91927 (612904)
Текст из файла
1. Описание сапонинов
1.1 Определение и классификация
1.2 Характеристика групп сапонинов
1.3 Физические свойства
1.4 Химические свойства
1.5 Распространение в природе
1.6 Медицинское использование
1.7 Анализ лекарственного растительного сырья
2. Растительное сырье, содержащее стероидные сапонины
2.1 Диоскорея ниппонская
2.2 Диоскорея дельтовидная
2.3 Якорцы стелющиеся
2.4 Юкка славная
3. Лекарственное сырье, содержащее тритерпеновые сапонины
3.1 Солодка голая
3.2 Синюха голубая
3.3 Аралия маньчжурская
3.4 Конский каштан
3.5 Ортосифон тычиночный
3.6 Истод тонколистый
3.7 Астрагал шерстистоцветковый
3.8 Женьшень
4. Лекарственное сырье, содержащее стероидные гликоалкалоиды
4.1 Паслен дольчатый
4.2 Чемерица Лобеля
4.3 Сабадилла лекарственная
Выводы
Список использованной литературы
1. Описание сапонинов
1.1 Определение и классификация
Сапонины – это гетерозиды, производные стероидов и тритерпеноидов, обладающие гемолитической активностью и токсичностью для холоднокровных животных.
Слово "сапонины" происходит от латинского названия растения Saponaria officinalis – мыльнянка лекарственная, из которой впервые в 1811 году было выделено вещество, обладающее указанными выше свойствами. Термин "сапонины" был предложен в 1819 г. Melon.
В зависимости от химической природы агликона сапонины делят на три группы:
-
Стероидные сапонины.
-
Стероидные гликоалкалоиды.
-
Тритерпеновые сапонины.
1.2 Характеристика групп сапонинов
Стероидные алкалоиды представляют собой стероидные соединения, в которых сочетаются свойства как алкалоидов, так и стероидных сапонинов. Подобно сапонинам, гидролизуются на сахар и агликон, обладают поверхносной и гемолитической активностью. Стероидные алкалоиды - это гликозиды, в которых агликонами являются азотсодержащие стероидные соединения с 27 углеродными атомами, представляющие собой производные циклопентанпергидрофенантрена. По строению они аналоги стероидных сапонинов и отличаются от них содержанием в агликоне (сапогенине) атома азота в пятом или шестом (Е, F) кольце. Благодаря наличию атома азота в агликоне обладают основными свойствами. Стероидные алкалоиды широко распространены в растениях семейства пасленовых, у различных видов паслена, особенно дольчатого, содержащего стероидные гликоалкалоиды. Близкие стероидные гликоалкалоиды найдены в ботве картофеля, помидоров, баклажанов, красного перца, в паслене черном и паслене сладко-горьком. Эти травы при переработке могут дать агликон соласодин и другие стероиды, пригодные для синтеза кортизона. Стероидные алкалоиды характерны также для рода чемерицы. Стероидные алкалоиды, подобно стероидным сапонинам, обладают поверхностно-активными и гемолитическими свойствами и образуют молекулярные соединения с холестерином и близкими стеринами.
Некоторые стероидные алкалоиды обладают гипотензивным, спазмолитическим, бронхорасширяющим, противовоспалительным, противогрибковым действием.
Стероидные алкалоиды могут быть нескольких типов.
Оба вида дико произрастают в Австралии, Новой Зеландии и субтропической зоне. В умеренной зоне культивируются как однолетники.
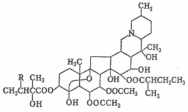
Часто различают четыре группы стероидных алкалоидов, которые выделяют из растений родов паслен (Solanum), чемерица (Veratrum), голаррена (Holarrhena), фунтумиа (Funtumia), самшит (Buxus). Наибольшее значение имеют алкалоиды чемерицы и паслена. Первые иногда делят на две группы в зависимости от числа атомов кислорода в их молекулах. Алкалоиды одной группы содержат 1-4 атома О и обычно присутствуют в растениях в виде свободных аминов или моно-D-гликозидов. Типичный представитель этого класса стероидных алкалоидов - иервин.
Молекулы алкалоидов второй группы содержат 7-9 атомов кислорода и находятся в растениях в виде сложных эфиров. Примерами могут служить протовератрины А (R = Н) и В (R = ОН), используемые в фармакологии.
При внутривенном введении они вызывают брадикардию и снижают кровяное давление. Основные недостатки их как лекарственных средств - небольшая разница между терапевтическими и токсическими дозами и наличие побочных эффектов.
