190128 (612863)
Текст из файла
Вступ
Експертні системи — це програмні комплекси, що акумулюють досвід спеціалістів у деякій предметній області з метою його (досвіду) тиражування для консультацій менш кваліфікованих користувачів. Розробка ЕС — це галузь інформатики, що активно розвивається та спрямована на використання ЕОМ для обробки інформації у тих галузях науки та техніки, де традиційні математичні моделі моделювання малопридатні, де важливі смислова та логічна обробка інформації, досвід експертів. Експертні системи досить молоді—перші системи такого роду з'явилися у США в середині 70-х років. Натепер у світі нараховується декілька тисяч промислових ЕС, що дають поради при керуванні складними пунктами диспетчерів, постановці медичних діагнозів, пошуку несправностей у електронних пристроях тощо. Зараз легше назвати області, де ЕС не використовуються, ніж ті, де вони вже використовуються.
Головна відмінність ЕС від інших програмних засобів — це наявність бази знань, у якій знання зберігаються у вигляді записів на деякій мові представлення знань (МПЗ), що дозволяє легко змінювати та доповнювати базу знань у формі, що зрозуміла спеціалістам — розробникам ЕС. У звичайних програмах знання зашиті у алгоритм і тільки програміст (автор програми) може їх корегувати (якщо згадає, як побудована його програма).
До останнього часу саме різні МПЗ були центральною проблемою при розробці ЕС. Зараз існують десятки мов або моделей представлення знань. Найпоширеніші з них: продукції, семантичні мережі, фрейми, обчислення предикатів 1-го порядку, ОО мови програмування тощо. Для цих моделей існує відповідна математична нотація, розроблені системи програмування, що реалізують ці МПЗ. Вибір конкретної моделі визначається структурою знань у конкретній предметній області. Спочатку необхідно визначити цю структуру. Конкретизація елементів знань та їх взаємозв‘язків відбуваються у безпосередньому контакті зі спеціалістами предметної області — експертами. Цей процес називається здобуттям знань, а розробники ЕС, що займаються саме здобуттям та структуруванням знань, називаються інженерами по знаннях.
Одразу визначимо ті предметні області, де має сенс виділяти знання. Це області, де переважає емпіричне знання, де накопичення фактів випереджає розвиток теорії (медицина, геологія, фінанси тощо). Такі добре структуровані області як математика, фізика, теоретична механіка, мають у своїй основі розвинений математичний апарат для опису своїх закономірностей, що дозволяє проводити машинне моделювання з використанням традиційного алгоритмічного програмування (без виділення рівня знань). Знання важливі там, де визначення розмиті, поняття змінюються, ситуації залежать від багатьох контекстів, де є велика невизначеність, нечіткість інформації. Загалом, знання — це основні закономірності предметної області, що дозволяють людині вирішувати конкретні виробничі, наукові та інші задачі, тобто факти, поняття, взаємозв‘язки, оцінки, правила, евристики (фактичні знання), а також стратегії прийняття рішень у цій області (або стратегічні знання).
1. Приклади застосування експертних систем у медицині
Одна з найбільш ранніх і відомих медичних EC MYCIN фрагментарно розглядалася у попередніх розділах. Тут будуть стисло розглянуті деякі EC медичного призначення, ті, що стали вже класичними, і сучасні.
EC стеження за станом післяопераційних хворих
Система VM призначена для стеження за станом післяопераційних хворих, яким необхідний апарат штучного дихання. Система визначає тип апарата штучного дихання і режими його роботи у залежності від розвитку захворювання та реакції організму на терапевтичні дії. Система реалізує роботу з даними, то змінюються в часі (динамічна система). Представлення системи про час обмежені тільки поточним і попереднім станами.
Знання в системі представлені у вигляді таких типів правил: переходу, ініціалізації, стану та лікування. Система постійно отримує нові покази приладів і запускає в дію всі свої правила.
Правила переходу визначають моменти зміни стану хворого, колі необхідно змінити порядок стеження за ним. Моменти зміни стану визначаються за виходом показників за заздалегідь установлені межі.
За допомогою правил ініціалізації установлюється новий контекст, тобто нові значення, які очікуються.
Після встановлення контексту правила стану визначають нову поведінку системи, поки контекст не зміниться. Незважаючи на те, що покази приладів постійно змінюються, система виконує зміну контексту тільки тоді, коли це буде достатньо обґрунтовано за правилами переходу.
Правила лікування визначають потрібні режими роботи апарату штучного дихання.
Приклади правил експертної системи VM.
Правило 1: якщо серцевий ритм є прийнятним, і частота пульсу не змінилася більше ніж на 20 ударів/хв протягом 15 хвилин, і середній артеріальний тиск є прийнятним, і середній артеріальний тиск не змінився більш ніж на 15 мм рт.ст. протягом 15 хвилин, і кров'яний тиск систоли є прийнятним, то гемодинаміка є стійкою.
Правило 2: якщо хворий переведений з VOLUME на CMV, або хворий переведений з ASSIST на CMV, то очікується, що: прийнятний середній тиск повинен бути в межах 75... 110, прийнятний серцевий ритм - 60... 110, вміст С02 у видиху -28...42.
Правило 1 стосується хворих, що знаходяться на різних режимах штучного дихання (VOLUME, CMV ASSIST і Т-РІЕСЕ), правило 2 - всіх хворих, що знаходяться на режимі контрольованої примусової вентиляції (CMV).
Правило 1 ілюструє, як керуюча система стежить за станом хворого, застосовуючи терміни, значення яких міняється залежно від клінічного контексту (наприклад, "прийнятне"). Правило 2 показує як система використовує свої сподівання в деякому контексті, щоб точно визначити значення термінів (наприклад, "прийнятний середній артеріальний тиск").
EC аналізу причин гіпертонії
Постановка задачі. Від гіпертонії страждає близько 10% населення Землі. Причини підвищення артеріального тиску дуже різноманітні - більше ЗО основних захворювань. Складність діагностики цих захворювань полягає в тому, що вони можуть стосуватися компетенції фахівців з різних галузей медицини: нефрології, ангіології, урології тощо. Тому створення EC, яка містила б знання кращих спеціалістів з різних галузей медицини, зв'язаних з гіпертонією, надає суттєву допомогу в підвищенні рівня діагностики вказаних захворювань.
Система МОДИС призначена для діагностики різних форм симптоматичної гіпертонії.
Система МОДИС може використовуватись як у поліклініках загального профілю, так і в спеціалізованих клініках. Очевидно, що рівень доступної інформації про хворого в цих закладах різний. В поліклініці терапевту доступна інформація більш загального характеру: скарги хворого, дані зовнішнього огляду, історія хвороби та результати загальних аналізів. Таким чином, на основі інформації загального характеру ЕС повинна звузити коло можливих захворювань і вибрати з них найбільш імовірні. ЕС дає рекомендації до яких спеціалістів звернутися хворому, скерувати на спеціальні дослідження.
При використанні ЕС у спеціалізованих клініках доступна більш детальна інформація, тобто дані спеціальних досліджень (наприклад, аортографії або внутрішньовенної урографії). В цьому випадку ЕС повинна поставити більш точний аналіз.
Основні концепції, з якими працює експерт у даній системі, - це захворювання, їх форми і групи, симптоми, дані лабораторних досліджень тощо. Для їх опису використовуються знання трьох видів:
описові знання, які використовуються експертом для опису відношень між поняттями. Наприклад, таке поняття, як систолічний тиск, пов'язане в експерта з додатковою інформацією. Так, він знає, що систолічний тиск може знаходитися в межах від 50 до 350, знає, що систолічний тиск завжди більший від діастолічного тощо;
знання про те, як експерт виводить нові твердження на основі аналізу деякої інформації. Експерт використовує ці знання для постановки діагнозу. Характерним прикладом цього виду знань є таке діагностичне правило: "Якщо хворий молодого віку і у нього спостерігаються пароксизми тиску, а результати гормональних досліджень крові показують збільшений більш ніж у два рази вміст катехоламінів, то у хворого, найімовірніше, феохромоцита";
знання про те, як експерт вибирає найперспективніші шляхи пошуку. Ці знання, подані у вигляді правил, дозволяють експерту не розглядати малоймовірні гіпотези, а тільки найбільш імовірні. Такі знання належать до метарівня, оскільки визначають деяку схему використання знань першого і другого рівнів. Приклад такого правила: "Якщо хворий має суттєві зміни в аналізах сечі, то насамперед потрібно підозрювати нефрологічну природу гіпертонії".
Представлення знань. Знання в системі МОДИС зберігаються у вигляді правил. Ліва частина правил (предикати) записується у формі, близькій до природомовної, наприклад "Якщо характер підвищення артеріального тиску пароксизмальний". Предикати в лівій частині правил можуть з'єднуватися логічними операціями диз'юнкції, кон'юнкції і заперечення.
Для запису правих частин правил використовуються процедури. Так правило з правою частиною типу "..., то у хворого феохромоцита" можна подати у вигляді процедури "зробити висновок: у хворого феохромоцита", а правило виду "..., то розглядати нефрологічну групу захворювань" у вигляді " активізувати нефрологічну групу".
Функціонування системи. Робота ЕС МОДИС починається зі збору початкової інформації, до якої належать анкетні дані хворого, його скарги, історія хвороби, симптоми та лабораторні аналізи. На екрані дисплея, перед яким сидить користувач, з'являються запитання і можливі відповіді на них.
Якщо запитання або відповіді незрозумілі, користувач може отримати додаткову інформацію. Відповіді, які вводить користувач, перевіряються системою і, якщо виявлені суперечності, ЕС сигналізує про це.
На етапі збору початкової інформації система задає користувачу біля ЗО запитань. Потім користувачу задаються запитання для аналізу гіпотез. Для пошуку рішень система висуває, підтверджує і заперечує гіпотези. В середньому один діагностичний сеанс триває 5-10 хвилин. Остаточний висновок, який дає система, є сукупністю елементарних рішень за окремими гіпотезами і формується системою в процесі аналізу дерева рішень. Характерним висновком для ЕС МОДИС можна вважати такий: "У хворого, найімовірніше, феохромоцитома. Потрібно провести гормональні аналізи крові та сечі з метою визначення там вмісту катехоламінів. Потрібна консультація нефролога".
Експертна система визначення терміну нанесення ушкоджень у судово-медичній діагностиці
В описана експертна система для спектрофотометричної діагностики біотканин у судово-медичній експертизі. Перевага такого підходу до визначення терміну нанесення тілесних ушкоджень полягає в тому, що не використовуються руйнуючі (інвазивні) методи та суб'єктивні оцінки характеристик.
На основі даних спектрофотометричної комп'ютерної системи проводиться діагностика прижиттєвості нанесених травм у трупів та термін їх нанесення до смерті.
Перша версія системи (СЕД1) базувалась на логічних правилах і мала структуру, характерну для більшості традиційних ЕС, побудованих на правилах.
У наступній версії системи розглядалися більш складні задачі діагностики, зокрема, використання кольору в процесі діагностики. Вона була реалізована на основі апарату нечіткої логіки у вигляді окремої підсистеми, що дістала назву системи експертної неінвазивної оптичної діагностики (СЕНОД+). Ця підсистема виконувала ті самі функції, що й підсистема на основі логічних правил (СНЕД-1). Вибір підсистеми залежить від використання нечітких даних для визначення діагнозу.
Крім нечіткої логіки в системі використовується також імовірнісно- статистичний підхід. У процесі формалізації задачі та Ідентифікації авторамивиявлено, що множина діагнозів (типів судово-медичних висновків для встановлення прижиттєвості та давності нанесення синців) у судово-медичній експертизі складає 7 видів.
На першому етапі відбувається визначення діагнозу: синець нанесений після смерті - <2у чи до смерті - <22. У випадку останнього на другому етапі роботи ЕС проводиться визначення терміну його нанесення за такою шкалою:
■синець, нанесений безпосередньо перед смертю — в1;
синець, нанесений за 5 хв. - 1 год. до смерті – в2;
синець, нанесений за 1 - 6 год. до смерті – в3;
синець, нанесений за 6 - 24 год. до смерті – в4;;
синець, нанесений за 24 - 48 год. до смерті – в5;
синець, нанесений за 48 год. і більше до смерті – в6;
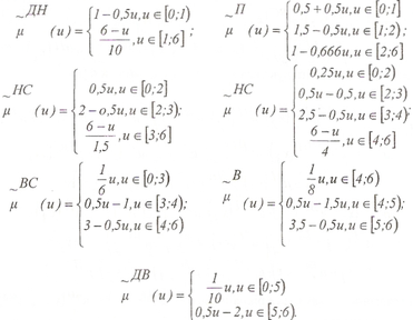
У процесі логічного встановлення діагнозу системою беруться до уваги такі фактори та їх показники. При визначенні прижиттєвості нанесення травми домінуючий колір синця - показник у, який лежить у межах від 1 до З, відносний показник коефіцієнта дифузного відбивання Рq на трьох довжинах хвиль, який відповідає кількісним показникам гемоглобіну та його похідних і характеризує стадію запального процесу: x1 – Рq460 нм — білірубін; х2 – Рq460 нм — гемоглобін; х3 – Рq460нм - метгемоглобін.
Таблиця 1.1.
Формалізовані значення факторів після введення якісних нечітких термів
| Показники | Поcмертне пошкодження | До 5 хв. | 5-60 хв. | 1-6 год. | 6-24 год. | 24-48 год. | 48-72 год. | Більше 72 год. |
| Білірубін Х1 460 нм | 9.07± 2.66 Н,НС | 4.79± 1.13 ДН | 12.54±0.48 НС | 9.03± 1.29 Н, НС | 9.61± 2.02 Н, НС | 16.16± 1.28 С | 15.03± 1.47 С | 9.24± 1.54 |
| Гемоглобін Х2 580 нм | 19.79± 4.07 ВС | 10.9± 1.89 НС,Н | 22.07± 0.57 ВС | 18.93± 0.47 ВС | 20.46± 2.42 ВС,С | 29.2± 2.29 ДВ,В | 21.5 ±2.7 ВС, В | 13.68±1.3 |
| Метгемоглобін Х3 630 нм | 6.59± 4.64 Н,ДН | 17.28± 2.98 С, ВС | 17.89±1.91 С, ВС | 19.47± 1.26 ВС | 18.13± 1.82 С,ВС | 17.09± 1.61 С | 24.07± 2.07 В, ВС | 13.59± 1.45 |
| Основний колір yi | 2 у 100% випадків | 1-100% | 1-100% | 2-89% | 1-45% | 2-78% | 2-11% | 3 |
| Допустимий колір | 1-2 | 1 | 1 | 1-2 | 1-2 | 1-2-3 | 2-3 | 2-3 |
Для кожного з визначених термінів часу нанесення ушкоджень існує своя комбінація значень відносного показника, тому пріоритет надається саме йому. Формалізовані знання експерта показані в табл. 1.1. Колір синця розподілений на три групи, які властиві кожному з виділених діагнозів, причому група І - червоний колір з фіолетовим, 2 - червоно-пурпурний, пурпурний, фіолетово-пурпурний, 3 - жовто-зелений, жовтий. Це допустимо і спрощує процес виводу діагнозу. В процесі формування бази знань фактори x3, y1-y3, які впливають на систему прийняття рішення і на формування кінцевого висновку, розглядаються як лінгвістичні змінні.
