110302 (616221), страница 4
Текст из файла (страница 4)
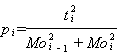
i – порядковый номер невязки из группы невязок, соответствующих интервалам счисления менее 2 часов,
j – порядковый номер невязки из группы невязок, соответствующих интервалам счисления более 2 часов,
n1 и n2 – rколичество невязок Ci и Cj соответственно,
pci и pcj – веса невязок Ci и Cj соответственно.
Вероятнейшее значение коэффициента точности счисления, рассчитывается как среднее взвешенное значение из Кс1 и Кс2.
(3.2.3)
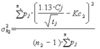
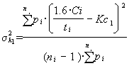
где к1 и к2 – СКП частных коэффициентов Кс1 и Кс2.
(3.2.4) (3.2.5)
Где pi и pj - веса
(3.2.6)
Точность вычисленного по формуле (3.2.3) коэффициента Кс оценивается СКП
(3.2.7)
Расчет по формулам (3.2.1) – (3.2.7) автоматизируется с помощью программируемого микро калькулятора, однако в связи с тем, что все большее распространение на судах получают персональные компьютеры, автором курсового на основании данных примера [2 стр87] с в формате программы Excel (Приложение №15) на основании этих же формул составлены таблицы для расчетов коэффициента счисления и СКП по двадцати невязкам при плавании между обсервациями менее и по двадцать невязкам при плавании между обсервациями более 2 часов. При этом в ячейки, обозначенные зеленым цветом заносятся исходные данные, а ячейки, обозначенные желтым цветом содержат формулы. Колонки 6-9 обоих таблиц являются вспомогательными для облегчения ввода формул и при использовании могут быть скрыты. Расхождения между конечными результатами первоисточника и полученными мною во втором знаке после запятой обусловлены разной точностью вычисления ПМК и ПК.
В качестве примера составим графический план коррекции счисления для участка плавания в открытом океане после последнего поворота, когда единственными возможными средствами определения места судна останутся РНС “Омега” и среднеорбитальные спутники. Фазовая гиперболическая РНС “Омега” является глобальной сверхдлинноволновой системой. Основная ошибка в измерении навигационного параметра вызывается суточными и сезонными вариациями фазы колебаний, которые зависят от высоты Солнца в точке наблюдений и на трассе распространения радиоволн. Днем, когда трасса полностью освещена, СКО измерения разности фаз равна порядка +/-(0,04-0,05) фазовых циклов, ночью +/-(0,06-0,09) ф.ц. [19 стр 230-231 ]. Согласно [3 стр70] +/_ 0,1 и 0,15 ф.ц. соответственно. Большие ошибки наблюдаются в период захода-восхода Солнца (0,3 ф.ц. и более). Расчет СКП для всех пяти значений СКО приведен в Приложении 16, выполненного в EXCELe. Там же также произведен расчет и построен график необходимого времени коррекции счисления. При вычислении использовались следующие формулы с примерами расчета первого значения колонки:
СКО определения разности расстояний
(
3.2.8)
Радиальная СКП места
(3.2.9)
СКП счислимого места через время t.
(3.2.10)
Коэффициент погрешности счисления может принимать значения от 0,5 до 2,5. При счислении продолжительностью до полусуток можно применять линейную зависимость линейную зависимость погрешности счисления от времени, принимая Кс=1,3 [2 стр. 105]
По результатам расчетов и построений можно сделать вывод о том, что данная РНС удовлетворяет современным требования ИМО к точности определения (М=2 мили) только при самых благоприятных условиях. При этом коррекцию счисления после произведенных по ней обсерваций необходимо производить днем не позднее чем через 1 час 16 минут, а ночью не позднее чем через 22 минуты.
Точность измерения визуальных навигационных параметров.
