104041 (615644), страница 7
Текст из файла (страница 7)
Розглянемо приклад, що ілюструє дану невідповідність. Нехай фірма, чиї витрати на капітал рівні 12%, розглядає два взаємовиключних проекти, X і Y, з наступними характеристиками (див табл. 19):
Таблиця 19
Вихідні дані проектів.
|
| Проект X (великий) | Проект Y (маленький) |
| Первісні інвестиції, $ | 500.000 | 100.000 |
| Щорічні грошові надходження | 150.000 | 40.000 |
| Термін життя проекту, роки | 10 | 10 |
Порівняємо проекти X і Y по всім трьох критеріях:
Таблиця 20
Порівняння проектів.
|
| Проект X | Проект Y |
| Продисконтовані грошові надходження, $ | 847.533 | 226.008 |
| Грошові відтоки | 500.000 | 100.000 |
| NPV | 347.533 | 126.008 |
| Ранжирування по NPV | 1 | 2 |
| PI | 1.695 | 2.26 |
| Ранжирування по PІ | 2 | 1 |
| IRR | 27.3% | 38.5% |
| Ранжирування по ІRR | 2 | 1 |
Отже, критерій NPV віддає перевагу проекту Х, у той час як ІRR і PІ - проекту Y. Перетинання Фішера знаходиться між 24% і 25%, NPV що відповідає цій крапці дорівнює $45,454. Яким чином вирішується даний конфлікт? Рішення залежить від умов, у яких фірма приймає рішення про інвестиції. Якщо всі шість перерахованих вище передумов виконуються, то конфлікт повинний бути вирішений на користь проекту, кращого по NPV, тому що проект, максимизуючий NPV, також максимізує добробут акціонерів, тобто ринкову ціну простих акцій.
Однак більш ймовірна ситуація, коли які-небудь передумови не виконуються; у цьому випадку правило модифікується. Якщо існує обмеження капіталу, варто оцінювати доходи на граничне (додаткове) капіталовкладення у великий проект. Якщо граничне капіталовкладення у великий проект оцінюється позитивно всіма трьома критеріями, то великий проект може бути прийнятий за умови, що це додаткове капіталовкладення не може бути поміщене в будь-який інший проект чи проекти, що дають велику сукупну NPV.
Повернемося до нашого приклада:
Таблиця 21
Порівняння вихідних даних проектів.
|
| Проект Х | Проект Y | Граничні потоки, X-Y |
| Первісні інвестиції, $ | 500.000 | 100.000 | 400.000 |
| Щорічні грошові потоки, $ | 150.000 | 40.000 | 110.000 |
| NPV при 12% |
|
| 221.524 |
| PI |
|
| 1.554 |
| IRR, % |
| 24.4 |
Таким чином, згідно всім трьом критеріям додаткове капіталовкладення в $400,000 у проект Х виправдано створюваними додатковими доходами. Проект Х буде прийнятий, якщо в альтернативних проектах, куди можна вкласти додаткові $400,000, не буде створена сукупна NPV, більша ніж $221,524. Цю ж думку можна виразити інакше: якщо фінансові ресурси фірми обмежені $500.000, то проект Х повинний бути прийнятий, крім як у випадку, коли яка-небудь інша можлива комбінація проектів створить NPV, більше ніж $ 347,533 (NPV проекту Х).
По оцінці взаємовиключних проектів, що розрізняються послідовністю в часі грошових надходжень, також можуть виникнути конфлікти в ранжируванні проектів між критеріями NPV (чи PІ) і ІRR через різні передумови, що неявно припускають різну ставку, по якій реінвестуються проміжні грошові надходження. (Конфлікт між NPV і PІ виникнути в даному випадку не може, тому що обидва критерії використовують ту саму передумову про реінвестиції.) Розглянемо предмет такого конфлікту і способи його вирішення.
Нехай фірма з витратами на капітал, рівними 1%, порівнює два взаємовиключних проекти - А и В - з наступними характеристиками:
|
| Проект А | Проект В |
| Інвестиції, $ | 70.000 | 70.000 |
Грошові потоки:
| Період 1, $ | 10.000 | 50.000 |
| Період 2, $ | 20.000 | 40.000 |
| Період 3, $ | 30.000 | 20.000 |
| Період 4, $ | 45.000 | 10.000 |
| Період 5, $ | 60.000 | 10.000 |
| Разом грошові потоки | 165.000 | 130.000 |
Тепер порівняємо проекти А и В за всіма критеріями:
|
| Проект А | Проект В |
| Продисконтовані грошові надходження | $116,150 | $106,578 |
| NPV | $46,150 | $36,578 |
| PI | $1,659 | $1,523 |
| IRR | $27,2% | $37,55% |
Отже, проект В має значно більш високу ІRR, але меншу NPV, чим проект А. Таким чином, критерій ІRR віддає перевагу проектам, що створюють великі грошові надходження в перших роках функціонування (тобто такі грошові надходження значно збільшують внутрішню норму прибутковості в силу припущення про те, що вони можуть бути реінвестовані по цій високій ставці). Навпроти, критерій NPV припускає, що ставка реінвестицій не так велика (дорівнює витратам фірми на капітал) і, отже, не розглядає значні грошові надходження наприкінці функціонування проекту (а не на початку) як недолік. Тому, якщо реально грошові надходження можуть бути реінвестовані по ставці, що перевищує витрати на капітал, то критерій NPV недооцінює прибутковість інвестицій, а якщо ставка реінвестицій менше внутрішньої норми прибутковості, то критерій ІRR переоцінює реальну норму прибутковості проекту.