Знання у вигляді якісних термів та їх значень для лінгвістичних змінних xi і уi показані в табл. 1.2 і 1.3.
Якісні терми для лінгвістичних змінних y1-y3
Таблиця 1.2.
| Терм | Як часто зустрічається колір синця |
| Промах (П) | Не зустрічається зовсім |
| Дуже низький (ДН) | Уn < 30% |
| Низький (Н) | 30%<уn<60% |
| Середній (С) | 60%<уn |
| Високий (В) | Майже в 100% |
Якісні терми для лінгвістичних зміннихx1-x3
Таблиця 1.3.
| Терм | Нижній рівень Рq | Верхній рівень Рq |
| Промах (П) | 31.49 | 1.95 |
| Дуже низький (ДН) | 1.95 | 5.78 |
| Низький (Н) | 5.78 | 10.06 |
| Нижче середнього (НС) | 10.06 | 14.35 |
| Середній (С) | 14.35 | 18.63 |
| Вище середнього (ВС) | 18.63 | 22.92 |
| Високий (В) | 22.92 | 27.2 |
| Дуже високий (ДВ) | 27.2 | 31.49 |
Задача судмедекспертної діагностики ЕС полягає в тому, щоб множині значень виміряних показників x1-x3 та y1-y3 знайти відповідність діагнозу посмертного чи прижиттєвого нанесення травми a1-a3, і у випадку останнього визначити точний термін його нанесення b1-b6
Для оцінки лінгвістичних змінних x1-x3 вводиться система якісних термів, яка складається з чотирьох рівнів. Оскільки закон розподілу розглянутих випадкових величин наближається до нормального, то якісні терми для x1-x3 будуть такі (Рq розподіляються на шкалі, яка має 8 значень). Така шкала показана на рис. 1.1
Рис. 1.1. Шкала якісних нечітких термів для логічних змінних х1-х3 (діапазони показника Рц)
Замість формування матриці правил до табл. 8.6 заносяться введені нечіткі якісні терми. Для виведення діагнозу ЕС достатньо розв'язати такі рівняння:
Для формування функції належності формалізовані знання для лінгвістичних змінних xi та уi – записуються в таблицях 1.4 та 1.5.
Таблиця 1.4.
Дані про знання для лінгвістичних змінних y1-y3
| № | y1 | y2 | y3 | ai | bi |
| 1 | ДН | В | П | a1 | — |
| 2 | В | П | П | a1 | b1 |
| 3 | В | П | П | a1 | b2 |
| 4 | ДН | С | П | a2 | b3 |
| 5 | Н | С | П | a2 | b4 |
| 6 | ДН | С | ДН | а2 | b5 |
| 7 | П | ДН | С | a2 | b6 |
Таблиця. 1.5
Дані про знання для лінгвістичних змінних x1-x3
| № | x1 | x2 | x3 | ai | bi |
| 1 | Н | ВС | Н | a1 | - |
| 2 | Н | ВС | ДН | a1 | - |
| 3 | НЕ | ВС | Н | a1 | - |
| 4 | НЕ | ВС | ДН | a1 | - |
| 5 | ДН | НЕ | С | a1 | b1 |
| 6 | ДН | НЕ | ВС | a2 | b1 |
| 7 | ДН | Н | С | a2 | b1 |
| 8 | ДН | Н | ВС | a2 | b2 |
| 9 | НЕ | ВС | С | a2 | b2 |
| 10 | НЕ | ВС | ВС | a2 | b2 |
| 11 | Н | ВС | ВС | a2 | b3 |
| 12 | НЕ | ВС | ВС | a2 | b3 |
| 13 | Н | ВС | С | a2 | b4 |
| 14 | Н | С | С | а2 | b4 |
| 15 | Н | С | ВС | a2 | b4 |
| 16 | НЕ | ВС | С | a2 | b4 |
| 17 | НЕ | С | С | a2 | b4 |
| 18 | НЕ | С | ВС | a2 | b4 |
| 19 | Н | ДВ | С | a2 | b5 |
| 20 | Н | В | С | a2 | b5 |
| 21 | Н | ВС | В | a2 | b6 |
| 22 | НЕ | ВС | ВС | a2 | b6 |
| 23 | НЕ | В | В | аг | b6 |
| 24 | НЕ | В | ВС | a2 | b6 |
На основі табл. 1.4 та 1.5 визначають функції належності
нечітких термів ДН, Н, НС, С, ВС, В, ДВ:
Наведені формули переписуються з урахуванням табл. 1.1
Аналогічно формуються рівняння для
Для формування функцій належності з використанням наведених логічних рівнянь необхідно визначити множину функцій належності нечіткихтермів:
Один ізможливих варіантів показаний на рис. 1.2
Рис. 1.2. Функції належності нечітких термів
Запис функцій належності в аналітичному вигляді для семи розглянутих раніше діагнозів буде мати такий вигляд:
Експертна система іридодіагностики
Проблеми використання Байєсівської стратегії в іридодіагностичних ЕС. Часто виникає питання, чому замість методу Байєса в медичних ЕС використовуються менш ефективні методи, наприклад, табличні алгоритми. В ця ситуація розглядається на прикладі іридодіагностики. Назвемо основні причини використання в іридодіагностиці малоефективних табличних алгоритмів замість більш ефективних алгоритмів, що використовують метод Байєса:
статистична залежність між іридоознаками;
необхідність знання апріорних ймовірностей P(Уj) захворювань Уj;
неоднорідність та неповнота даних;
наявність зовнішніх та внутрішніх завад.
Суть методу іридодіагностики. Метод іридодіагностики, оснований на сигнальній функції екстерорецепторів райдужної оболонки ока, є одним із найбільш інформативних і достовірних методів раннього виявлення генетичних і патологічних порушень в організмі. Цей метод характеризується відсутністю будь-яких протипоказань (за винятком епілепсії, як відносного протипоказання у зв'язку з провокуючою приступ дією світла), повною безпекою і нетравматичністю.
У процесі огляду пацієнта лікар-іридолог, оцінюючи структурний стан райдужної оболонки та адаптильно-трофічні зміни, що відбуваються у ній в часі та просторі, маючи можливість оперативного огляду в одному полі зору проекційних зон усього організму, діагностує з достатньо високою точністю спадкові особливості пацієнта, функціональну та органну слабкість певних органів і систем, що дозволяє в кінцевому результаті зробити висновки про резервні можливості організму, скласти прогноз, тобто побудувати вектор майбутнього стану здоров'я організму обстежуваного. На основі поєднання різних іридознаків на райдужній оболонці іридолог діагностує місцезнаходження патологічного процесу і певною мірою його характер.
Статистична залежність ознак. Прості та зручні для розрахунків співвідношення (1.1) справедливі у передбаченні статистичної незалежності використовуваних ознак. У випадку статистично залежних ознак необхідно використовувати складніший вираз, складність якого полягає в необхідності знання багатомірних густин розподілу ймовірностей Р(Х1,Х2,...,Хi) та Р(ХІ,Х2,...,Хi/Уj]).
Методика оцінювання одномірних розподілів ймовірностей Р(Xi) і Р(Хi/Yj), які придатні лише для обчислень за формулами (1.1), тобто в передбаченні статистичної незалежності ознак. Однак у цьому випадку відзначається наявність статистичної залежності між ознаками - як наслідок, формули (1.1) не можуть бути використані.
У результаті аналізу статистичної залежності іридоознак можна зазначити, що:
між іридоознаками існує статистична залежність, яка має два основних механізми -"фізіологічний" і "математичний". У першому випадку залежність зумовлена або проявом одного і того самого захворювання у вигляді декількох ознак, або проявом ознак декількох залежних захворювань, в другому випадку це залежність між комплексною іридоознакою, утвореною сукупністю елементарних іридоознак, та елементарними іридоознаками, які входять до її складу;
на сьогодні найбільше вивчена залежність між різними іридоознаками та ознакою "колір райдужної оболонки", що, очевидно, пояснюється не стільки інформативністю ознаки "колір райдужної оболонки", скільки простотою та легкістю його оцінювання.
Можна назвати основні чинники фізичної природи статистичної залежності ознак:
каузальність (причинно-наслідкова залежність);
синхронізм
У першому випадку поява ознаки X зумовить іздеякою ймовірністю появу іншої ознаки Y. У другому випадку передбачають наявність третьої, прихованої від спостереження (латентної) або просто ігнорованої, події Z, каузально зв'язаної з ознаками X і Y, які в результаті такого зв'язку стають статистично залежними.
Для оцінки характеру та міри статистичної залежності ознак X і Y можна застосовувати поняття регресії і коефіцієнтів регресії. Регресією Y на X називається умовне математичне очікування (MO) випадкової величини (ВВ) Y для фіксованого значення Х=х:
E{Y(x)}=E{Y/X = x}.
Лінією регресії Y на X називається MO, що розглядається як функція змінної х. Аналогічно визначається регресія X на Y. Лінії регресії Y на X та Х на Y не збігаються. Регресія називається лінійною, якщо лінія регресії пряма. Для незалежних ВВ лінії регресії перетворюються в прямі, паралельні до координатних осей.
Якщо позначити колір райдужної оболонки символом X, а тип райдужної оболонки — символом Y, то можна розглядати значення умовної густини P(Y/X). Враховуючи суттєву нерівномірність цієї функції Y (для фіксованих значень X) можна наближено оцінити її середнє значення (математичне очікування) - йому відповідає максимум густини P(Y/X) як функції Y.
Характер статистичної залежності між ознаками може бути як лінійним, так і нелінійним. Для лінійної залежності використовується поняття "коефіцієнт кореляції"
rXY = Е{(Х - Е{ X})(Y - E{Y})} / axay,
де axay -середньоквадратичні відхилення ВВ X і У:
rXY =E{(X-E{X})(Y-E{Y})}/ axay.
У загальному випадку |rXY|<1 - Рівність rXY=0 має місце для некорельованих (і незалежних - у випадку нормально розподілених X та Y) ВВ, а |rXY|=1 — для лінійно залежних детермінованих ВВ.
Неповнота апріорних даних. Інша суттєва перешкода для використання формули Байєса полягає в необхідності знання апріорних імовірностей P(Yj) захворювань Yj. Якщо ця інформація відсутня, можна вважати всі гіпотези рівноймовірними, тобто P(Yj)=1/J, де У - кількість альтернативних захворювань.
Однак це може привести або до недостатньо високої вірогідності висновків (у випадку фіксованої кількості іридоознак, що спостерігаються), або буде вимагати збільшення обсягу спостережень (у випадку фіксованої досить високої вірогідності висновків).
Як приклад розглядається спроба використання у формулі Байєса статистичної інформації про деякі ознаки ниркової патології, зокрема такої інформації: "...Характерним для ниркової патології симптомом був лімфатичний розарій, який виявляли в обстежуваних хворих у 57% випадків... При захворюваннях легень, шлунково-кишкового тракту, серцево-судинної і нервової систем лімфатичний розарій виявляли рідше, ніж при захворюваннях нирок у 9-22% випадків... Вказана обставина дозволяє лікарю міркувати так: у випадку будь-якого виявлення лімфатичного розарію на райдужній оболонці можна передбачити, але в жодному разі не можна стверджувати, що у цього хворого є зміни стосовно нирок".
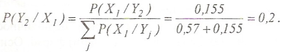
У розглянутому випадку не враховується частота зустрічі ниркової патології взагалі, безвідносно до будь-якої сукупності діагностичних ознак, отже апріорні ймовірності гіпотез Y1 ”є захворювання нирок" і Y2 ”немає захворювання нирок" можна прийняти однаковими: Р(Y1)-Р(Y2)=0,5.
Припустимо, що мають місце такі умовні ймовірності Р(Х/Yj):
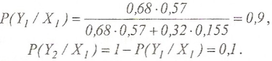
Р(ХІ/Y1) = 0,57; Р(Х1/Y2) = 0,155,
Де X1означає "є лімфатичний розарій", а значення величини Р(Х1/Y2) = 0,155отримано як середнє арифметичне значення 0,09 і 0,22 (9-22%).
Згідно з (1.1),
Оскільки
З (1.2) випливає:
Аналогічно
Нерівність Р(Y1/X1) > Р(Y2/X1) відповідає виразу "можна передбачити наявність захворювання нирок", а той факт, що Р(Y1/X2)<1, відповідає фразі "ні в якому разі не можна стверджувати". Слова "ні в якому разі" — свідчення надзвичайної обережності автора: адже в 8 випадках з 10 твердження виявиться справедливим.
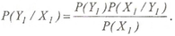
Далі можна врахувати апріорну інформацію у вигляді розподілу Р(Yj) та оцінити її вплив на вагомість висновків тепер. Вказано, що за результатами профілактичного огляду школярів у віці 12-17 років відомо, що патологіянирок має місце в 68% обстежених.
Якщо у виразі (1.2) прийняти, що Р(Yj)=0,68 та Р(Y2)=0,32, то отримаємо.
Отже, завдяки врахуванню апріорної інформації ймовірність висновку на користь гіпотези Y1=” є захворювання нирок" зросла на 0,1, а відносна надійність висновку, що характеризується відношенням Р(Y1/X1)/Р(Y2/X1) збільшилась з 4 до 9 разів, тобто більш ніж у 2 рази.
Виграш від використання апріорної інформації тим суттєвіший, чим більший її обсяг, тобто чим більш нерівномірний розподіл Р(Yj). Наприклад, за результатами другого профілактичного огляду, де середній вік обстежуваних складав 46,5 років, за допомогою аналогічних обчислень для Р(У1)=0,82 і Р(Y2)=0,18 отримуємо
Відношення Р(Y1/X1)/Р(Y2/X1) тепер приблизно рівне 16, тобто збільшилось порівняно з початковим у 4 рази.