Магнитный компас благодаря высокой надежности и постоянной готовности является обязательным на всех судах, выходящих в море. При подготовке к плаванию проверяется свободное вращение пеленгатора, правильность установки его призмы и нитей, годность таблицы девиации и соответствие записанных в ней и фактических положений магнитов девиационного прибора в нактоузе. Пузырь воздуха над поплавком мартушки увеличивает ее застой, поэтому переворачивая котелок такой пузырь перегоняют в нижнюю камеру котелка. После этого проверяют картушку на застой, отклоняя ее любым магнитом в обе стороны на 1-20, фиксируя затем остаточные отклонения. Если угол застоя превышает четверть градуса, то заменяется шпилька.
Гирокомпас подготавливается к плавания согласно Правил технической эксплуатации, а также соответствующей инструкции для гирокомпаса, установленного на судне. Независимо от типа гирокомпас запускают заблаговременно (не менее чем за 6 часов до отхода судна), чтобы он пришел в меридиан. После этого производится согласование всех репитеров, курсографа и других сельсин-приемников (авторулевой, РЛС, радиопеленгатор и т.п.). с основным прибором, сличается с магнитным компасом, проверяется согласование перьев курсографа, ставится отметка судового времени с датой на его ленте. До начала движения определяется поправка ГК по пеленгам удаленных ориентиров, нанесенных на карту. Измерениями на карте переходим к истинным пеленгам ориентиров и рассчитываем поправку для каждого из них. ГК = ИП – ГКП. Среднее из полученных значений поправок и принимается в качестве постоянной поправки гирокомпаса. При выходе из порта можно проверить контрольные определения постоянной поправки по всем пересекаемым створам. В плавании необходимо следить за своевременной перестановкой корректора гирокомпаса по широте, а также – при ее изменении – по скорости. Если составляющая скорости судна вдоль меридиана не более 15 узлов, то установка корректора по широте исключает скоростную девиацию с погрешностью не более 0,10.
Лаг подготавливается к работа в соответствии с требованиями инструкции по его эксплуатации. Работы в шахте лага одному без освещения и страховки сверху запрещено. Когда в шахте нет людей она должна быть герметически задраена. Пускать и выключать лаг можно только по разрешению капитана. При подготовке лага к плаванию проводится его осмотр, пробное включения электросхемы по инструкции, установка нуля, проверка соответствия установки корректора записям в формуляре и наличие таблицы поправок у репитеров, заполняются формуляры.
Как бы тщательно не велось счисление пути судна, оно не может обеспечить безопасность плавания. Поэтому определение места судна в море по ориентирам с известными координатами является необходимым условием обеспечения безопасности. Однако результаты измерений, используемых при визуальном определении места судна всегда содержат систематические и случайные ошибки. Возможны также и грубые ошибки – результат промахов в измерениях. Все способы определения места судна в море основаны на измерении расстояния и направления (или их комбинации). Основная характеристика точности измерения – стандартная круговая ошибка , характеризующая радиус вероятного (68,3%) места нахождения судна. Наряду с СКО применяется и предельная ошибка (99%) равная 3*. Измерения с ошибкой более предельной расцениваются как промахи и отвергаются. Для определения СКО рекомендуется метод размаха. Для этой цели при стоянке судна на открытом рейде выполняется не менее пяти измерений навигационного параметра. Затем определяется размах R, являющийся разностью между измеренным максимальным и минимальным значениями. Тогда стандартная ошибка одного измерения =kп*R, а СКО серии измерений Е=Кп*R. Коэффициенты выбираются из таблицы
| Количество Измерений | 5 | 6 | 7 | 8 | 9 | 10 |
| кп | 0,430 | 0,395 | 0,370 | 0,351 | 0,337 | 0,325 |
| Кп | 0,192 | 0,161 | 0,140 | 0,124 | 0,112 | 0,103 |
Например произвели пять измерений пеленга огня Румели (Приложение 7 точка 8) и получили следующие значения : 225,10 , 225,30, 224,80, 225,00, 224,90.
