94443 (613106)
Текст из файла
Реферат
на тему:
"Эксперименты с ЯМР-спектрометром"
2009
Введение
Проанализируем экспериментальные методы и принципиальную схему ЯМР-спектрометра. Исторически более ранняя версия 5ШР - непрерывный 5ШР - в настоящее время в значительной степени вытеснена фурье-спектроскопией. Следует отметить, однако, что непрерывный ЯМР существенно проще для понимания, поскольку здесь, как в классической спектроскопии, поглощение электромагнитных квантов является функцией их частоты. В противоположность этому в импульсной спектроскопии ЯМР-сигнал зависит от времени и детектируется как спад свободной индукции. Только математическая процедура - преобразование Фурье - превращает этот сигнал во временном представлении в сигнал в частотном представлении, т.е. в частотный спектр, который, по крайней мере в простых случаях, эквивалентен спектру, получаемому при непрерывной регистрации. Однако фурье-спектроскопия по сравнению с методами непрерывной регистрации значительно превосходит их по своей чувствительности и гибкости. Как увидим в дальнейшем, ЯМР-спектрометры имеют много общих свойств, несмотря на то что, например, ЯМР-томограф по своему пространственному разрешению, очевидно, отличается от спектрометра высокого разрешения.
1. Непрерывный ЯМР
В простейшем варианте ЯМР-спектроскопии, который применялся первые двадцать лет с момента открытия этого метода для измерения спектров ЯМР высокого разрешения, образец помещается в однородное магнитное поле и подвергается непрерывному воздействию РЧ поля, которое варьируется по частоте в области существования линий поглощения ЯМР для данного образца. Этот метод называется cw-ЯМР.
В общем случае частота - во вращающейся системе координат - равны нулю):
Для очень слабых РЧ полей
сигнал поглощения описывается лоренцевой кривой. Сигналы поглощения и дисперсии представлены на рис. 1.12.
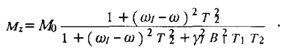
Если скорость поглощения энергии поля Bi сравнима по величине или превышает скорость спин-решеточной релаксации \1Т\, то амплитуда сигнала поглощения уменьшается, так как разность населенностей энергетических уровней N+ - N убывает в сравнении с равновесной, определенной законом распределения Больцмана. Одновременно возрастает ширина линии. Этот эффект называется насыщением. Конечно, степень насыщения зависит, с одной стороны, от времен релаксации Т] и Тг, а с другой - от величины поля В.
Количественно степень насыщения в резонансе:
может быть измерена через коэффициент насыщения s:
Вследствие насыщения амплитуда наблюдаемого сигнала поглощения при значении
выше Biopt убывает, где значение B/opt дается выражением
Значение Јiopt ограничивает область линейной зависимости амплитуды сигнала от поля В\). С ростом В\ возникающее уширение линий требует введения коэффициента
сигнала поглощения представлены на рис.
2. Импульсный ЯМР
В простейшем случае схема проведения импульсного ЯМР-эксперимента выглядит следующим образом: 90°-ный импульс поворачивает вектор намагниченности М в плоскость ху и затем проводится наблюдение спада свободной индукции. На экране осциллографа спад свободной индукции имеет вид функции времени f. Если проводится регистрация одиночного сигнала ЯМР, например, сигнала водорода воды, и значение ш в точности совпадает с резонансной частотой
- просто убывающая экспоненциальная функция. Этой экспоненциально убывающей функции можно поставить в соответствие функцию
в частотном пространстве. Форма линии при этом является лоренцевой. Обе эти функции - во временной и частотной областях - связаны между собой преобразованиями
Эти преобразования по имени французского математика Жана Батиста де Фурье называются фурье-преобразованиями.
Типичное значение длительности 90°-ного импульса для ЯМР-спектроскопии высокого разрешения по порядку величины равно 10~5 с. В отличие от непрерывного РЧ излучения, спектр такого импульса не будет монохроматическим, он включает в себя определенную частотную область слева и справа от частоты заполнения импульса О). Соответствующий частотный спектр получают в результате фурье-преобразования этого импульса, который для прямоугольного импульса шириной
может быть описан функцией следующего вида:
Это частотное распределение всегда будет тем шире, чем меньше 2 А г, т.е. в предельном случае имеем бесконечно узкий импульс, в частотной области и функция f во временной области должны в равной степени содержать такую информацию. Однако человеческий глаз и мозг могут гораздо лучше различать спектральные линии в частотной области. На рис.1.14 в качестве примера приведен такой спектр во временной и частотной областях, состоящий из двух линий.
Успехи импульсной спекроскопии ЯМР по сравнению с непрерывными методами в основном связаны с ее большей чувствительностью. В cw-спектроскопии в каждый данный момент времени излучается одна частота, и соответственно возбуждаются только те ядерные спины, для которых эта частота является резонансной. Очевидно, что такой метод регистрации с точки зрения затрат времени является мало эффективным, так как сигналы детектируются при прохождении резонансной линии. В отличие от этого в ЯМР с фурье-преобразованием одновременно возбуждается и детектируется весь спектр. Это позволяет также улучшить значение отношения сигнал/шум, поскольку при этом складывается большое число спектров.