На основі аналізу використання апріорної інформації у вигляді повторюваності різних захворювань можна зробити такі висновки:
врахування апріорної ймовірності суттєво впливає на вірогідність висновків;
апріорна інформація не стосується конкретного виду діагностування — це інформація загальномедичного характеру, яка зберігається в певних документах і відображає залежність Р(Yj) від багатьох факторів і умов (соціальних, територіальних, кліматичних, екологічних, санітарно- епідеміологічних тощо);
в процесі діагностики лікар практично завжди використовує апріорну інформацію на інтуїтивному рівні.
"Дефекти" даних. Під "дефектами" в цьому контексті розуміється неоднорідність і неповнота даних.
Прикладом неоднорідності даних є опис періодичності іридоознак як у кількісній (числовій), так і в якісній (вербальній) формі. Основні причини цього явища такі:
недостатнє дослідження ознак;
звичка практикуючих лікарів до вербального опису.
Неповнота даних може бути зумовлена або недостатньою мірою дослідження іридоознак, або недбалістю авторів публікацій.
Факториу що заважають. Стосовно методу іридодіагностики, фактори, що заважають (завади) можна умовно розділити на зовнішні та внутрішні.
До зовнішніх факторів відносяться неоднорідність складу пацієнтів (стать, вік, освіта, місце проживання, соціальний стан тощо), неоднорідність складу і стану лікарів (рівень кваліфікації, психофізіологічний стан лікаря в момент обстеження), неоднорідність умов обстеження (кліматичних, екологічних, санітарно-епідеміологічних тощо).
До внутрішніх факторів відносяться проблеми іридології як науки. Першою з цих проблем варто назвати неможливість диференціювання одними лише засобами візуального аналізу моменту появи захворювання — в більшості випадків тільки з урахуванням клінічних даних і, отже, тільки шляхом діалогу з пацієнтом іридолог може встановити, ознаки якого захворювання спостерігаються: минулого, теперішнього чи майбутнього.
Другою проблемою можна назвати ту обставину, що на сьогодні не створена універсальна іридологічна схема проекційних зон, яка задовольнила б усіх іридологів і, ймовірно, така схема ніколи не буде створена внаслідок принципових труднощів:
формування нервових шляхів у кожної людини індивідуальне, у зв'язку з чим кожний орган має не точну, а ймовірнісну проекцію;
можливість виникнення ознак, пов'язаних не з патологією органів, а з патологією провідних нервових шляхів, що досить складно надійно визначити;
можливість виникнення іридоознак, що пов'язані не з патологією органів, а класифікуються за типом відбитої рефлекторної іррадіації.
Використання продукції з елементами Байєсівської стратегії в іридодіагностиці Раніше було вказано, що використання Байєсівської стратегії прийняття рішень у її класичній формі має певні труднощі внаслідок кількох основних причин: статистична залежність ознак; неповнота апріорних даних; неповнота і неоднорідність іридологічної інформації; наявність факторів, що заважають.
Для вирішення проблеми статистичної залежності ознак пропонується два шляхи:
не враховувати її та проводити обчислення, виходячи з умови, що ознаки незалежні;
враховувати залежність ознак і проводити обчислення з відхиленнями від класичної формули Байєса, зберігаючи, однак, елементи байєсівської стратегії.
Прикладом реалізації другого варіанту є механізм виведення, що використовується в іридодіагностичній експертній системі ЕСІД, реалізація якої буде розглянута далі: за наявності i-ої ознаки у відповідності з формулою 1.1 здійснюють обчислення ймовірності j-ої гіпотези про наявність захворювання (в умовах рівномірності апріорного розподілу гіпотез для i-ої ознаки):
Ситуація Ji=I (i-ій ознаці відповідає тільки одна гіпотеза) вимушена, оскільки вона відображає ситуацію "пропусків" даних, коли оцінка умовних ймовірностей Р(Хi/Yj) відома лише для єдиної гіпотези.
За наявності декількох ознак використовується середня оцінка апостеріорних ймовірностей, отриманих у відповідності з виразом (1.4)
З урахуванням відхилень від Байєсівської стратегії, співвідношення (1.5) доцільно трактувати не як імовірнісну оцінку вірогідності гіпотези, а як результат "зваженого голосування" ознак. Співвідношення (1.4) дозволяє визначити часткові рейтинги гіпотез про наявність захворювань, а співвідношення (1.5) формує загальний, середній, рейтинг.
Ідея такого відхилення зустрічається в багатьох табличних діагностичних алгоритмах. Для прикладу розглянемо табл. 1.6 та 1.7.
Таблиця 1.6
Якісні характеристики ознак
| Симптоми | Геморагічний інсульт | Ішемічний інсульт |
| Передвісники | Мапохарактерні | Характерні |
| Раптовий розвиток | Характерний | Менш характерний |
| Повільний розвиток | Нехарактерний | Характерний |
| Втрата свідомості | Характерна | Менш характерна |
Таблиця 1.7
Кількісні характеристики ознак
| Симптоми | Геморагічний інсульт | Ішемічний інсульт |
| Передвісники | 0 | 1 |
| Раптовий розвиток | 1 | 0 |
| Повільний розвиток | 0 | 1 |
| Втрата свідомості | 1 | 0 |
Якісні характеристики в табл. 8.11 замінені в табл. 8.12 кількісними з великою мірою округлення. Однак можна було б експериментально оцінити відповідні частоти повторюваності різних ознак для даних захворювань (табл. 8.13).
Таблиця 1.8
Вербальні та числові оцінки ознак
| Вербальна оцінка | Числова оцінка |
| Характерно | 0,8-1 |
| Менш характерно | 0,5-0,8 |
| Малохарактерно | 0,2-0,5 |
| Нехарактерно | 0-0,2 |
На основі даних табл.1.8 замість табл. 1.6 можна отримати більш точну табл. 1.9
Таблиця 1.9
Середні частоти ознак
| Симптоми | Геморагічний інсульт | Ішемічний інсульт |
| Передвісники | 0,35 | 0,9 |
| Раптовий розвиток | 0,9 | 0,65 |
| Повільний розвиток | 0,1 | 0,9 |
| Втрата свідомості | 0,9 | 0,65 |
У табл. 1.9 проставлені середні значення частот повторюваності симптомів із діапазонів, вказаних в табл. 1.8.
Якщо вважати для простоти захворювання рівноймовірними, то за формулою Байєсаможна оцінити значення Р(Yj/Xi), розмістити їх у відповідних клітинках табл. 1.14 і отримати нову табл.1.10, яка дозволяє проводити обчислення, аналогічні (1.8) та (1.9).
Таблиця 1.10
Умовні ймовірності, оцінені за формулою Байєса
| Симптоми | Геморагічний інсульт | Ішемічний інсульт |
| Передвісники | 0,28 | 0,72 |
| Раптовий розвиток | 0,58 | 0,42 |
| Повільний розвиток | 0,1 | 0,9 |
| Втрата свідомості | 0,58 | 0,42 |
Припустимо, що спостерігається дві ознаки: "передвісники" і "повільний розвиток". Додаючи числа з відповідних клітинок і поділивши результати на два (кількість ознак, що спостерігаються), отримаємо рейтинги геморагічного та ішемічного інсульту, рівні 0,19 і 0,81, відповідно. В результаті можна зробити висновок, що ішемічний інсульт є переважаючим діагнозом.
Табл. 1.10 фактично є діагностичною таблицею, єдиний недолік якої полягає в тому, що в її клітинках стоять не цілі числа (що зручно для ручних розрахунків), а дробові. Цей недолік легко усувається шляхом множення всіх дробових чисел на один і той же коефіцієнт, наприклад на 10, з наступним округленням результатів. У результаті таких дій отримаємо діагностичну таблицю (табл.1.11).
Таблиця 1.11
Кінцевий вигляд діагностичної таблиці
| Симптоми | Геморагічний інсульт | Ішемічний інсульт |
| Передвісники | 3 | 7 |
| Раптовий розвиток | 6 | 4 |
| Повільний розвиток | 1 | 9 |
| Втрата свідомості | 6 | 4 |
Наведені вище результати, з одного боку, демонструють наявність глибокого внутрішнього зв'язку між добре відомими табличними діагностичними алгоритмами і Байєсівською стратегією. З іншого боку, доведена в клінічній практиці досить висока ефективність табличних діагностичних алгоритмів, може бути аргументом на користь правила продукції з елементами Байєсівської стратегії, описаного виразами (1.4)-(1.5).
Експертна система для іридодіагностики ЕСІД
Призначення і можливості. Програма ЕСІД багатоцільова: вона може використовуватися для практичної іридодіагностики, наукових досліджень і навчання іридологів Мед].
Можливості системи Мед]:
кількісна оцінка ймовірності можливих захворювань;
розв'язування задач загальної, диференціальної та часткової діагностики з пошуком інформації за схемами "ознака-захворювання" і "захворювання-ознака";
використання, поряд з іридодіагностичними, додаткових ознак;
аргументування діагнозу;
автоматизоване формування висновку лікаря з рекомендаціями стосовно лікування виявлених захворювань;
протоколювання результатів обстежень за допомогою автоматизованої статистичної обробки протоколів;
модернізація бази знань без залучення професіональних програмістів;
можливість автоматизованого обліку результатів статистичного оброблення протоколів у випадку модернізації бази знань;
кількість розпізнань нозологічних форм — біля 300;
кількість використаних діагностичних ознак — порядку 1000;
наявність режиму "Допомога" у вигляді кольорових графічних ілюстрацій і текстових коментарів.
База знань містить систему реляційних баз даних з переліком іридодіагностичних і додаткових (неіридодіагностичних) ознак, переліком нозологічних форм, інформацію про статистичні зв'язки між ознаками і захворюваннями та рекомендації стосовно лікування.
Рис. 1.3. Введення діагностичних ознак в ЕС ЕСІД
Механізм логічного виведення базується на частковому використанні Байєсівської стратегії: в процесі загальної або диференціальної діагностики за заданими значеннями діагностичних ознак (іридодіагностичних або додаткових), автоматично обчислює і подає у вербально-графічній формі (схема організації інформації на екрані комп'ютера в режимі введення значень діагностичних ознак наведена на рис. 1.3) значення оцінки апостеріорного розподілу ймовірностей P(Yj/Xi).
Основою алгоритму обчислень служать співвідношення (1.4)-(1.5). Різниця полягає в тому, що реалізується рекурентний аналог (1.6), а не співвідношення (1.5):
Клієнт-серверна експертна система для телемедицини
Термін "телемедицина" означає застосування телекомунікаційних та інформаційних технологій у медицині для проведення лікувальних заходів на відстані [111]. На сьогодні телемедицина містить сукупність "вбудованих" у медичні інформаційні системи принципово нових засобів і методів обробки даних, об'єднаних у цілісні технологічні системи, що забезпечують створення, передачу, зберігання і відображення інформаційного продукту (даних, знань). Одним із традиційних застосувань інформаційних технологій в медицині є експертні системи (EC).
Як було сказано, експертні системи можна поділити на одиничні, групові та групові та корпоративні.
Використання мережевої клієнт-серверної технології (групові та корпоративні системи) дає певні переваги при побудові як EC в цілому, так і медичних EC зокрема:
архітектура клієнт-сервер призначена для вирішення проблем файл- серверних застосувань шляхом розділення компонентів і розміщення їх там, де вони функціонуватимуть ефективніше;
можлива інтеграція EC з іншими.системами, потрібними користувачу;
залучення більшої кількості користувачів для використання централізованої бази знань і підсистеми логічного виведення забезпечує досить високу адекватність EC;
можливість приватного зберігання алгоритмів логічного виведення та баз знань;
збільшення доступності систем;
якщо база знань зберігається на сервері, то за необхідності її модифікації проводиться її одноразове оновлення, а клієнтська частина залишається незмінною, що істотно спрощує процес модифікації бази знань, у порівнянні з локальною технологією EC, де потрібно було б відновити копію EC кожному користувачу
подібність завдань і методів рішення в медичних експертних системах надає можливість виділити в них універсальні елементи, інтегрувавши їх уфункції сервера, що дозволяє спростити процес побудови EC.Застосування клієнт-серверних експертних систем для мережInternet/Intranet забезпечує такі переваги:
інтенсивний розвиток і висока ефективність медичних EC зокрема;
можливість застосування автоматизації процесу лікарського контролю;
надання лікарської допомоги та контроль за умови територіальної віддаленості пацієнта
Наведемо приклади застосування мережевих технологій для побудови експертних систем у телемедицині. Система контролю серцевої активності Cardioview, що має давач серцевої активності, який з'єднаний задопомогою мобільного телефону стандарту GSM з Internet-сервером через WAP протокол і передає дані про серцеву активність спеціальній системі, написаніймовою Java. Аналогічна система Biolog застосовується експертами NASA для лікарського контролю самопочуття космонавтів. Відома також експертна фармакологічна система, що працює через WWW (Internet/Intranet).
Однак на сьогодні не сформований універсальний підхід до побудови таких систем. До недоліків можна віднести також орієнтацію на рішення конкретних часткових задач і застосування вузькоспеціалізованих технологій (побудова системи на основі WWW- інтерфейсу).
У зв'язку з цим в запропонована схема клієнт-серверної експертної системи для мереж Internet/Intranet (рис. 8.4), яка може бути використана для рішення задач телемедицини незалежно від їх клінічної специфіки.
У порівнянні з класичною EC експертна оболонка виділена як відособлена частина і виконує функції мережевого клієнта. Підсистема логічного виведення та база (банк) знань знаходяться в серверній частині системи. Банк знань може зберігати декілька незалежних баз знань, які використовуються різними клієнтськими програмами. Для підтримки банкузнань використовуються засоби систем керування базами даних.
До складу серверної частини ЕС крім банку знань входить підсистема логічного виведення, яка інтегрується з інтерпретаторами скрипт-мов, що дозволяють реалізувати знання засобами цих мов. Інтеграція таких мов як LISP,клін Prolog, Forth дозволить легко перенести вже існуючі EC, побудовані з використанням цих мов, в режим мережевої реалізації. Таким чином можнарозширити можливості існуючих медичних інформаційних систем ведення та обліку хворих шляхом введення в них функції взаємодії з мережевими ЕС.
Для комунікації між серверною і клієнтською частинами системи використовується протокол на основі платформо-незалежного стандарту XML.
Протокол взаємодії серверної та клієнтської частин ЕС забезпечує статичний і діалоговий (інтерактивний) режими взаємодії з користувачем
Статичний режим зручний у випадку одноразового передавання всіх даних, достатніх для прийняття рішення за умови, що вони вже знаходяться в базі даних клієнтської частини і не вимагають додаткового введення з боку користувача. Коли їх недостатньо, клієнт і сервер вступають у діалоговий режим взаємодії.