Тогда размах R= 225,30 – 224,80 = 0,50
Для пяти измерений коэффициенты равны 0,430 и 0,192
=0,430 * 0,50 = 0,20 Е=0,192 * 0,50 = 0,10
Для ориентировочного суждения о точности измерения навигационного параметра служит следующая таблица:
| СКО | Предельная | |
| Визуальный пеленг при хорошем состоянии моря при сильной качке | +/-(0,2-0,50) +/-(2-3)0 | +/-(0,6-1,50) +/-(6-9)0 |
| Прокладка пеленга | +/-0,20 | +/-0,50 |
| Вертикальные углы | +/-2’ | +/-6’ |
| Прокладка горизонтального угла | +/-(0,1-0,20) | +/-(0,3-0,60) |
В качестве ориентировочных стандартных значений неизвестных систематических ошибок можно принимать для пеленгов =+/-(0,5-10), для углов измеренных секстаном =+/-(1-1,5’).
При использовании визуального определения по нанесенным на карту и опознанным ориентирам выбирают по возможности наиболее близкие к судну и хорошо видимые с места наблюдения. Результаты наблюдений а также время по судовым часам и отсчет лага на момент наблюдения подлежат немедленному занесению в судовой журнал. Обработка результатов осуществляется в тетради штурманских расчетов.
Рассмотрим методы визуального наблюдения, используемые для определения места судна на море.
Способ определения по двум пеленгам – является одним из наиболее распространенных в навигации. Сущность его состоят в следующем. В быстрой последовательности берут пеленги двух предметов. Исправив их поправками компаса, прокладывают на карте. В точке пересечения пеленгов получаем место судна. При этом для повышения точности определения желательно чтобы угол между пеленгами был в пределах 30-1500, но лучше ближе к 900. Первым нужно брать пеленг ориентира, расположенного ближе к диаметральной плоскости судна. При скорости судна менее 18 узлов и прокладке на путевой карте пеленги, измеренные в течение одной минуты можно считать взятыми из одной точки. Если же прокладка осуществляется на картах более крупного масштаба, то тогда проводится измерение П11, П2 и снова П12. После чего рассчитывается средний П1ср=(П11+П12)/2. На карте откладывается П1ср и П2. При этом судно будет находиться в точке пересечения пеленгов на момент взятия пеленга П2. Если обсервация выполнена на конец вахты, при смене курса, постановке на якорь, в момент начала или конца дрейфа, то в журнале записывается (например): 12.00 , ОЛ=12,5 , ГКП маяка Ближний 400 , ГКМ маяка Дальний 1300 =…0…’, =…0….’, С=….0 - ….. миль.
Чтобы убедиться в достоверности места выполняется несколько определений. Если обсервованные точки находятся на одной прямой и на расстоянии, пропорциональном изменения отсчета лага, то место считается достоверным.
Оценка точности определения места произведена по формуле (2.3.1) подраздела 2.3 данного курсового и для точки составляет №8 Приложения №7 составляет R=0,171кбт (при определении по магнитному компасу).
Способ определения по трем пеленгам – один из наиболее точных. Для этого в быстрой последовательности один за другим берутся пеленги предметов А, В и С, которые после исправления их поправкой компаса откладываются на карте. При выборе ориентиров для пеленгования для повышения точности определения места судна желательно, чтобы углы между ними лежали в пределах 60-1200, а лучше равнялись 1200. Если расстояние до ориентиров более 10 миль, а измерение всех пеленгов произведено менее чем за половину минуты, то можно считать, что они сделаны из одной точки. Если это условие не соблюдается, то берутся пять пеленгов трех ориентиров в последовательности КПА1, КПВ1, КПс, КПВ2, КПА2, после чего вычисляется средние арифметические пеленги на объекты А и В, которые вместе с пеленгом ориентира С откладываются на карте на момент взятия последнего. Однако из-за неизбежного действия ряда факторов пеленги обычно не пересекаются в одной точке, а образуют треугольник погрешности. В зависимости от знака этих погрешностей реальное место нахождения судна может оказаться как внутри, так и вне пределов этого треугольника. Для решения этой проблемы сознательно все три пеленга изменяются на 2-40 и на карте по новым пеленгам строится новый треугольник погрешности, после чего их соответствующие вершины соединяются. В точке пересечения этих трех линий и будет находится истинное место судна.