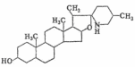
Алкалоиды паслена представляют интерес как потенциальные источники стероидов. Некоторые из них проявляют фунгистатическую активность. Внутри этой группы различают алкалоида типа томатидина из диких томатов (Solanum lycoperisicum)
и алкалоиды типа соланидина (VI), выделенные из нескольких растений рода паслен.
Томатидин и соланидин получены также синтетически. Биогенетические предшественники стероидных алкалоидов - уксусная и мевалоновая кислоты. Гликозиды соланидина токсичны.
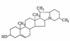
Стероидные сапонины являются производными циклопентапергидрофенантрена, относятся к С27-стеролам, которые в положении С16-С17 имеют спиростановую (I) или фуростановую (II) группу.
I) Диосгенин (спиростановый тип)
II) Диосгенин (фуростановый тип)
Агликоны (сапогенины) всегда имеют гидроксигруппу у С3, иногда у С1, С2, С5, С12. У многих в положении С5-С6 имеется двоная связь.
Наличие в стероидных сапогенинах спирокеталъных группировок указывает на их тесную генетическую связь со стеринами. По-видимому, "скваленовая" гипотеза применима и в отношении биогенеза стероидных сапогенинов.
Стероидные сапонины типичны для представителей семейств лилейных, амариллисовых, диоскорейных, норичниковых; они обнаружены также в растениях других семейств: бобовых, парнолистниковых, лютиковых, пасленовых. Они нетоксичны для теплокровных, но убивают холоднокровных, например рыб. Последнее свойство использовалось первобытными народами при рыбной ловле. Стероидные сапонины имеют важное значение как дешевые исходные продукты для синтеза стероидных гормонов.
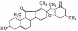
Тритерпеновые сапонины являются производными изопрена – (С5Н8)6. В зависимости от количества сконденсированных колец делят на 2 группы: пентациклические и тетрациклические.
Пентациклические сапонины в свою очередь подразделяются на несколько групп:
а) группа -амирина (урсана) – I
б) группа -амирина (олеанана) – II
в) группа лупеола – III и др.
I C28- COOH (урсоловая кислота)
II С28-СООН (олеаноловая кислота)
III
К группе -амирина относятся сапонины почечного чая; -амирина – сапонины солодок, каштана конского, сенеги, синюхи голубой, аралии маньчжурской.Пентациклические чаще всего имеют гидроксигруппу в положениях С3, С16, С21, С22, С24; карбоксильную группу у С28, С29 (глицирризиновая кислота), карбонильную – у С3, С11 и др. группы. Гидроксигруппы могут быть этерифицированы органическими кислотами. Двойная связь чаще всего находится в положении С12-С13.
Тетрациклические делят на две группы:
а) группа даммарана (1) и циклоартрана (II).
I C3, С12 – ОН = протопанаксдиол, С3, С6, С12 – ОН = протопанакстриол
II
К группе даммарана относятся сапонины женьшеня (панаксозиды), а к группе циклоартрана – астрагала шерстистоцветкового (дазиантогенин).
Углеводные компоненты, представленные D-глюкозой, D-ксилозой, L-рамнозой, L-арабинозой, уроновыми кислотами и др., могут присоединяться к агликону в разных положениях: по гидроксигруппе (О-гликозидная связь), а также карбоксильной группе (ацильная связь), образуя прямые (солодки) или разветвленные цепи (диоскорея, каштан конский, сенега и др.).
Как видно из вышеизложенного, сапонины имеют разнообразное и сложное строение, что затрудняет их изучение и разработку методов анализа.
1.3 Физические свойства
Сапонины – бесцветные или желтоватые гигроскопические кристаллические (чаще стероидные) или аморфные вещества с высокой температурой плавления (с разложением).
Растворяются в воде; водные растворы при встряхивании образуют устойчивую пену за счет снижения сапонинами поверхностного натяжения жидкости. Растворимость в полярных растворителях (воде, спирте) увеличивается с возрастанием количества углеводных остатков в молекуле сапонина. Не растворяются в неполярных органических растворителях. Агликоны сапонинов не растворяются в воде, хорошо растворяются в спирте и других органических растворителях.
Водныерастворы сапонинов могут иметь кислую или нейтральную реакцию. Кислотные свойства могут быть обусловлены наличием карбоксильной группы у агликона и углеводного компонента.
Необходимо иметь ввиду, что некоторые сапонины могут не давать устойчивой пены (глицирризин), а гемолиз крови вызывают и другие вещества.