Вибір формату XML зумовлений такими факторами:
незалежний формат даних. Під час використання XML дані більше не прив'язані до засобів, що їх створили. Це різко підвищує можливість взаємодії різних систем, надає великі можливості вибору для користувача і сприяє спільному використанню даних різними системам;
покращення можливості пошуку даних, оскільки XML визначає логічну структуру документа;
збільшення доступності даних.
XML стандарт передавання даних має також ряд переваг і в порівнянні з HTML стандартом, який широко використовується для реалізації WWW- продуктів.
На основі розглянутої технології побудови клієнт-серверної експертної системи для мереж Internet/Intranet розроблена експертна система «Вертебрологія» для діагностики етіології фронтальних викривлень хребта (сколіозу).
Для розроблення системи «Вертебрологія» використовувались такі інструментальні засоби: мова програмування C/C++ як для клієнтської, так і для серверної частин; СКБД MySQL для зберігання банку знань серверної частини та бази даних клієнтської частини; скрипт-мова Lua, що забезпечує механізм логічного виведення серверної частини.
Мовою Lua реалізовані алгоритми експертної оцінки етіології фронтальних викривлень хребта (сколіозу). В основі алгоритму лежить статистичний підхід до вирішення проблеми засобами кореляційного і регресійного аналізу. Використовуються рівняння, що чисельно виражають вірогідність тієї чи іншої першопричини фронтальних викривлень хребта.
Розглянуті технології, мережеві протоколи і програмне забезпечення можуть бути використані для вирішення проблем телемедицини і в інших клінічних областях.
Експертна система "Лазерна рефлексотерапія"
Застосування експертних систем, призначених для вирішення завдань діагностики і лікування захворювань, особливо ефективне в тих випадках, коли врахування дуже великого обсягу вхідної інформації або реалізація складного алгоритму прийняття рішення дуже складна для практичного лікаря. Прикладом може бути розроблення схем лікування для методів рефлексотерапії. Велика кількість акупунктурних точок (більше 800) і необхідність оцінки множини чинників для вибору зон і доз стимуляції примушує лікаря-рефлексотерапевта користуватися спрощеним і шаблонним підходом, що знижує результативність застосовуваної терапії.
Рис. 1.4. Схема клієнт-серверної експертної система для мереж Internet/Intranet
В описана експертна система, реалізована на персональному комп'ютері і призначена для автоматизації синтезу рецептур за методиками лазерної-рефлексотерапії. В основу програми покладені алгоритми, які фахівці застосовують під час складання реальних рецептур лазерної рефлексотерапії.
Вхідною інформацією для експертної системи є діагностичний висновок, який формулюється лікарем на основі даних клінічних та інструментальних досліджень і включає такі дані:
вік і стать хворого;
розгорнений клінічний діагноз - нозологічна форма, головні синдроми і симптоми захворювання;
відомості про нейрометамірну іннервацію патологічних осередків, уражених внутрішніх органів і зон патологічних відчуттів (біль, свербіння^ парестезії тощо);
відомості про анатомічну локалізацію патологічних осередків і вражених внутрішніх органів.
Результатом роботи експертної системи є рекомендації стосовно схеми курсу лазерної рефлексотерапії для конкретного хворого. Схема містить перелік і кількість акупунктурних точок, а також питомі дози лазерного випромінювання для кожної процедури.
Експертна система експрес-діагностики станів у випадку пороків серця
У цій системі модель знань представлена у вигляді графа окремих симптомів, симптомокомплексів і станів, що належать до одного класу захворювань. Вважається, що всі симптоми, симптомокомплекси і стани зв'язані. Цей зв'язок виражається у тому, що якщо різні елементи інформації належать до одного і того самого або послідовних патологічних процесів одного варіанту перебігу захворювання, то при визначенні будь-якого з них повністю відтворюються інші. Ціна асоціації розглядається як статистична характеристика переходу від одного симптомокомплексу до іншого. Ця характеристика залежить від кількості попередніх спільних відтворень обох симптомокомплексів, проміжку часу, що минув з моменту останнього їх відтворення, а також від частоти відтворення елементів, пов'язаних з обома заданими симптомокомплексами.
Для визначення статистичних характеристик необхідно використовувати достовірну інформацію. Тому з архіву клініки вибирають історії хвороби з верифікованими висновками. Навчання моделі захворювання проводиться саме на верифікованому матеріалі. Системі повідомляється частина відомостей, що є в історії хвороби хворого. Вихідна інформація порівнюється з рештою даних клінічного спостереження, що аналізується. Якщо вони в чомусь не збігаються, то фіксовані параметри моделі змінюють доти, доки не буде видана інформація, тотожна даним історіям хвороби.
Система забезпечує досить високу точність діагностики і прогнозування найважливіших патологічних станів: від 79,9 ± 1,9 % до 87,2 ± 4,9 %.
Експертна система прогнозування настання вираженої серцевої слабкості в післяопераційному періоді у пацієнтів із захворюваннями мітральиого клапана. Одна з важливих особливостей клінічної інформації полягає у великій кількості ознак захворювань, відносно малій кількості спостережень та істотній питомій вазі пропусків даних.
У цьому випадку модель представлення знань експертної системи може базуватися на методі групового врахування аргументів. Ця технологія була використана в процесі розроблення названої експертної системи.
Для побудови моделі знань методом експертної оцінки з подальшим простим аналізом інформативності було відібрано 12 показників, а на підставі вивчення архіву верифікованих випадків вибрано 40 історій хвороб пацієнтів, що померли в результаті різко вираженої серцевої слабкості в післяопераційному періоді. Для порівняння клініки патологічного процесу була взята така сама кількість випадків для післяопераційного періоду, що проходив нормально. Для утворення навчальної та екзаменаційної послідовностей вказаний об'єм спостережень був розділений на дві групи (з однаковою кількістю історій хвороби в кожній).
У прогнозуванні можливої серцевої слабкості використовувалися дані анамнезу (вік і тривалість захворювання), показники об'єктивного і лабораторного обстежень пацієнта (центральний венозний тиск, розміри серця, лівого і правого шлуночків, рівень загального білірубіну крові, швидкість осідання еритроцитів), характеристики фонокардіологічного обстеження, показники функціонального стану дихальної системи (відношення життєвої місткості легенів до задовільної і коефіцієнт використання кисню). Цей метод дозволив одержати апроксимуюче рівняння, яке дає можливість визначати ступінь наближення початкового стану хворого до двох дискретних рівнів, що зумовлюють можливість або неможливість виникнення гострої серцевої слабкості з точністю не менше 70 %.
Поліалгоритмічні експертні медичні системи. В сучасних ЕС діагностики мають місце два основних підходи до використання медичних знань:
використання формалізованого представлення про правила постановки діагнозу. Такі системи розробляються за участю провідних фахівців у відповідних галузях медицини. Суть їх роботи полягає у реалізації алгоритмів логічного опрацювання множини даних про хворих з метою встановлення діагнозу;
використання статистичних методів та програм, що навчаються. Суть навчання полягає в аналізі історії хвороби з вказаним діагнозом та формуванні алгоритму (розв'язувального правила), який дозволяє визначати діагноз у кожному конкретному випадку.
Відомо, що діагностичні ЕС не завжди влаштовують лікаря-користувача. Програмне забезпечення ЕС є, по суті, алгоритмом кінцевого результату консиліуму лікарів. Однак практично не береться до уваги процес отримання цьогорезультату - алгоритми визначення діагнозів кожним лікарем, що бере участь консиліумі, тобто не враховується гнучкість мислення лікаря.
Цим зумовлена необхідність нового класу експертних систем - так званих поліалгоритмічних експертних систем, тобто свого роду колективного розуму, який використовується для постановки діагнозу.
Такі системи містять різні методи постановки діагнозів лікарями, які залежать від їх типів інтелекту, тобто є своєрідним «комп'ютерним консиліумом».
Розроблення поліалгоритмічних експертних систем є дуже перспективною і водночас надзвичайно складною задачею. Складність цієї задачі зумовлена такими основними факторами:
необхідністю розроблення технології комп'ютерної класифікації типів
необхідністю розроблення методів і засобів інформаційних технологій, що дозвсляють розкрити тип інтелекту.
Рішення такої задачі дозволить одержати різноманітність алгоритмів мислення лікаря в залежності від типів інтелекту і створити банк знань поліалгоритмічних експертних систем - інформаційний комп'ютерний консиліум.
Поліалгоритмічні експертні системи є прикладом нового класу інтелектуальних інформаційних технологій. Традиційні інформаційні технології, що використовуються в експертних системах, моделюють певні функції інтелекту людини, наприклад, функції довготривалої пам'яті: запис, зберігання і відтворення інформації. Інтелектуальні інформаційні технології поліалгоритмічних експертних систем покликані моделювати складний процес мисленнялікаря, що залежить від типу його інтелекту.
Комп'ютерна класифікація типів інтелекту вимагає розробки методів і способів алгоритмізації мислення лікаря в процесі рішення задач діагностики, прогнозування керування тощо з урахуванням типу інтелекту. Алгоритм можливого підходу до комп'ютерної класифікації типів інтелекту може бути таким:
розроблення переліку відповідей на питання, які пропонуються випробуваним, у відповідності до типу інтелекту;
розроблення спеціальних питальників (анкет);
вирішення задачі розпізнавання типу інтелекту в залежності від отриманих відповідей.
Наводяться приклади одного з можливих питань та семи відповідей у відповідності до типів інтелекту.
Питання: Чи вважаєте Ви необхідним для постановки конкретного діагнозу використати знання про функціонування інших систем організму (фізичний статус), а також знання про стан психічного і соціального статусів?
Відповіді:
під час постановки діагнозу знання про можливу патологію асоціативно пов'язую з домінантною метою - пошуком керуючих дій через здорові системи організму та екологію здоров'я в цілому (глобально- асоціативний тип інтелекту)',
постановку діагнозу асоціативно пов'язую не тільки з певною патологічною системою, але і з пошуком можливих причин, що викликали патологію (знаходження інших патологічних систем з урахуванням єдності фізичного, психічного і соціального здоров'я). Розглядаю патологію як наслідок ряду причин (абстрактно-асоціативний тип).
постановку діагнозу обґрунтовую єдністю фізичного, психічного та соціального здоров'я. Патологічну систему пов'язую з роботою інших фізіологічних систем організму та екологією здоров'я в цілому. Знаходжу причину, що викликала патологію і даю логічне пояснення взаємозв'язку причини і наслідку (асоціативно-синтетичний тип);
в процесі постановки діагнозу використовую знання про цю патологічну систему та її зв'язки з іншими системами організму всередині даного статусу (фізичного, психічного або соціального). Здоров'я як триєдність статусів розглядаю в межах моїх знань (системно-асоціативний тип);
діагноз синтезую на основі логічного аналізу і систематизації фактографічного матеріалу про цю патологічну систему. Процес аналізу і систематизації припускає виключення інших діагнозів (асоціативно- аналітичний тип);
діагноз синтезую на основі логічного аналізу фактографічного матеріалу про цю патологічну систему з обов'язковим залученням знань про стан фізіологічних систем, тісно пов'язаних з досліджуваною (системно- аналітичний тип);
для постановки діагнозу мені досить моїх професійних знань щодо цієї патології {конкретно-аналітичний тип).
Складання питальника з відповідями є дуже складною задачею, оскільки комп'ютерне розпізнавання типу інтелекту вимагає задавання вагових коефіцієнтів питанням запитальника. Комп'ютерна технологія класифікації мислення лікаря за типом інтелекту є стратегічною задачею створення поліалгоритмічних експертних систем як елементів природного інтелекту.
Поліалгоритмічні експертні системи нададуть лікарю можливість аналізувати ситуацію не тільки на основі своїх знань і власного алгоритму мислення, але й ознайомитись із аналізом аналогічної ситуації лікарями з різними типами інтелекту (віртуальний консиліум). Технологія поліалгоритмічних експертних систем може бути основою проблемно- орієнтованих медичних комп'ютерних довідників.
Відмінності між традиційними та поліалгоритмічними експертними системами формулюються так:
традиційна експертна система - це комп'ютерна система, програмне забезпечення якої відображає алгоритм кінцевого результату консиліуму лікарів під час постановки діагнозу;
поліалгоритмічна експертна система - це комп'ютерна система, програмне забезпечення якої відображає алгоритм процесу постановки діагнозу кожним лікарем консиліуму, що залежить від типу його інтелекту, і алгоритм процесу кінцевого результату постановки діагнозу.
Для створення поліалгоритмічних експертних систем доцільно використовувати фахівців з різними типами інтелекту.
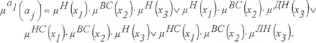
Як приклад концептуального підходу до створення поліалгоритмічних експертних систем можна розглядати експертну систему кардіологічної діагностики (ЕСКОРД), модель представлення знань якої використовує технологію фреймів.
В основі цієї системи лежать не знання експертів, а предметні знання, що не залежать від особистості. ЕСКОРД може працювати як у складі автоматизованих систем масового медичного обслуговування, так і як індивідуальне робоче місце лікаря-діагноста. Система дозволяє одночасно обробляти діагностичні ознаки кількісного та якісного характеру.
База знань ЕСКОРД містить довідник усіх захворювань, що визначає групи диспансерного обліку на поліклінічному рівні діагностичного процесу з переліком чинників внутрішньої та зовнішньої природи, а також скарги стосовно 18 предметних областей. Скарги та аналітичні дані захворювань, що не належать до кардіологічного профілю, розглядаються як ризик кардіологічної патології. В системі передбачено більше 80 можливих кардіологічних діагнозів та більше 65 захворювань, що визначаються в процесі диференційної діагностики.
У системі ЕСКОРД використовується немонотонне двонапрямлене виведення, в процесі якого одержані дані оцінюються щодо гіпотези, що висувається, для підтвердження цієї гіпотези запитуються нові дані з бази даних. Технологія ЕСКОРД основана на методі генерації та диференціації гіпотез.
Під час проектування медичних експертних систем суттєве значення має вибір моделі представлення знань, які є достатньо великим інформаційним масивом біологічних, медичних і екологічних відомостей. Можливі два основні підходи:
розроблення спеціального математичного апарату для моделювання процесів у складних біологічних об'єктах;
всебічний аналіз зібраних медичних, біологічних і екологічних відомостей за допомогою існуючих математичних методів.
Обидва напрямки є необхідними, однак перевагу варто надати дослідженню цінності накопиченої інформації, використанню математичних ідей для відбору найважливіших показників, згортанню даних шляхом отримання простих інтегральних моделей процесів, що відбуваються в організмі та навколишньому середовищі.
