86271 (612705), страница 2
Текст из файла (страница 2)
3. Основные свойства касательной и нормали к циклоиде
Непосредственно очевидно, что ∟DOM равен 90° — φ.
Значит, ∟OMP = 90° — φ. Таким образом, получаем:
∟РМТ = ∟ОМТ - ∟ ОМР = 90° —
— (90° — φ) =
.
Получается замечательный результат: угол РМТ оказывается равным углу РМЕ (см. теорему 2). Следовательно, прямые ME и МТ сольются! Наш рис. 18 сделан не совсем правильно! Правильное расположение линий дано на рис. 19.
Сформулируем полученный результат виде теоремы 3.
Теорема 3 (первое основное свойство циклоиды). Нормаль к циклоиде проходит через «нижнюю» точку производящего круга.
Из этой теоремы получается простое следствие. Угол между касательной и нормалью, по определению, — прямой. Это угол, вписанный в окружность производящего круга. Поэтому он должен опираться на диаметр круга. Итак, ТТ1— диаметр, и T1 — «верхняя» точка производящего круга. Сформулируем полученный результат.
Следствие (второе основное свойство циклоиды). Касательная к циклоиде проходит через «верхнюю» точку производящего круга.
Что бы объяснить это свойство нам необходимо построить циклоиду.
Построение циклоиды.
Построение циклоиды производится в следующей последовательности:
-
На направляющей горизонтальной прямой откладывают отрезок АА12, равный длине производящей окружности радиуса r, (2πr);
-
Строят производящую окружность радиуса r, так чтобы направляющая прямая была касательной к неё в точке А;
-
Окружность и отрезок АА12 делят на несколько равных частей, например на 12;
-
Из точек делений 11, 21, ...121 восстанавливают перпендикуляры до пересечения с продолжением горизонтальной оси окружности в точках 01, 02, ...012;
-
Из точек деления окружности 1, 2, ...12 проводят горизонтальные прямые, на которых делают засечки дугами окружности радиуса r;
-
Полученные точки А1, А2, ...А12 принадлежат циклоиде.
На рис. 20 основание циклоиды разделено на 6 равных частей;
чем число делений будет больше, тем, как мы знаем, чертеж получится точнее. В каждой точке циклоиды, построенной нами, проведем касательную, соединяя точку кривой с «верхней» точкой производящего круга. На нашем чертеже получилось семь касательных (из них две — вертикальные). Проводя теперь циклоиду от руки, будем заботиться, чтобы она действительно касалась каждой из этих касательных: это значительно увеличит точность чертежа. При этом сама циклоида будет огибать все эти касательные 1).
Проведем на том же рис. 20 нормали во всех найденных точках циклоиды. Всего будет, не считая направляющей, пять нормалей. Можно построить от руки сгибающую этих нормалей. Если бы мы вместо шести взяли 12 или 16 точек деления, то нормалей на чертеже было бы больше, и огибающая наметилась бы ясней. Такая огибающая всех нормалей играет важную роль при изучении свойств любой кривой линии. В случае циклоиды обнаруживается любопытный факт: огибающей нормалей циклоиды служит точно такая же циклоида, только сдвинутая на 2а вниз и на πа вправо. Этот факт характерен именно для циклоиды.
4. Геометрическое определение циклоиды
Теперь мы дадим определение циклоиды как геометрического места точек, не пользуясь механикой. Проще всего поступить так. Рассмотрим произвольную прямую АВ (будем условно считать ее направление горизонтальным) и на ней точку М0. Далее рассмотрим всевозможные круги определенного радиуса, касающиеся этой прямой и расположенные по одну сторону от нее. На каждом круге от точки Т касания его с прямой АВ отложим (в направлении к точке М0) дугу ТМ, по длине равную отрезку М0Т. Геометрическое место точек М (взятых на всех упомянутых нами кругах) и будет циклоидой.
Установим еще одно важное свойство циклоиды и попробуем именно его положить в основу изучения этой кривой.
Рассмотрим треугольник МТТ1 (рис. 21), образованный вертикальным диаметром производящего круга, касательной к циклоиде и нормалью к ней.
Связь между «высотой» и наклоном касательной
Угол МТ1Т, как вписанный в окружность, равен половине центрального угла, опирающегося на ту же дугу, т. е. равен
. Проведем МК||АВ и ME ┴ АВ. Отрезок МЕ будет играть в дальнейшем значительную роль, поэтому дадим ему имя и обозначение: будем называть его «высотою» точки М циклоиды и обозначать буквою h. Итак, высота точки М циклоиды — это расстояние ее от направляющей прямой.
Обратим внимание на угол КМТ. Он равен углу МТ1Т. Из треугольника ТМТ1 получаем:
МТ = 2а sin
а из треугольника ТКМ:
КТ = МТ sin-
.
Сопоставляя эти результаты и замечая, что КТ = h, получим окончательно:
h = 2a sin2
Мы выразили высоту точки М через угол между касательной в точке М и вертикалью (горизонталью мы по-прежнему считаем направление прямой АВ). Теперь выразим синус этого угла через «высоту». Получим, очевидно:
где через k обозначена постоянная для данной циклоиды величина
Полученный результат изложим в теореме.