1.4 Химические свойства
-
Сапонины образуют (в том числе и в растениях) не растворимые в воде молекулярные комплексы со стеринами, липидами, дубильными веществами, белками. Эти комплексы разрушаются при нагревании с хлороформом. Поэтому перед экстракцией сапонинов из сырья, его рекомендуют предварительно обработать хлороформом в аппарате Сокслета в течение 2 часов.
-
Сапонины гидролизуются ферментами и кислотами.
-
С кислотными реагентами (конц. Кислота серная, кремневольфрамовая, уксусный ангидрид, сурьма трехвалентная и др.) сапонины образуют окрашенные продукты за счет образования ненасыщенных (полиеновых) сопряженных структур.
-
Кислые сапонины, производные олеаноловой, урсоловой, глицирризиновой и др. кислот взаимодействуют со щелочами, а также солями тяжелых металлов (свинец, барий и др.), образуя не растворимые в воде осадки.
-
Стероидные сапонины спиростанового типа дают осадки с холестерином.
На физических, биологических и химических свойствах сапонинов основаны методы их анализа.
1.5 Распространение в природе
Сапонины достоверно обнаружены в представителях примерно 40 семейств.Более широко распространены тритерпеновые сапонины. Чаще всего они встречаются у растений сем. Caryophyllaceae, Fabaceae (солодки, астрагал шерстистоцветковый), Araliaceae (женьшень, аралия маньчжурская), Hippocastanceae (каштан конский), Polygonaceae (сенега), Rosaceae (лапчатки прямостоячая, кровохлебка лекарственная), Asteraceae (календула лекарственная) и др. Стероидные сапонины чаще встречаются у растений сем. Dioscoreaceae (диоскореи), Agavaceae (агавы, юкки), Liliaceae (ландыш), Scrophulariaceae (наперстянки), Zygophyllaceae (якорцы стелющиеся) и др. Из 250 выделенных стероидных сапонинов около 170 соединений относятся к спиростановому типу. В растениях сапонины находятся в различных органах растений, чаще в подземных, в растворенном виде в клеточном соке. Агликоны тритерпеновых сапонинов (урсоловая, олеаноловая кислота) встречаются в кутикуле, перидерме. При сборе, сушке и хранении сырья нужно создать условия, препятствующие ферментативному гидролизу сапонинов. Надземные части собирают в сухую погоду, в небольшую по объему тару (лучше корзины, ящики с отверстиями) и быстро, через 2-3 часа (чтобы не произошло самосогревание сырья) доставляют к месту сушки. Сушка для большинства видов рекомендуется быстрая, в тонком слое, при температуре 50-700. Можно при этой температуре выдержать сырье 1-2 часа, а затем, после дезактивации ферментов, досушивать его при обычной температуре. Сырье хранится в сухом, прохладном месте по общему списку.
1.6 Медицинское использование
Все сапонины за счет рефлекторного раздражения слизистых оболочек обладают отхаркивающим, мочегонным, слабительным действием.
Стероидные сапонины являются исходным продуктом для синтеза гормональных препаратов (кортизона, прогестерона и др.) Кроме того, отдельные сапонины обладают антисклеротическим, гипотензивным (диоскореи, якорцы стелющиеся, пажитник сенной), контрацептивным (агавы), антиоксидантным действием. Некоторые сапонины блокируют рост злокачественных опухолей (париллин из видов смилакса).
Характеристики
Тип файла документ
Документы такого типа открываются такими программами, как Microsoft Office Word на компьютерах Windows, Apple Pages на компьютерах Mac, Open Office - бесплатная альтернатива на различных платформах, в том числе Linux. Наиболее простым и современным решением будут Google документы, так как открываются онлайн без скачивания прямо в браузере на любой платформе. Существуют российские качественные аналоги, например от Яндекса.
Будьте внимательны на мобильных устройствах, так как там используются упрощённый функционал даже в официальном приложении от Microsoft, поэтому для просмотра скачивайте PDF-версию. А если нужно редактировать файл, то используйте оригинальный файл.
Файлы такого типа обычно разбиты на страницы, а текст может быть форматированным (жирный, курсив, выбор шрифта, таблицы и т.п.), а также в него можно добавлять изображения. Формат идеально подходит для рефератов, докладов и РПЗ курсовых проектов, которые необходимо распечатать. Кстати перед печатью также сохраняйте файл в PDF, так как принтер может начудить со шрифтами.