Інформаційно-діагностична система спадкових захворювань у дітей "ДИАГЕН"
Система "ДИАГЕН" призначена для попередньої діагностики спадкових захворювань за клінічною симптоматикою і результатами найпростіших лабораторних і функціональних досліджень. її використання значно звужує коло діагнозів, уточнення яких вимагає дорогих лабораторних досліджень: "ДИАГЕН" пропонує лікарю-генетику вузький диференційний ряд.
База знань системи містить повний структурований опис клінічної картини 1200 моногенних і хромосомних хвороб і синдромів, включаючи специфічні зміни, які виявляються функціональними, біохімічними, морфологічними та цитогенетичними дослідженнями. База знань системи містить також бібліографічні посилання стосовно кожного синдрому.
"ДИАГЕН" - система, відкрита для постійного поповнення знаннями. Крім того, "ДИАГЕН" дозволяє здійснювати архівування даних діагностованих хворих.
В процесі своєї роботи система "ДИАГЕН" оперує такими даними, що складають її базу знань:
ознаки, які характеризують клінічну картину захворювання;
опис захворювання через ознаки;
правила виведення діагнозу за генотипним описом пацієнта.
Ознаки зберігаються в базі знань у вигляді дерева. Якщо ознака має нащадків у дереві (тобто відповідний термін включає в себе інші ознаки), то він називається узагальнюючим. Ознака, яка не має нащадків, називається термінальною. Наприклад, ознака "Деформація пальців" — узагальнююча, а її нащадок: " К л і нодакти м і я" — термінальна). Кожному синдрому в базі знань відповідає свій опис, який містить:
назву;
код за класифікатором МакК'юсика;
список синонімів певного синдрому;
список ознак, які складають ведучий симптомокомплекс;
список другорядних ознак;
терміни маніфестації певного синдрому;
типи спадкування;
результати функціональних досліджень, характерних для певного синдрому.
Система містить три основних блоки:
діагностичний, що видає диференційно-діагностичний ряд;
довідник, який представляє повну інформацію про ознаки і синдроми, що зберігаються в системі (орієнтований у першу чергу на лікаря-педіатра широкого профілю);
архів, який забезпечує збереження і повторне використання даних про діагностування хворих.
В процесі роботи системи в режимі "Діагностика" стосовно кожної дитини визначається така інформація:
анкетні дані, які містять прізвище дитини, її ім'я, стать, вік і термін маніфестації захворювання;
список відібраних ознак, який складається з ознак, що характеризують стан дитини. В цей список потрапляють як термінальні ознаки, так і узагальнюючі (якщо користувач не має наміру більше їх уточнювати). Кожній ознаці в цьому списку призначається вага (число в інтервалі від 0% до 99%), що характеризує значимість ознаки, на думку користувача, для постановки діагнозу.
дерево шляхів, яке містить всі ознаки, відзначені користувачем у процесі роботи і впорядковані в структуру дерева (тобто переглянута частина загального дерева ознак).
Крім того, в системі ведеться архів, у якому зберігаються дані про дітей, які пройшли діагностику. Це дає можливість користувачу повертатися до даних про пацієнтів як з метою уточнення вхідної інформації, так і в процесі катамнезу.
Система "ДИАГЕН" має такі основні режими роботи:
діагностування;
перегляд бази знань;
робота з архівом.
Задача діагностування є основною в системі і включає такі функції:
введення даних про дитину за допомогою функцій "введення анкетних даних" або "вибір даних з архіву);
введення або коригування клінічних ознак;
коректування ваги ознак;
відбір діагнозів.
перегляд відібраних діагнозів.
додавання або заміна даних в архіві.
Функція перегляду бази знань є допоміжною в системі і перехід у неї здійснюється з основної задачі діагностування дитини через меню системи. Можливе також самостійне використання цієї функції.
Функція роботи з архівом також є допоміжною в системі і перехід у неї здійснюється з основної задачі діагностування через меню системи. Після повернення в основну задачу, всі раніше визначені дані будуть збережені.
Експертна діагностична система "ВЕСТ-СИНДРОМ"
Система дозволяє проводити диференційну діагностику в декілька етапів. На попередньому етапі формуються диференційні ряди, які відповідають різним комбінаціям введених симптомів, що допомагає користувачу "відфільтрувати" основні діагнози від супроводжуючих. На наступному етапі видаються обґрунтовані рекомендації стосовно проведення додаткових досліджень". Система містить:
класифікатор ознак;
опис 36 нозологічних форм, що включають більше 200 клінічних і лабораторних ознак.
Система призначена для дитячих лікарів-невропатологів і психоневрологів, а також для навчання студентів і слухачів факультетів (інститутів) підвищення кваліфікації.
Експертна система діагностики невідкладних станів у дітей «ДИН»
Система передбачає розпізнавання поточного стану дитини - синдрому або кількох синдромів.
Робота з системою "ДИН" дозволяє:
забезпечити діагностику 34 синдромів, що включають 84 невідкладні стани;
прослідкувати за процесом постановки діагнозу;
проводити консультацію як на долабораторному етапі обстеження, так і з використанням результатів лабораторних і фундаментальних методів дослідження;
прогнозувати можливі ускладнення основного синдрому.
Розробка системи проводилась на основі експертної оболонки LEONARDO. Система передбачає врахування рівнів упевненості появи симптому та ймовірнісних характеристик важливості вкладу симптомів в опис клінічної картини синдромів.
Комп'ютерна експертна система в оболонці ARROW для діагностики нефропатій, що протікають із синдромом гематурії у дітей. З метою оптимізації діагностики нефропатій з синдромом гематурії розроблена комп'ютерна експертна система в оболонці ARROW, що ґрунтується на технології віртуальних статистик з елементами штучного інтелекту. База знань системи містить інформацію про 100 захворювань із синдромом гематурії.
В експертній системі передбачена можливість збереження інформації про обстежених пацієнтів у картотеці. Система забезпечує додаткове введення даних про хворих після повторних консультацій лікаря та інших спеціалістів.
В експертній системі функціонує довідникова система, що містить сучасні літературні дані з діагностики і терапії захворювань, що протікають із синдромом гематурії. Користуватись довідниковою системою можна, не виходячи з експертної системи і не припиняючи діагностичний процес.
Комп'ютерна експертна система характеризується високим розпізнаванням нефропатій з гематурією, що складає 97%.
Експертна система діагностики бронхіальної астми у дітей. Експертна система ЕБВАО призначена для консультаційної допомоги лікарю в діагностиці бронхіальної астми у дітей. Система створена на базі інструментального середовища БТЕРСЬАЗЗ.
База знань експертної системи містить дані про 13 захворювань, з якими найчастіше доводиться диференціювати бронхіальну астму у дітей.
Експертна система ЕБВАО працює з користувачем у режимі діалогу і за допомогою розв'язувальних правил здатна визначити до якого захворювання або груп захворювань належить певний випадок, робить висновок про діагноз і пояснює своє рішення, визначає ступінь складності захворювання і дає рекомендації щодо лікування.
В 87,2% випадків діагностичні рішення експертної системи ЕБВАО збігаються з клінічним діагнозом.
Рання діагностика судинних захворювань мозку з використанням оболонки ЕС «Універсал». Мозковий інсульт є однією з найбільш поширених причин загибелі та інвалідності сучасних людей. Якщо в минулі роки смертність, зумовлена мозковим інсультом, займала третє місце після ішемічної хвороби серця та онкологічних захворювань, то останнім часом вона перемістилася на друге місце.
Особливо висока смертність спостерігається серед людей з артеріальною гіпертензією та атеросклерозом, що дозволяє інколи вважати, що в боротьбі з мозковими інсультами основну увагу слід приділяти первинній профілактиці, перш за все профілактиці артеріальної гіпертензії та атеросклерозу. За цією стратегією профілактику артеріальної гіпертензії пропонують починати з юнацького, а атеросклерозу - з раннього дитячого віку. У цьому випадку виникає ряд питань. По-перше, кого піддавати такій профілакгиці? Якщо всіх, тоді виникає друге запитання - яким чином це можна забезпечити? Якщо не всіх, то як знайти осіб, особливо схильних до дії чинників ризику? І нарешті, якщо такі особи знайдені, то які саме профілактичні заходи повинні бути використані?
Водночас добре відомо, що крім профілактики захворювань (первинної профілактики) існує профілактика їх ускладнень (вторинна профілактика).
Рішення якщо не всіх, то принаймні частини наведених вище питань може бути істотно полегшене внаслідок використання оболонки експертної системи (ОЕС) «Універсал», налаштованої на ранню діагностику таких захворювань і їх ускладнень з урахуванням існуючих верифікованих і досить ефективних методик.
Одна з простих методик подібного роду полягає у використанні прогностичної карти, що містить усього 11 чинників ризику. Фрагмент цієї карти, створеної на основі методу експертних оцінок і призначеної для прогнозування виникнення мозкових інсультів, наведений в таблиці 1.12.
Таблиця 1.12.
Фрагмент карти для прогнозування виникнення мозкових інсультів
| Ознаки | Значення ознак | Бали |
| 1. Склероз судин мозку | Помірне | 2 |
| значне | 3 | |
| 2. Систолічний тиск | 151 -160 мм рт.ст. | 1 |
| вище 160 мм рт.ст. | 3 | |
| 3. Діастолічний тиск | 100 мм рт.ст. і вище | 3 |
| 4. Біль в області серця | Частіше ніж 1 раз на тиждень | 1 |
| 5. Зміни судин очного дна | Значні (звуження артерій, їх звивистість тощо) | 3 |
Суть методу експертних оцінок така. Спочатку експерти складають перелік основних чинників ризику, кожному з яких привласнюють числове значення (кількість балів). Потім на навчальній групі верифікують складений перелік, прагнучи досягти 90%-ної точності прогнозу. Кінцеві висновки про ефективність методики роблять за наслідками апробації переліку на контрольній групі - якщо точність прогнозу перевищує 70%, карта визнається придатною для практичного застосування.
Таблиця 1.13
Фрагмент карти для прогнозування судинних захворювань мозку і гострих інфарктів у людей з нормальним артеріальним тиском
| Ознаки | Значення ознак | Бали |
| 1. Атеросклероз судин головного мозку | стадія | 1 |
| стадія | 2 | |
| стадія | 4 | |
| 2. Зміни судин очного дна | У вигляді звуження і звивистості артерій, «Салюс І, II або III», симптоми «мідного дроту», «срібного дроту», антигіопатія сітківки | 2 |
| 3. Порушення мозкового кровообігу, що минають | У вертебро-базилярному басейні | 2 |
| У каротидному басейні | 3 | |
| 4. Зміни серця за даними ЕКГ | Значні зміни | 1 |
| 3 | ||
| 5. Стенокардія | Почастішання або поява нападів стискаючих загрудинних болів | 2 |
Діагностичне рішення приймають так. Бали ознак, що спостерігаються, підсумовують. Якщо у віці 30-50 років сума рівна 7, у віці 51-60 років -10, а у віці 61 рік і старше - 12 балам, то таких обстежуваних необхідно віднести до групи підвищеного ризику.
Інша методика використовується для прогнозування судинних захворювань мозку та гострих інфарктів у людей з нормальним артеріальним тиском. Числові значення ознак визначаються як значення оцінок умовної ймовірності Р(Yj/Хi). Згодом ці значення були «зіпсовані» шляхом заміни їх цілочисельними значеннями - балами (фрагмент такої карти наведений у табл. 1.13; у цілому карта містить 19 ознак) [79,89]. Однак у випадку необхідності можна повернутися до оцінок умовної ймовірності Р(Yj/Хi), тоді замість методу підсумовування балів можна використати метод зваженого голосування.
Діагностичне рішення приймають аналогічно. Бали ознак, що спостерігаються, підсумовують і констатують велику вірогідність виникнення мозкового інсульту або інфаркту міокарда, якщо сума балів становить 7 і більше.
Застосування систем автоматизації прийняття рішення, подібних до ОЕС «Універсал», значно підвищує надійність ранньої діагностики мозкових інсультів і гострих інфарктів міокарда.
Експертна система для клінічної епілептології. Епілепсія є одним із найпоширеніших серйозних захворювань мозку. Близько 20% населення хоча б один раз у житті мали приступ, що дає підозри стосовно епілепсії та вимагають диференційної діагностики. Від 1 до 5% населення в якийсь період життя хворіли, хворіють або захворіють на епілепсію. Об'єм проблеми, її мультидисциплінарність і ряд аспектів, що вимагають спеціальних знань, які суттєво виходять за рамки звичайних вимог, що ставляться до традиційних спеціалістів з неврології, психіатрії і тим більше до лікарів загальної практики, привели до появи порівняно нової спеціальності - епілептології.
Епілептологія - це науково-прикладна медична дисципліна, яка займається дослідженням і практичним розв'язуванням проблеми епілептології, патогенезу, діагностики, лікування і профілактики епілептичних та інших приступоподібних розладів, зумовлених короткочасними зворотними порушеннями функцій мозку, а також пов'язаними з цією проблемою організаційними і соціальними задачами.
Дамо орієнтовне уявлення щодо обсягу необхідної епілептологічної інформації:
необхідне знання не менше 60 різних форм епілепсії, їх патогенезу, основних симптомів, даних електроенцефалографії (ЕЕГ), нейровізуалізаційних методів дослідження, лабораторних даних, правил вибору ліків і їх дозування, прогнозу і стратегії ведення з урахуванням альтернатив розвитку захворювань;
необхідне знання нейрофармакології епілепсії, яка включає на сьогодні не менше 25 тільки офіційно зареєстрованих міжнародних найменувань. Окрім знань про механізми дії, показання (і протипоказання) для кожної форми епілепсії, необхідне знання про негативні побічні дії препаратів і способи їх уникнення, особливості взаємодії з іншими протиепілептичними і непротиепілептичними ліками (тисячі найменувань і відповідна кількість можливих комбінацій). Ці аспекти надзвичайно важливі і в більшості випадків є причиною неуспішного лікування, а інколи і фатальних ускладнень. Отже, неправильний вибір протиепілептичних ліків може привести до ускладнення приступів, які вже існують, виникнення нових і тяжких психічних порушень. Може виникнути резистентність до інших протиепілептичних препаратів. Неправильна комбінація протиепілептичних ліків, окрім можливості погіршення самої клініки епілепсії, може привести до розвитку тяжких змін свідомості і мозкових функцій, соматичних ускладнень з боку крові, печінки, інших внутрішніх органів і систем, до важкої токсичної енцефалопатії;
необхідне професійне знання ряду аспектів клінічної нейрофізіології, в першу чергу ЕЕГ, оскільки від цього залежить не тільки діагноз епілепсії та її форми, але й вибір препарату для лікування; оцінка на ранніх етапах лікування правильності вибору і дози; відслідковування ефективності терапії та можливих сторонніх ефектів; прийняття рішення про можливість відміни протиепілептичної терапії (виліковування). Достатньо згадати, що клінічний аналіз ЕЕГ вимагає знання щонайменше 10000 параметричних описів особливих типів електроенцефалограм і відповідних їм клінічних кореляцій, з яких близько половини так чи інакше належать до епілепсії;
необхідне знання легальних аспектів положення пацієнта з епілепсією, регламентованих спеціальними національними та міжнародними юридичними актами, які забезпечують права на працю, навчання і соціальні гарантії.