Теорема 4. Синус угла между касательной к циклоиде в точке М и вертикалью пропорционален корню квадратному из «высоты» точки М.
Этим свойством обладает, очевидно, любая циклоида. Возникает вопрос: в какой мере это свойство характеризует именно циклоиду: будет ли всякая кривая, обладающая этим свойством, непременно циклоидой? Можно доказать, что это будет именно так, — что верна и следующая (обратная) теорема:
Теорема 5. Если даны прямая АВ и точка М, то единственной кривой, удовлетворяющей условиям теоремы 4 и проходящей через точку М, будет циклоида.
При этом радиус производящего круга этой циклоиды связан с коэффициентом k, о котором говорится в теореме 4, следующим соотношением:
(Разумеется, расстояние точки М от АВ должно быть меньше, чем 2а.)
Строгое доказательство этой теоремы средствами элементарной математики очень громоздко, и мы его приводить здесь не будем.
Семейство циклоид
Если в условии теоремы 5 не оговорить, что искомая кривая проходит через наперед указанную точку М, то получится не одна, а бесконечное множество циклоид, которые получаются друг из друга параллельным сдвигом по направлению прямой АВ (одна из них проходит через точку М, другая — через М1 третья — через М2 и т. д.). Это множество, или, как его называют, семейство циклоид изображено на рис. 22.
5. Параметрическое уравнение циклоиды и уравнение в декартовых координатах
Допустим, что у нас дана циклоида, образованная окружностью радиуса а с центром в точке А.
Если выбрать в качестве параметра, определяющего положение точки, угол t=∟NDM на который успел повернуться радиус, имевший в начале качения вертикально е положение АО, то координаты х и у точки М выразятся следующим образом:
х= OF = ON - NF = NM - MG = at-a sin t,
y= FM = NG = ND – GD = a – a cos t
Итак параметрические уравнения циклоиды имеют вид:
(0
≤ t ≤ 2π).
При изменении t от -∞ до +∞ получится кривая, состоящая из бесчисленного множества таких ветвей, какая изображена на данном рисунке.
Так же, помимо параметрического уравнения циклоиды, существует и ее уравнение в декартовых координатах:
, где r – радиус окружности, образующей циклоиду.
6. Задачи на нахождение частей циклоиды и фигур, образованных циклоидой
Задача №1. Найти площадь фигуры, ограниченной одной аркой циклоиды, уравнение которой задано параметрически
и осью Ох.
Решение. Для решения данной задачи, воспользуемся известными нам фактами из теории интегралов, а именно:
Площадь криволинейного сектора.
Рассмотрим некоторую функцию r = r(ϕ), определенную на [α, β].
Будем считать, что r и ϕ — полярные координаты точки. Тогда любому
ϕ0 ∈ [α, β] соответствует r0 = r(ϕ0) и, значит, точка M0(ϕ0, r0), где ϕ0,
r0 — полярные координаты точки. Если ϕ будет меняться, «пробегая» весь[α, β], то переменная точка M опишет некоторую кривую AB, заданную
уравнением r = r(ϕ).
Определение 7.4. Криволинейным сектором называется фигура, ограниченная двумя лучами ϕ = α, ϕ = β и кривой AB, заданной в полярных
координатах уравнением r = r(ϕ), α ≤ ϕ ≤ β.
Справедлива следующая
Теорема. Если функция r(ϕ) > 0 и непрерывна на [α, β], то площадь
криволинейного сектора вычисляется по формуле:
Эта теорема была доказана ранее в теме определенного интеграла.
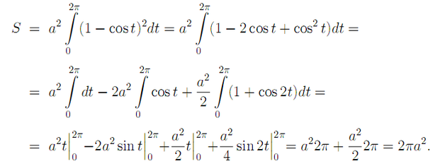
Исходя из приведенной выше теоремы, наша задача о нахождении площади фигуры, ограниченной одной аркой циклоиды, уравнение которой задано параметрические x= a (t – sin t) , y= a (1 – cos t) , и осью Ох, сводится к следующему решению.
Решение. Из уравнения кривой dx = a(1−cos t) dt. Первая арка циклоиды соответствует изменению параметра t от 0 до 2π. Следовательно,
Задача №2. Найти длину одной арки циклоиды
Так же в интегральном исчислении изучалась следующая теорема и следствие из нее.
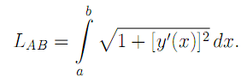
Теорема. Если кривая AB задана уравнением y = f(x), где f(x) и f’(x) непрерывны на [a, b], то AB является спрямляемой и
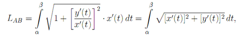
Следствие. Пусть AB задана параметрически
LAB =
(1)
Пусть функции x(t), y(t) непрерывно-дифференцируемые на [α, β]. Тогда
формулу (1) можно записать так
Сделаем замену переменных в этом интеграле x = x(t), тогда y’(x)=
;
dx= x’(t)dt и, следовательно:
