У нашому прикладі проект А створює більші сукупні грошові надходження ($165,000) за весь термін функціонування, чим проект В ($130,000), і у випадку невисокої ставки реінвестицій (такої як витрати на капітал) ця різниця більш ніж компенсує розходження в послідовності грошових надходжень між проектами. Тому, критерій NPV віддає перевагу проекту А при всіх ставках дисконтування, менше 16,1% (крапка перетинання Фішера).
Такого роду конфлікт між NPV і ІRR може бути вирішений шляхом використання в розрахунках ставки реінвестицій, що задається екзогенно. Для цього розраховується кінцева вартість інвестицій за умови, що проміжні грошові надходження можуть бути реінвестовані по визначеній ставці. Потім кінцева вартість може бути приведена до поточної, використовуючи звичайний метод NPV. Аналогічно, реальна внутрішня норма прибутковості може бути знайдена шляхом визначення ставки дисконтування, що зрівнює кінцеву вартість і продисконтовані грошові відтоки.
Кінцева вартість (TV) визначається наступним чином:
Де
St - грошові надходження від проекту наприкінці періоду r,
і - ставка реінвестицій;
n - термін життя проекту.
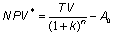
Отже, модифікована NPV(NPV*) буде розраховуватися так:
Де
k - витрати на капітал;
A0 - продисконтовані грошові відтоки.
Аналогічно буде розраховуватися модифікована ІRR(ІRR*):
За умови застосування модифікованих NPV* і ІRR конфлікти не будуть виникати. Дійсно, повернемося до нашого приклада і порівняємо проекти, використовуючи ставку реінвестування (а) і14% і (б) І=20%.
TVB=$191.101 (аналогічно)
Очевидно, що NPV*A > NPV*B і ІRR*A > ІRR*B, так що проект А очевидно більш кращий, чим проект В, якщо ставка реінвестицій дорівнює 14%.
(б) Проробивши аналогічні операції зі ставкою реінвестицій, рівної 20%, можна переконатися, що NPV*A < NPV*B і ІRR*A < ІRR*B, так що проект В очевидно більш кращий, чим проект А.
Таким чином, можна зробити наступний висновок: при даних графіках NPV із двох проектів більш кращим буде той, у якого ставка дисконтування, рівна ставці реінвестування проміжних грошових надходжень, відповідає більше значення NPV. Тому крапка перетинання Фішера, у якій переваги проектів міняються, відіграє надзвичайно важливу роль в аналізі чутливості по ставках реінвестування. У нашому прикладі проекту А віддається перевага доти, доки ставка реінвестування не перевищує 16,1%, а після переваги міняються на протилежні.
У такий спосіб вирішуються деякі можливі конфлікти між ранжировками взаємовиключних проектів за різними критеріями ефективності. Однак у ході оцінки ефективності інвестицій необхідно пам'ятати про можливість їхнього виникнення і не покладатися на упорядкування проектів лише по одному критерії, тим більше, що кожний із критеріїв підкреслює який-небудь особливий аспект фінансового стану проекту й у сукупності вони дають найбільш повну картину заможності інвестицій.
Методи аналізу вигод і витрат, розглянуті вище, застосовні до більшості проектів, у яких можна оцінити вигоди і витрати. Однак, існує ряд проектів, що не дозволяють вимірити вигоди. В останніх випадках аналіз ефективності витрат - єдиний спосіб оцінити варіанти проекту.
Аналіз ефективності витрат застосовується для вибору з ряду варіантів найменш дорогого проекту, що забезпечує виконання поставленої задачі. До таких проектів відносяться проекти в області охорони здоров'я, харчування, громадського управління, житлового будівництва, водопостачання і реалізовані проекти будуть мати місце протягом багатьох наступних літ. Для визначення цінності проекту недостатньо установити витрати на його здійснення і вишукати джерело фінансування. Перед ухваленням рішення про здійснення проекту необхідно оцінити всі аспекти проекту протягом усього періоду його існування. Оцінка витрат на проекти і позитивні результати проекту протягом усього періоду їхньої діяльності, що часто іменується калькуляцією витрат і доходів за термін служби, складає основу проектного аналізу. Оцінка всіх аспектів проекту за термін служби охороняє від проектів, що незаслужено заохочуються, що дають швидку віддачу, але характеризуються негативними довгостроковими результатами, а також допомагає уникнути упередження щодо проектів, що повільно набирають силу, але мають істотні довгострокові вигоди.
У принципі, створення моделі оцінки позитивних результатів досить нескладно. Потік витрат на проект дорівнює сумі продуктів за кожний рік існування проекту, потрібних для проекту ресурсів, що закуповуються чи маються в наявності для випуску продукції, і витрат на їхнє придбання. Витрати на експлуатацію, технічне обслуговування і поточний ремонт відбивають вартість матеріалів, робочої сили і послуг, необхідних для випуску продукції проекту і підтримка основних фондів проекту в гарному робочому стані. Вигоди оцінюються як приріст продукції проекту, помножений на ціну, що споживач чи користувачі платять чи погодяться платити за продукцію проекту. Наступні спрощені формули відносяться до одного виду ресурсів і одного виду продукції, що випускається.
Вигоди = Приріст * Ціна за будь-який рік обсягу продукції