По-друге, і, ймовірно, головне — навіть у випадку знання всього згаданого успішність лікування хворого виявляється різною у різних лікарів, що визначається такими розмитими (але, очевидно, реальними) факторами, як інтуїція, досвід, талант. При всій, на перший погляд, неформальності цих визначень їх все-таки можна формалізувати. За своєю суттю вони означають здатність залучити всі необхідні дані, придбані з літературних джерел і власного досвіду лікування хворих, відібрати з них необхідні та достатні, оцінити їх відносну діагностичну вагу, організувати їх у логічну систему міркувань і зробити правильний висновок. На сьогодні відома методологія математичного моделювання цієї функції, яка дозволяє реалізовувати її в практичній роботі у формі комп'ютерних програм. Такого роду програми носять назву систем на основі на знань (knowledge-based) або в перекладі — експертних систем (EC). У таких EC використовуються математичні статистичні процедури (як правило, на основі варіаційної статистики і теорії ймовірності), що дозволяють отримувати статистично надійні тактичні рішення на основі мультипараметричного аналізу "ненадійних" даних.
Далі на тестових групах пацієнтів з верифікованими діагнозами проводиться статистичне оцінювання діагностичної чутливості та специфічності системи і відповідне її дороблення.
Чутливість системи визначається процентом правильно розпізнаних випадків цільового захворювання від загальної кількості таких пацієнтів у тестовій групі, яка включає багато інших захворювань. Специфічністю називається процент правильно розпізнаних випадків від загальної кількості випадків, розпізнаних системою як цільове захворювання.
Однією з основних вимог до ЕС є можливість необтяжливо та органічно входити у роботу практичного лікаря, забезпечуючи роботу на рівні світових стандартів і одночасно полегшуючи та прискорюючи процес роботи з пацієнтом. Для цього, окрім перелічених вище задач, програма повинна містити підготовку й архівування історії хвороби пацієнта, поєднання її' з організаційною реєстраційною системою, тобто кодування в системі міжнародної класифікації хвороб МКБ-10 (ІСО-Ю), можливість включення в комп'ютерні мережі відповідного медичного закладу.
Основною практичною вимогою до ЕС є надання користувачу без додаткових затрат часу і непродуктивних зусиль повних, точних і необхідних саме в потрібний момент роботи з пацієнтом даних із числа згаданих вище, а також довідок і підказок, які допомагали б орієнтуватись у виборі подальшої стратегії роботи з пацієнтом. Фактично мова йде про таку організацію знань, яка відтворювала б логіку клінічного мислення. Система містить гігантські об'єми інформації, яка у випадку звичайної організації її у вигляді алфавітного довідника за ключовими словами практично не використовується (оскільки користувач у більшості випадків не знає, що, де і коли шукати). У випадку правильної алгоритмічної послідовної функціональної архітектоніки за допомогою осмисленого організованого інтерфейсу вона веде лікаря у відповідності з отримуваною на кожному етапі обстеження інформацією, логікою клінічного мислення і кінцевою цільовою установкою.
Така ЕС реалізована в апараторно-програмному епілептологічному комплексі (АПЕК) на базі комп'ютеризованого електроенцефалографічного аналізатора АЛЬФА-УЕБ-Т-01[31]. Більш детально вона описана в.
Експертна система забезпечує:
діагноз і оцінку ризику епілепсії;
формулювання діагнозу з вказівкою форми епілепсії(або неепілептичного захворювання) і типу приступів, а також видачу індивідуальних рекомендацій щодо лікування, вибору та індивідуального дозування протиепілептичних препаратів;
поточну комплексну оцінку складності захворювання і контроль оптимальної дози препаратів, часу і темпу відміни фармакотерапії після виліковування;
архівування історій хвороби в комп'ютері;
доступ до довідкових даних стосовно клініки і фармакотерапії з кожного пункту роботи з програмою.
Структурна схема експертної системи для клінічної епілептології показана на рис. 1.5. На цьому рисунку використовуються такі скорочення: ЕЕГ - електроенцефалограма; ЕІР - електроенцефалографічний індекс ризику; КІР - клінічний індекс ризику.
Центральну частину ЕС утворює блок діагностики й оцінювання ризику епілепсії. Основна складність діагнозу — це відсутність у переважній більшості прямої інформації про наявність і характер приступів у хворого. Тому програма ґрунтується на мультипараметричному аналізі клінічних даних, отриманих поза приступом, і в принципі забезпечує можливість правильного діагнозу у випадку відсутності або хибної інформації про наявність (або відсутність) приступів, або у випадку симульованих (псевдоепілептичних) приступів. В основу покладені дані обстеження популяції, що включає здорових, пацієнтів з неепілептичними приступами, осіб з генетичним ризиком епілепсії, пацієнтів з фебрильними судомами, ізольованим епілептичним приступом і з епілепсією. З більше ніж 400 клінічних і елеюгроенцефалографічних параметрів і ознак тільки 16 клінічних та 21 електроенцефалографічна ознака з високою надійністю відрізняють групи хворих на епілепсію від здорових і хворих неепілептичними захворюваннями.
Клініко-електроенцефалографічний індекс ризику (КЕІР) епілепсії є сумою електроенцефалографічного та клінічного індексів.
Для кожного індексу на основі варіаційної статистики отримані вірогідні інтервали, перевищення яких свідчить про ризик епілепсії за цим індексом. У відповідності з кількістю індексів, що перевищують критеріальний рівень, суб'єкту приписується ступінь ризику від 0 до 3, причому третій ступінь ризику відповідає діагнозу актуальної епілепсії зі специфікою діагностики 100%. В останньому випадку ЕС пропонує лікарю вибір форми епілепсії і типу приступу. Формулювання діагнозу забезпечує узгоджену з ним видачу індивідуальних рекомендацій щодо лікування, вибору і дозування протиепілептичних препаратів. Оскільки в таблицю визначення КІР включені тільки діагностичні значущі дані, то час клінічного обстеження різко скорочується.
На основі цих ознак розроблені мультипараметричні індекси ризику (ІР) епілепсії, що є сумами діагностичних ваг, які відповідають статистичній вірогідності кожної діагностичної ознаки: клінічний (КІР)
Рис. 1.5. Структурна схема експертної системи для клінічної епілептології
У випадку 0-2-го ступеня ризику епілепсії ЕС видає в одних випадках діагностичні висновки та рекомендації, а в інших пропонує лікарю подальші стратегії діагностики. Оскільки в цих випадках не є винятком деякі форми епілепсії, ЕС у випадку частих приступів рекомендує проведення ЕЕГ- відеомоніторингу, включеного в апаратно-програмний комплекс, у випадку нечастих - розцінює їх, у відповідності з прийнятими стандартами, як прояв неепілептичного захворювання.
Оскільки ІР складаються з ознак, більшість яких змінюються в часі, вони є гнучкою мірою, що дозволяє в кожний момент у точних кількісних параметрах оцінювати стан обстежуваного і переміщувати його шкалою міри ризику з відповідною зміною тактики його ведення. Поточне кількісне оцінювання тяжкості захворювання дозволяє контролювати оптимальну дозу препаратів, час і темп відміни фармакотерапії в ході лікування.
База даних зберігає повну інформацію на кожного пацієнта і тим самим забезпечує архівування і автоматичний пошук історії хвороби за її номером або прізвищем.
Довідкові підпрограми містять рецептурний довідник і Міжнародну класифікацію епілепсій і синдромів з їх описом.
Алгоритми ЕС є розгалуженим деревом умовних операцій з різними перехресними перевірками. В процесі реалізації було вирішено відмовитись від використання закритих (бінарних) форматів баз даних на користь власного набору текстових форматів. Набір форматів був розроблений так, щоб дати можливість швидкого редагування як даних, так і більшості параметрів самих алгоритмів.
Експертна система реалізована мовою С++ з використанням ефективних механізмів динамічної рекурсивної побудови деревоподібних структур об'єктів і елементів інтерфейсу користувача.
Функціонування ЕС ґрунтується на двох потоках інформації: даних, отриманих за допомогою візуального і кількісного аналізів ЕЕГ, і результатах клінічного дослідження. Вхід у систему можливий як з клінічної, так і з енцефалографічної бази даних.
Аналіз ЕЕГ здійснюється за допомогою діагностичної бази даних ЕЕГ "Тезаурус-2000", розглянутої в. Ця база складається з двох частин, що знаходяться у взаємно-однозначній відповідності:
ієрархічно організованого списку всіх можливих типів нормальних і патологічних ЕЕГ;
списку описів основних видів активності та графічних елементів ЕЕГ.
Оператору спочатку видається перший список, з якого він на основі
аналізу ЕЕГ вибирає необхідний висновок, і після цього видається текст з другого списку, що містить перелік тільки тих видів активності і графоелементів і тільки з тими параметрами, які відповідають певному клінічно-електроенцефалографічному висновку для певного пацієнта з врахуванням його віку.
Далі оператору пропонується ще раз проаналізувати ЕЕГ, виділивши діагностично значимі види активності та графоелементи, зібрані в таблицю, де вони скомпоновані в групи так, що діагностичну вагу має група, а не окрема ознака.
За результатами аналізу таблиць ЕІР та КІР система може прийняти декілька рішень:
у пацієнта 0...2 ступінь ризику епілепсії і проводити більш глибокий аналіз недоцільно. В цьому випадку відразу видається текст висновку з відповідними рекомендаціями;
у пацієнта 0...2 ступінь ризику епілепсії та неепілептичні приступи. Система пропонує зі списку довідкової програми відповідну клінічну форму і вводить її в текст висновку;
у пацієнта 3 ступінь ризику епілепсії (актуальна епілепсія), або 1 чи 2 ступінь, але існує ряд додаткових факторів, що вимушують запропонувати більш глибокий аналіз.
Експертна система враховує досить складні ситуації, коли, наприклад, вибір ліків залежить від того, які типи приступів дозволені для цієї форми епілепсії. В деяких випадках враховується не тільки тип приступу, а І ступінь ризику епілепсії.
Після вибору форми епілепсії видається прогноз захворювання, рекомендації стосовно лікування та список препаратів. Після вибору препаратів вводиться вага пацієнта і пропонується вибрати дози, що рекомендуються.
У текст висновку заносяться всі результати виконаної роботи: опис основних видів активності та графічних елементів ЕЕГ, клінічні дані, вибрані форма епілепсії та типи приступів, прогноз, терапія тощо.
Для всіх пацієнтів ведеться архів його ЕЕГ-записів, текстів висновків, а також спеціальної інформації стосовно ІР та кількості приступів за останній місяць. У випадку наявності невеликого досвіду роботи і певної неврологічної кваліфікації для проведення обстеження та винесення діагнозу потрібно 3...5 хвилин часу.
Використання розглянутої ЕС дозволило досягти значного покращення у 90 % хворих, повного припинення приступів - у 80 % хворих.
2. Використання експертних систем для розпізнавання образів у медицині
Задача розпізнавання образів полягає у визначенні, до якого класу об'єктів (образу) може бути віднесений об'єкт, що розпізнається. Під класом розуміється деяка підмножина об'єктів з близькими властивостями.
На сьогодні для розпізнавання образів використовується велика кількість методів, детальний розгляд яких виходить за межі цього посібника. Тут тільки стисло розглянемо особливості задачі розпізнавання образів у медицині, зокрема розпізнавання біомедичних сигналів.
У медицині задача розпізнавання образів близька до задачі діагностики. Наприклад, форма електрокардіограми (ЕКГ) є характеристикою того, нормально функціонує серце чи ні, і задача діагностики зводиться до розпізнавання ЕКГ здорових і хворих пацієнтів. Для того, щоб виконати розпізнавання, необхідно спочатку створити опис об'єкта, тобто виміряти деякі його характеристики. Найпростіший метод полягає у дискретизації ЕКГ, тобто у виборі значень х(t1),...,х(tn) ординат кривої ЕКГ, виміряних у рівновіддалені моменти часу t1,..,tn (рис.1.6). Крок дискретизації ∆t=ti-ti-1 вибирається згідно з теоремою Котельникова.
Рис. 1.6. Дискретизаціїкривої
Таким чином кожна крива ЕКГ виражається вектором в п-мірному просторі, а множина кривих утворює розподіл вектора X в n-мірному просторі (криві ЕКГ завжди відрізняються одна від одної, тому вектор X є випадковим). Наводиться простий двовимірний приклад двох розподілів, що відповідають нормальному і патологічному станам серця (рис. 1.7). Якщо ці два розподіли вектора X відомі з минулого досвіду, то можна встановити між ними межу g(x1,x2), яка ділить двовимірний простір на дві області. Під час розпізнавання нової кривої ЕКГ залежно від знаку функції g(x1,x2) можна прийняти рішення стосовно відповідності цієї кривої нормі або патології.
Функцію g(x1,x2) називають дискримінантною (розв'язувальною) функцією, а технічний пристрій, що визначає знак g(x1,x2), - блоком прийняття рішень. На рис. 1.8 показана структурна схема системи розпізнавання в n- мірному просторі. Потрібно відзначити, що в цьому випадку розглядається тільки розпізнавання образів у двох класах (нормальний стан та патологія), що суттєво спрощує задачу розпізнавання.
Рис. 1.7. Приклад розпізнавання нормального та патологічного станів
Рис:1 8. Структурна схема системи розпізнавання образів
Щоб спроектувати систему розпізнавання, потрібно вивчити характеристики розподілу вектора ЛГ для кожного класу і визначити відповідну дискримінантну функцію. Складність такого підходу полягає у великій розмірності івектора ознак розмірність^ що може досягати декількох тисяч. Водночас' відомо, що людина -для розпізнавання використовує невелику кількість Ознак, кожна з яких несе значну інформацію і вибирається відповідно до фізичного значення задачі.
