фильтра показан на рисунке 2.16.
Рисунок 2.16 Спектр мощности на выходе ЛФ2.
Корреляционная функция на выходе второго линейного фильтра определяется согласно (2.2) как обратное преобразование Фурье от спектра мощности (2.17). Вычисления интегралов подобны вычислениям, проведенным при нахождении корреляционной функции отклика первого линейного фильтра. Здесь мы также используем свойства дельта – функции при нахождении постоянной составляющей, и теорию вычетов при нахождении флуктуационной составляющей. Особенностью взятия вычетов является здесь то обстоятельство, что появляется полюс кратности два. При его вычислении необходимо взять производную от подынтегральной функции. Еще одна особенность подынтегральных выражений в том, что при = кратность некоторых полюсов становится равной трем, и выражения изменяются. При построении графиков точки = необходимо избегать. Конечное выражение для корреляционной функции выглядит следующим образом:
(2.18)
График корреляционной функции отклика второго фильтра показан на рисунке 2.17.
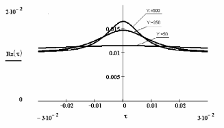
Рисунок 2.17 Корреляционная функция сигнала на выходе звена.
Пользуясь соотношениями (2.3) и (2.4) получим математическое ожидание и дисперсию процесса:
.
На основании выражений
и
, а также (2.6) и (2.7) время корреляции и эффективная полоса процесса на выходе второго линейного фильтра определяется следующим образом:
2.5 Расчет основных параметров и зависимостей
При расчетах приняты следующие значения параметров :
,
,
,
(для упрощения расчетов),
,
.
При этом математические ожидания, дисперсии, времена корреляции и эффективные полосы процессов принимают следующие значения:
-
На выходе первого линейного фильтра:
,
,
,
;
-
На выходе нелинейного элемента:
,
,
,
;
-
На выходе второго линейного фильтра:
,
,
,
.
Графики основных зависимостей показаны ниже.
Рисунок 2.18 Зависимость спектральной плотности мощности отклика второго линейного фильтра от его полосы пропускания.
Рисунок 2.19 Зависимость корреляционной функции отклика второго линейного фильтра от его полосы пропускания.
Рисунок 2.20 Зависимость дисперсии отклика второго линейного фильтра от его полосы пропускания.
Рисунок 2.21 Зависимость времени корреляции отклика второго линейного фильтра от его полосы пропускания.
При расширении полосы пропускания второго линейного фильтра им выделяется большая часть спектра входного, поэтому спектр выходного процесса расширяется. Когда полоса фильтра становится равной полосе процесса, возрастание практически прекращается. По этим же соображениям происходит увеличение дисперсии и сужение корреляционной функции.
Рисунок 2.22 Зависимость дисперсии отклика второго линейного фильтра от полосы пропускания первого линейного фильтра.
Рисунок 2.23 Зависимость эффективной полосы отклика второго линейного фильтра от полосы пропускания первого линейного фильтра.
При расширении полосы пропускания первого фильтра полоса выходного процесса также расширяется вплоть до полосы пропускания второго фильтра, а затем не изменяется, что соответствует полученным зависимостям. На рисунке 2.23 при = наблюдается скачок, что обусловлено кратностью три одного из полюсов в выражении для спектра мощности отклика второго линейного фильтра. При этом изменяются выражения для характеристик случайного процесса.
3 Заключение
В результате проделанной работы произведен расчет прохождения смеси белого шума и высокочастотного узкополосного колебания через типовое радиотехническое звено на уровне корреляционных функций и спектральных плотностей мощности. Получены основные характеристики процессов на выходе каждого элемента звена, зависимости характеристик этих процессов от параметров звена.
Наибольшая помехоустойчивость, как следует из результатов работы, достигается при минимальной ширине полос пропускания избирательных элементов или, что одно и то же, максимальной добротности. При этом достигается максимальное подавление шумовой составляющей сначала в тракте высокой частоты, а затем, после нелинейного преобразования на детекторе, в тракте низкой частоты. Из полученных зависимостей (смотри графики) следует, что при стремлении полос ФВЧ и ФНЧ к нулю происходит уменьшение до нуля дисперсии и эффективной полосы процесса на выходе звена; время корреляции стремится к бесконечности.
Полученные результаты позволяют смоделировать прохождение полезного сигнала на фоне реальных шумов, имеющих место на практике, через типовые радиотехнические устройства. На основе полученных результатов возможно определить требуемое для заданной помехоустойчивости отношение сигнал-шум на входе радиотехнической системы, прогнозировать возможную реализацию и поведение откликов отдельных элементов этих устройств, что является актуальным вопросом в проектировании современных радиотехнических систем.
Приближения и допущения, принятые в работе, являются обычными и приемлемыми при расчете реальных радиотехнических устройств. Более точный анализ оказывается гораздо более трудоемким, а зачастую просто невозможным.
Список использованной литературы.
-
Бернгардт А.С. Основы статистической радиотехники. Методическое пособие. Томск, ТИАСУР - 1993.
-
Левин Б.Р. Теоретические основы статистической радиотехники. М., «Сов. Радио», 1974.
