Как и в любом физическом эксперименте, сигнал прямо пропорционален числу п накапливаемых процессов измерения, а статистический шум пропорционален п1^2, так что отношение сигнал/шум при увеличении п возрастает пропорционально п1^2:
Так как для отдельной последовательности, состоящей из РЧ импульса и спада свободной индукции, необходимо примерно 1 с, то за 10 ООО с можно зарегистрировать 10 ООО накоплений и после фурье-преобразования иметь 100-кратное улучшение отношения сигнал/шум по сравнению с тем, которое достигается при одном накоплении. Правда, выигрыш в отношении сигнал/шум, если речь идет о регистрации большого числа отдельных линий и на регистрацию затрачивается время Та, будет не столь велик, как следовало бы ожидать из приведенных выше рассуждений. При медленном накоплении можно работать с передатчиком при небольшой полосе пропускания, а в фурье-спектроскопии ширина полосы пропускания задается полной шириной спектра в частотной области. Однако выигрыш в чувствительности все еще будет значительным. Количественно он определяется отношением ширины полосы пропускания в частотной области к ширине отдельной резонансной линии
Для оценки оптимальной величины отношения сигнал/шум мы должны еще учесть явление насыщения. Как уже отмечалось, в cw-эксперименте амплитуда сигнала при низком уровне РЧ излучения пропорциональна величине поля Bi. Однако с ростом поля Bi вследствие уменьшения разности населенностей зеемановских уровней наблюдается все большее отклонение от линейного роста, причем это сопровождается дополнительным уширением спектральных линий, и в предельном случае, когда мощность РЧ излучения максимальна, сигнал вообще не наблюдается.
Аналогичный эффект насыщения необходимо учитывать и в импульсном ЯМР. Для того чтобы разность между населенностями двух зеемановских уровней восстановилась до значения, приближенно равного исходному, т.е. до значения, соответствующего распределению Больцмана, необходимо выждать интервал времени, превышающий в 3-4 раза значение времени спин-решеточной релаксации Т\. При решении задач, связанных с установлением структуры биологических молекул, типичным значением Ti является 3-5 с. Следует отметить, однако, что в фурье-спектроскопии отсутствует эффект уширения при насыщении, который наблюдается в cw-ЯМР. Это преимущество фурье-спектроскопии не поддается прямой оценке и потому не столь очевидно.
Если нужно из величины относительной интенсивности резонансных линий оценить число ядер, дающих вклад в наблюдаемую линию, то необходимо поддерживать постоянным значение интервала времени между двумя возбуждающими импульсами. Если желательно получить достаточно хорошо разрешенный спектр, с хорошим отношением сигнал/шум, причем за достаточно короткое время, то за счет сокращения длительности импульса можно существенно сократить время проведения эксперимента. Эта оптимизация эксперимента основана на свойствах функций sin и cos.
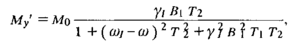
Перед началом проведения измерений MZ/MQ - 1 и Му> - 0, после 90°-ного импульса с Bt I \х Mz - 0, Му'/М0 - 1. Если мы используем импульс меньшей длительности, например 30°-ный, то исходя из свойств тригонометрических функций Му> /М0 - 0,5, т.е. составляет ровно половину того значения, которое будет достигнуто после воздействия на систему 90°-ного импульса. В то же время значение М2 уменьшается незначительно, от 1 до 0,87, и соответственно после 15°-ного импульса Му> - 0,26 М0, a Mz - 0,97 М0.
Если проводится эксперимент по измерению времени продольной релаксации Tj, и интервал между отдельными импульсами задан заранее и равен TR, то можно подобрать длительность импульса таким образом, чтобы угол отклонения вектора намагниченности обеспечил максимальное значение амплитуды сигнала. После воздействия такого импульса в системе устанавливается динамическое равновесие. Этот угол, определяющий также оптимальное значение отношения сигнал/шум, называют углом Эрнста, будет подвергнут обработке, он должен быть оцифрован. Для этого в определенный момент времени измеряется значение наведенного напряжения, и этому значению ставится в соответствие число. Интервал A t времени между измерениями определяется по теореме Найквиста и зависит от значения наивысшей наблюдаемой частоты Vmax:
Характеристики
Тип файла документ
Документы такого типа открываются такими программами, как Microsoft Office Word на компьютерах Windows, Apple Pages на компьютерах Mac, Open Office - бесплатная альтернатива на различных платформах, в том числе Linux. Наиболее простым и современным решением будут Google документы, так как открываются онлайн без скачивания прямо в браузере на любой платформе. Существуют российские качественные аналоги, например от Яндекса.
Будьте внимательны на мобильных устройствах, так как там используются упрощённый функционал даже в официальном приложении от Microsoft, поэтому для просмотра скачивайте PDF-версию. А если нужно редактировать файл, то используйте оригинальный файл.
Файлы такого типа обычно разбиты на страницы, а текст может быть форматированным (жирный, курсив, выбор шрифта, таблицы и т.п.), а также в него можно добавлять изображения. Формат идеально подходит для рефератов, докладов и РПЗ курсовых проектов, которые необходимо распечатать. Кстати перед печатью также сохраняйте файл в PDF, так как принтер может начудить со шрифтами.
