Щоб спростити рішення розглянутої задачі потрібно вибрати найбільш інформативні ознаки.
Вибір найбільш інформативних ознак можна розглядати як відображення и.-мірного простору в простір меншої розмірності А", в процесі якого необхідно зберегти властивість роздільності розподілів, що відповідають різним класам.
У результаті отримують новий вектор ознак Y={у1,...,уk}, який є системою похідних ознак, по відношенню до вектора Х={х1,...,хп} первинних ознак. Наприклад, у простому випадку практичного аналізу ЕКГ [3,79] на одному періоді ЕКГ встановлюють певну кількість характеристичних точок (на рис. 8.9 наведені 24 характеристичні точки), що визначають моменти часу t1,...,tm і відповідні їм ординати ζ(t1),..., ζ(tm) кривої ЕКГ, за якими можна обчислити к значень так званих графоелементів (інтервали хвиль і комплексів, амплітуди, кривизну ліній тощо), які утворюють вектор Y={у1,...,уk}. Встановлення характеристичних точок при цьому можна розглядати як своєрідне «проріджування» масиву Х={х1,...,хп},в результаті якого вектор X трансформується у вектор Ξ={t1 ζ(t1);...;tm ζ(tm)}- і лише потім вектор Ξ перетворюють у вектор Y.
Рис. 8.9. Приклад характеристичних точок ЕКГ
Отже, задача розпізнавання образів складається з двох частин: вибір інформативних ознак та формування розв'язувального правила.
Класифікація та особливості систем розпізнавання
Відомо багато підходів до класифікації систем розпізнавання образів. Використаємо класифікацію, наведену в, згідно з якою системи розпізнавання поділяються на:
прості та складні системи;
однорівневі та багаторівневі системи;
системи без навчання, системи, що навчаються і системи з самонавчанням;
детерміновані, імовірнісні, логічні та структурні (лінгвістичні) системи;
традиційні та перспективні (експертні) системи.
Прості та складні системи. Розділення на прості та складні системи проводиться залежно від того, чи мають ознаки, що використовуються для опису об'єктів, які розпізнаються, єдину чи різну фізичну природу. До простих відносяться, наприклад, системи розпізнавання ЕКГ, в яких ознаки є сукупністю відліків ЕКГ. До складних систем медичної діагностики відносять такі, де як ознаки (симптоми) можуть використовуватися результати аналізу крові, ЕКГ, температури, динаміки кров'яного тиску, ультразвукових досліджень тощо.
Однорівневі та багаторівневі системи. Цей рівень класифікації залежить від того, які ознаки використовуються для прийняггя рішення про об'єкти, що розпізнаються - первинні, вторинні тощо.
Наприклад, система розпізнавання ЕКГ, в якій як ознаки використані відліки х(t1),...,х(tn)кривої ЕКГ, є однорівневою; система, в якій ознаками служать графоелементи ЕКГ, тобто елементи вектора Y, є багаторівневою (трирівневою, якщо врахувати, що вектор ознак X перетворюють спочатку у вектор Ξ, а потім - у вектор Y).
Системи без навчання, системи, що навчаються і системи з самонавчанням. У системах без навчання первинної апріорної інформації достатньо, щоб визначити описи ознак, класів, і розв'язувальні правила. Коли ознаками є ймовірність, то описами ознак і класів є умовна густина розподілу ймовірності значень ознак х(t1),...,х(tn)для кожного класу w1,...,wn, тобто функції Р(Х/wi), і=1,...,т, а також апріорні ймовірності Р(wi), i=1,...,т появи об'єктів відповідних класів.
У системах без навчання апріорно відомі або самі функції Р(Х/wi) іР(wi), і=1,...,т або їх оцінки.
Системи, що навчаються, відрізняються тим, що для них визначені переліки ознак і класів, проте описи зв'язків між ознаками і класами відсутні або недостатні для їх використання. Такі системи характеризуються вибір«навчанням з учителем». На етапі навчання «вчитель» багато разів подає системі екземпляри навчальної вибірки об'єктів усіх класів і вказує, до яких класів вони належать. Потім на етапі «іспиту» «учитель» перевіряє якість роботи системи, надаючи їй екземпляри контрольної вибірки, що також містить об'єкти всіх класів. Процедури навчання і контролю чергуються до тих пір, поки не буде досягнута необхідна якість розпізнавання, що характеризується частотою помилкових відповідей.
Для систем із самонавчанням визначені лише переліки ознак - решта ми з апріорної інформації відсутня. На стадії навчання системи їй надають навчальну вибірку об'єктів, не вказуючи, однак, до яких класів вони належать.
Ці вказівки замінюються набором правил, відповідно до яких система розпізнавання сама виробляє розв'язувальне правило.
У процесі побудови систем, які навчаються, і систем з самонавчанням доцільно використовувати принцип зворотного зв'язку, тобто мова йде про принципову можливість донавчання системи за результатами розв'язку задачі розпізнавання.
Детерміновані, ймовірнісні, логічні та структурні (лінгвістичні) системи. В алгоритмах детермінованих систем розпізнавання використовується поняття відстані між об'єктами, що розпізнаються, та еталонами класів. У цілому для рішення задач розпізнавання образів використовуються відстані Евкліда, Хемінга або Левенштейна. Відстань Евкліда визначає міру близькості між об'єктами в просторі ознак (геометричний принцип); відстань Хемінга визначає міру близькості між двійковими векторами однакової довжини, міра Левенштейна визначає кількість елементарних операцій (вставлення, стирання та заміни), що необхідні для перетворення опису одного об'єкту в інший. В детермінованих системах найчастіше використовується відстань Евкліда. Між ознаками та класами встановлюються жорсткі функціональні залежності.
У ймовірнісних системах для побудови алгоритмів розпізнавання використовуються методи, основані на теорії статистичних рішень. Між ознаками об'єктів, що розпізнаються, і класами, до яких ці об'єкти відносяться, встановлюються ймовірнісні залежності.
В логічних системах використовуються методи розпізнавання, що ґрунтуються на дискретному аналізі та численні висловлювань. Зв'язки між ознаками та класами задаються з використанням апарату бульової алгебри.
В структурних (лінгвістичних) системах для побудови алгоритму розпізнавання використовуються спеціальні граматики та мови, що складаються з речень, кожне з яких описує конкретний об'єкт, що належить до певного класу. Задача розпізнавання в цьому випадку зводиться до перевірки належності конкретного речення до певної мови (граматики). Для перевірки ступеня близькості між лінгвістичними одиницями (наприклад, словами) найчастіше використовується відстань Левенштейна.
В медичних експертних системах діагностики найбільш поширені детермінований та ймовірнісний підходи.
Детерміновані системи ґрунтуються на реалізації таких основних методів:
метод пошуку клінічного прецеденту:
метод ідентифікації;
метод фазового простору;
метод лінійних дискримінантних функцій.
У випадку використання методу пошуку клінічного прецеденту за даними, що описують стан хворого, в медичному архіві знаходиться випадок, що збігається за показниками з ситуацією, що спостерігається. Мова може йти про повний (повний прецедент) або частковий збіг (частковий прецедент). Недолік цього методу полягає в необхідності зберігання великих архівів інформації.
Метод, ідентифікації є, по суті, розвитком методу пошуку клінічного прецеденту. В цьому випадку використовується відстань Хемінга. Сукупність симптомів хворого подається у вигляді двійкового (бінарного) вектора, в якому 1 означає наявність певного симптому, а 0 - його відсутність. Суть методу полягає у виборі мінімальної відстані Хемінга між вектором симптомів конкретного хворого та наявних еталонних векторів. Недоліком цього методу є його дискретність, тобто наявність тільки двох значень (0 або 1), що не дає змоги передати кількісні характеристики симптомів захворювання.
У методі фазового простору кожний симптом розглядають як одну з осей координат багатомірного простору з визначеною у цьому просторі метрикою, яка називається «фазовим інтервалом». Ознаками можуть бути будь-які дійсні числа, а не тільки 0 або 1. У випадку наявності великої кількості симптомів втрачається наочність, властива геометричним представленням, та ускладнюється реалізація системи.
Метод лінійних дискримінантних лінійних функцій деякою мірою дозволяє вирішити проблему, відому як «прокляття розмірності». У цьому випадку визначається сума зважених ознак, тобто багатомірний простір ознак перетворюється в одномірний. Однак тут виникає проблема визначення вагових коефіцієнтів, яка часто має суб'єктивний характер.
Традиційні та перспективні (експертні) системи розпізнавання образів
Особливість традиційних систем розпізнавання образів полягає в тому, що їх основу складають цілком визначені переліки ознак і класів. Кожний клас об'єктів досить чітко описується мовою цих ознак.
З цієї точки зору цікаво розглянути відмінності між традиційними ЕС та експертними системами розпізнавання образів.
Експертні системи розпізнавання образів є багаторівневими системами. Верхній рівень повинен приймати кінцеве рішення на основі оброблення логічних висновків нижніх рівнів системи. У цьому випадку системи як нижнього, так і верхнього рівнів, на відміну від традиційних ЕС, роблять висновки не шляхом порівняння з апріорною інформацією, а методами дедукції та індукції.
Один із фундаментальних методів, що використовується в системах розпізнавання образів, ґрунтується на теорії нечітких множин. У цьому випадку класи об'єктів відповідають нечітким множинам, а належність об'єктів до цих класів визначається за допомогою функції належності. Таким чином ЕС отримують необхідні знання з бази знань, генерують висновки про належність об'єктів до певних класів на основі методів дедукції, індукції та аналогії.
Практична частина
Назва програми: Експертна система діагностики хвороб
Мета: Створення системи яка б діагностувала задану хворобу.
Хід роботи
Як працює ЕС ?
Схема роботи експертної системи
Для створення експертної системи я використав оболонку ESWIN2, з якою дуже легко працювати. Як видно на схемі вона працює на співставленні варіантів хворого і правила з ідентичними відповідями і результатом про хворобу.
Інструкція користувачу
Запускаємо програмну оболонку-інтерпретатор ESWin2.В головному меню вибрати Файл/Открыть базу знань..., або натиснути кнопку Открыть БЗ на панелі інструментів. У вікні Открытие файла вибрати файл ES.klb. В головному меню вибрати Решение/Поиск рішення, або на панелі інструментів натиснути Решение. З’явиться вікно з першим запитанням. Відповідати на питання треба так: виділити правильну відповідь і натиснути кнопку ОК, або двічі клацнути мишею на обраному варіанті відповіді. Після того, як будуть дані всі відповіді, у нижній частині екрану з’явиться висновок-повідомлення про результат тестування, а також номер правила, за яким цей висновок було отримано.
Вигляд оболонки ESWIN2.
Головне меню
Як будувалася база даних ?
ЕСскладається:
2 фрейми.
Фрейм -це структура для опису стереотипної ситуації (події, об’єкту, поняття), що містить характеристики цієї ситуації (події, об’єкту, поняття) таїх значення.
Frame=цель
parent:
тест:
endf
Frame=Фактори
Parent:
Кашель [Який у вас кашель ?]: (Дуже сильний кашель;Кашель через 2 доби;Кашель понад 2 тижні;ні кашлю немає)
Шкіра[Зміна кольору та стану шкіри]:(Виражена блідність шкіри;Пожовтіння шкіри;Довгий Озноб(гусяча шкіра);Озноб в перші дні;Блідність обличчя;Свербіж шкіри;Сухість шкіри;Нормальний колір шкіри)
Температура[Яка у вас температура ?]:(Висока температура;Мале підвищення температури; Від 38 до 39; Задуха при невисокій температурі;НІ немає температури)
Головний біль[Чи присутній головний біль ?]:(присутній; Сильний пульсуючий біль і запаморочення; Ні немає головного болю)
Біль[Що вас болить?]: (У мязах; Біль в животі; З права; У нирках; У грудях;У суглобах; Без болю)
Ротова порожнина і Горло[Ротова порожнина і Горло]:(Біль при ковтанні; Постійна сухість горла; Без змін)
Слабкість[Відчуваєте слабкість]: (Так присутня, Не спостерігається)
Апетит[Який у вас апетит ?]: (Втрата апетиту;Нормальний)
Нудота[Відчуваєте нудоту ?]: (Так присутня;При головній болі;Ні)
Водовиділення[Водовиділення]: (Темніше від нормального;Мутне;Часте нічне; Нормальне)
Вага[Зміни в вазі ?]: (Втрата ваги; Збільшення маси ваги;Без змін)
EndF
Із правил.
Правила-продукції дозволяють подати знання у вигляді: ЯКЩО (умова) ТО (висновок), де умова — це зразок, за яким здійснюється пошук у базі знань, а висновок — дії або процедури, що виконуються при успішному завершенні пошуку (можуть бути проміжними, тобто такими, що виступають далі як умови, або цільовими, тобто такими, що завершують роботу системи та є результатом розв’язання задачі).
У ESWin правило виглядає як:
RULE Номер_правила
Умова 1
.....
Умова n
DO
Висновок 1
......
Висновок m
ENDR
Для розрахунку всіх можливих комбінацій я використав мову С++,
за допомогою якої я розрахував 21780 правил.
Текст програми для розрахунку комбінацій варіантів відповідей:
#include "stdafx.h"
#include "conio.h"
#include "stdlib.h"
#include "math.h"
long int ** chusla;
int pravulo (int chuslo)
{
int sum;
int t;
sum=0;
for (int i=1; i<=chuslo;i++)
{
sum=sum+i;
}
t=sum;
return t;
}
void pochatok (int nomer_pravula)
{
FILE *t;
t=fopen("spusok.txt","a");
int kilkist=0;
for (int j=1; j<=1; j++)
{
fprintf(t,"Rule %d \n", nomer_pravula);
for (int i=1; i<=11; i++)
{
chusla[j][i]=i;
fprintf(t,"%d s \n",chusla[j][i]);
kilkist=kilkist+1;
}
fprintf(t," Do \n");
fprintf(t," EQ(Тест; У вас ГЕПАТИТ з ймовірністю %d відсотків.) \n",kilkist*100/11);
fprintf(t,"EndR \n");
fprintf(t,"\n");
}
fclose(t);
}
void odna_cufra(int nomer_pravula)
{
FILE *t;
t=fopen("spusok.txt","a");
int kilkist;
for (int i=1; i<=11; i++)
{
fprintf(t,"Rule %d \n",nomer_pravula+i);
kilkist=1;
for(int j=1; j<=11;j++)
{
if (i == chusla[1][j]) {continue;}
chusla[i+1][kilkist]=j;
fprintf(t,"%d s \n",chusla[i+1][kilkist]);
kilkist=kilkist+1;
}
fprintf(t," Do \n");
fprintf(t," EQ(Тест; У вас ГЕПАТИТ з ймовірністю %d відсотків.) \n",(kilkist-1)*100/11);
fprintf(t,"EndR \n");
fprintf(t,"\n");
}
fclose(t);
}
void vuvid(long int nomer_rjadka,long int nomer_pravula,int prp)
{
FILE *t;
int l,pr,z=1;
int n,m=1;
int k=1;
int kilkist;
int propusk[16],propusk1[16],propusk2[16];
pr=0;
for (int i=1;i<=11;i++)
{
l=0;
for (int j=1;j<=11;j++)
{
if (i == chusla[nomer_rjadka][j]) {l=l+1;}
}
if (l == 0) {propusk[k]=i; k=k+1;}
if (k == 8) {exit(1);}
}
for (int i=1;i<=11;i++)
{
l=0;
for (int j=1;j<=11;j++)
{
if (i == chusla[nomer_rjadka+1][j]) {l=l+1;}
}
if (l == 0) {propusk1[z]=i; z=z+1;}
}
for (int i=1;i<=11;i++)
{
l=0;
for (int j=1;j<=11;j++)
{
if (i == chusla[nomer_rjadka-1][j]) {l=l+1;}
}
if (l == 0) {propusk2[m]=i; m=m+1;}
}
if (propusk[1]<(11-(k-2)))
{
n=2;
if (propusk[1]== propusk2[1]) {propusk[1]=propusk[prp];}
for (int j=propusk[1]+1;j<=11;j++)
{
if (j== propusk[n]) {n=n+1; continue;}
kilkist=1;
t=fopen("spusok.txt","a");
fprintf(t, "Rule %d\n",nomer_pravula+pr);
pr=pr+1;
for (int i=1; i<=11-prp; i++)
{
if (j==chusla[nomer_rjadka][i]) {continue;}
chusla[nomer_pravula+(pr-1)][kilkist]=chusla[nomer_rjadka][i];
fprintf(t,"%d s \n",chusla[nomer_rjadka][i]);
kilkist=kilkist+1;
}
fprintf(t," Do \n");
fprintf(t," EQ(Тест; У вас ГЕПАТИТ з ймовірністю %d відсотків.) \n",(kilkist-1)*100/11);
fprintf(t,"EndR \n");
fprintf(t,"\n");
fclose(t);
}
}
else
{
if (z>k) {prp=prp+1;}
vuvid(nomer_rjadka+1,nomer_pravula+pr,prp);
}
if (z>k) {prp=prp+1;}
vuvid(nomer_rjadka+1,nomer_pravula+pr,prp);
}
int _tmain(int argc, _TCHAR* argv[])
{
FILE *t;
int nomer_pravula=7261;
t=fopen("spusok.txt","wt");
chusla= new long int*[100000];
for (int i=1; i<=100000; i++)
{
chusla[i]=new long int[16];
}
pochatok(nomer_pravula);
odna_cufra(nomer_pravula);
vuvid(2,nomer_pravula+11,1);
return 0;
}
Список хворіб які діагностує ЕС:
Пневмонія
Грип та гостра респіраторна інфекція (ГРІ)
Гепатит
Дифтерія
Пієлонефрит
Ангіна
Анемія
Артрит
Мігрень
Діабет
Туберкульозу
Захворювань щитовидної залози
Правила за якими ЕС діагностувала хворобу на 100 %
Захворювання щитовидної залози
Rule 1
EQ(Фактори.Кашель; ні кашлю немає)
EQ(Фактори.Шкіра; Сухість шкіри)
EQ(Фактори.Температура; НІ немає температури)
EQ(Фактори.Головний біль; ні немає головного болю)
EQ(Фактори.Біль; без болю)
EQ(Фактори.Ротова порожнина і Горло; без змін)
EQ(Фактори.Слабкість; так присутня)
EQ(Фактори.Апетит; нормальний)
EQ(Фактори.Нудота; ні)
EQ(Фактори.Водовиділення; нормальне)
EQ(Фактори.Вага; збільшення маси ваги)
Do
EQ(Тест;У вас ЗАХВОРЮВАННЯ ЩИТОВИДНОЇ ЗАЛОЗИз ймовірністю 100%.)
EndR
Мігрень
Rule 1
EQ(Фактори.Кашель; ні кашлю немає)
EQ(Фактори.Шкіра; Блідність обличчя)
EQ(Фактори.Температура; НІ немає температури)
EQ(Фактори.Головний біль; сильний пульсуючий біль і запаморочення)
EQ(Фактори.Біль; без болю)
EQ(Фактори.Ротова порожнина і Горло; без змін)
EQ(Фактори.Слабкість; не спостерігається)
EQ(Фактори.Апетит; нормальний)
EQ(Фактори.Нудота; при головній болі)
EQ(Фактори.Водовиділення; нормальне)
EQ(Фактори.Вага; без змін)
Do
EQ(Тест;У вас МІГРЕНЬ з ймовірністю 100%.)
EndR
Пневмонія
Rule 1
EQ(Фактори.Кашель; дуже сильний кашель;)
EQ(Фактори.Шкіра; виражена блідність шкіри)
EQ(Фактори.Температура; задуха при невисокій температурі)
EQ(Фактори.Головний біль; ні немає головного болю)
EQ(Фактори.Біль; у грудях)
EQ(Фактори. Ротова порожнина і Горло; без змін)
EQ(ФакториСлабкість;не спостерігається)
EQ(Фактори.Апетит; нормальний)
EQ(Фактори.Нудота; ні)
EQ(Фактори.Водовиділення; нормальне)
EQ(Фактори.Вага; без змін)
Do
EQ(Тест;У вас ПНЕВМОНІЯ з ймовірністю 100%.)
EndR
Ангіна
Rule 1
EQ(Фактори.Кашель; ні кашлю немає)
EQ(Фактори.Шкіра; Озноб в перші дні)
EQ(Фактори.Температура; від38 до 39)
EQ(Фактори.Головний біль; присутній)
EQ(Фактори.Біль; без болю)
EQ(Фактори. Ротова порожнина і Горло; біль при ковтанні)
EQ(ФакториСлабкість; так присутня)
EQ(Фактори.Апетит; нормальний)
EQ(Фактори.Нудота; ні)
EQ(Фактори.Водовиділення; нормальне)
EQ(Фактори.Вага; без змін)
Do
EQ(Тест;У вас АНГІНА з ймовірністю 100%.)
EndR
Діабет
Rule 1
EQ(Фактори.Кашель; ні кашлю немає)
EQ(Фактори.Шкіра; Свербіж шкіри)
EQ(Фактори.Температура; НІ немає температури)
EQ(Фактори.Головний біль; ні немає головного болю)
EQ(Фактори.Біль; без болю)
EQ(Фактори.Ротова порожнина і Горло; постійна сухість горла)
EQ(Фактори.Слабкість; не спостерігається)
EQ(Фактори.Апетит; нормальний)
EQ(Фактори.Нудота; ні)
EQ(Фактори.Водовиділення; часте нічне)
EQ(Фактори.Вага; втрата ваги)
Do
EQ(Тест;У вас ДІАБЕТ з ймовірністю 100%.)
EndR
Анемія
Rule 1
EQ(Фактори.Кашель; ні кашлю немає)
EQ(Фактори.Шкіра; нормальний колір шкіри)
EQ(Фактори.Температура; НІ немає температури)
EQ(Фактори.Головний біль; ні немає головного болю)
EQ(Фактори.Біль; без болю)
EQ(Фактори. Ротова порожнина і Горло; без змін)
EQ(ФакториСлабкість; так присутня)
EQ(Фактори.Апетит; Втрата апетиту)
EQ(Фактори.Нудота; ні)
EQ(Фактори.Водовиділення; нормальне)
EQ(Фактори.Вага; без змін)
Do
EQ(Тест;У вас АНЕМІЯ з ймовірністю 100%.)
EndR
Артрит
Rule 1
EQ(Фактори.Кашель; ні кашлю немає)
EQ(Фактори.Шкіра; нормальний колір шкіри)
EQ(Фактори.Температура; НІ немає температури)
EQ(Фактори.Головний біль; ні немає головного болю)
EQ(Фактори.Біль; у суглобах)
EQ(Фактори. Ротова порожнина і Горло; без змін)
EQ(ФакториСлабкість; так присутня)
EQ(Фактори.Апетит; нормальний)
EQ(Фактори.Нудота; ні)
EQ(Фактори.Водовиділення; нормальне)
EQ(Фактори.Вага; втрата ваги)
Do
EQ(Тест;У вас АРТРИТ з ймовірністю 100%.)
EndR
Гепатит
Rule 1
EQ(Фактори.Кашель; ні кашлю немає;)
EQ(Фактори.Шкіра; пожовтіння шкіри)
EQ(Фактори.Температура; НІ немає температури)
EQ(Фактори.Головний біль; ні немає головного болю)
EQ(Фактори.Біль; з права)
EQ(Фактори. Ротова порожнина і Горло; без змін)
EQ(ФакториСлабкість; так присутня)
EQ(Фактори.Апетит; Втрата апетиту)
EQ(Фактори.Нудота; так присутня)
EQ(Фактори.Водовиділення; темніше фід нормального)
EQ(Фактори.Вага; без змін)
Do
EQ(Тест;У вас ГЕПАТИТ з ймовірністю 100%.)
EndR
Гостра рефлекторна інфекція
Rule 1
EQ(Фактори.Кашель; кашель через 2 доби)
EQ(Фактори.Шкіра; Довгий Озноб(гусяча шкіра))
EQ(Фактори.Температура; Висока температура)
EQ(Фактори.Головний біль; присутній)
EQ(Фактори.Біль; У мязах)
EQ(Фактори. Ротова порожнина і Горло; без змін)
EQ(ФакториСлабкість; так присутня)
EQ(Фактори.Апетит; нормальний)
EQ(Фактори.Нудота; ні)
EQ(Фактори.Водовиділення; нормальне)
EQ(Фактори.Вага; без змін)
Do
EQ(Тест;У вас ГОСТРА РЕФЛЕКТОРНА ІНФЕКЦІЯ з ймовірністю 100%.)
EndR
Дифтерія
Rule 1
EQ(Фактори.Кашель; ні кашлю немає)
EQ(Фактори.Шкіра; нормальний колір шкіри)
EQ(Фактори.Температура; Мале підвищення температури)
EQ(Фактори.Головний біль; присутній)
EQ(Фактори.Біль; біль в животі)
EQ(Фактори.Ротова порожнина і Горло; біль при ковтанні)
EQ(Фактори.Слабкість; так присутня)
EQ(Фактори.Апетит; Втрата апетиту)
EQ(Фактори.Нудота; ні)
EQ(Фактори.Водовиділення; нормальне)
EQ(Фактори.Вага; без змін)
Do
EQ(Тест;У вас ДИФТЕРІЯ з ймовірністю 100%.)
EndR
Туберкульоз
Rule 1
EQ(Фактори.Кашель; Кашель понад 2 тижні)
EQ(Фактори.Шкіра; нормальний колір шкіри)
EQ(Фактори.Температура; Мале підвищення температури)
EQ(Фактори.Головний біль; ні немає головного болю)
EQ(Фактори.Біль;у грудях)
EQ(Фактори.Ротова порожнина і Горло; без змін)
EQ(Фактори.Слабкість; так присутня)
EQ(Фактори.Апетит; Втрата апетиту)
EQ(Фактори.Нудота; ні)
EQ(Фактори.Водовиділення; нормальне)
EQ(Фактори.Вага; втрата ваги)
Do
EQ(Тест;У вас ТУБЕРКУЛЬОЗ з ймовірністю 100%.)
EndR
Пієлонефрит
Rule 1
EQ(Фактори.Кашель; ні кашлю немає)
EQ(Фактори.Шкіра; нормальний колір шкіри)
EQ(Фактори.Температура; Висока температура)
EQ(Фактори.Головний біль; ні немає головного болю)
EQ(Фактори.Біль; у нирках)
EQ(Фактори. Ротова порожнина і Горло; без змін)
EQ(ФакториСлабкість; не спостерігається)
EQ(Фактори.Апетит; нормальний)
EQ(Фактори.Нудота; ні)
EQ(Фактори.Водовиділення; мутне)
EQ(Фактори.Вага; без змін)
EQ(Тест;У вас ПІЄЛОНЕФРИТ з ймовірністю 100%.)
EndR
Висновок
В рамках курсової роботи було описано використання ЕС в медицині, проведено діагностику даних хвороб, були ретельно вибрані питання які увійшли до переліку діагностикиі розроблена структура системи, що дозволяє діагностувати хворобу пацієнта.
Результатом виконання даної курсової роботи є експертна система для визначення хвороб(пневмонія,грип та гостра респіраторна інфекція(грі),гепатит,дифтерія,пієлонефрит,ангіна,анемія,артрит, мігрень,діабет,туберкульозу,захворювань щитовидної залози). За допомогою цієї ЕС можна легко визначити захворювання на яке скаржиться пацієнт.
В даній курсовій роботі описано будову і принцип роботи нашої експертної системи.
Представлено програму за допомогою якої розраховувалися всі варіанти правил, а також правила які відповідають 100 %-ій ймовірності діагностування певної хвороби.
Для створення експертної системи я використав оболонку ESWIN2, з якою дуже легко працювати. Як видно на схемі вона працює на співставленні варіантів хворого і правила з ідентичними відповідями і результатом про хворобу.
2>60>1>1>Характеристики
Тип файла документ
Документы такого типа открываются такими программами, как Microsoft Office Word на компьютерах Windows, Apple Pages на компьютерах Mac, Open Office - бесплатная альтернатива на различных платформах, в том числе Linux. Наиболее простым и современным решением будут Google документы, так как открываются онлайн без скачивания прямо в браузере на любой платформе. Существуют российские качественные аналоги, например от Яндекса.
Будьте внимательны на мобильных устройствах, так как там используются упрощённый функционал даже в официальном приложении от Microsoft, поэтому для просмотра скачивайте PDF-версию. А если нужно редактировать файл, то используйте оригинальный файл.
Файлы такого типа обычно разбиты на страницы, а текст может быть форматированным (жирный, курсив, выбор шрифта, таблицы и т.п.), а также в него можно добавлять изображения. Формат идеально подходит для рефератов, докладов и РПЗ курсовых проектов, которые необходимо распечатать. Кстати перед печатью также сохраняйте файл в PDF, так как принтер может начудить со шрифтами.















