86121 (612655), страница 2
Текст из файла (страница 2)
является аналитической функцией (по теореме Вейерштраса) в области ReS >.
Из представления (2.5) следует теперь, что L (S, x) есть аналитическая функция в полуплоскости ReS >, а ввиду произвольности S – и b полуплоскости ReS > 0.
Следствие. Пусть (n) – произвольный характер. Тогда в области ReS > 1 справедливо равенство
Это следует из того, что ряд (2.1) по доказанному равномерию сходится в области ReS>1+, где >0. Следовательно, по теореме Вейштрасса о равномерно сходящихся рядах аналитических функций в этой области ряд (2.1) можно почленно дифференцировать
Поэтому в полуплоскости ReS>1+ выполняется равенство (2.7). Так как в этом рассуждении -любое положительное число, то равенство (2.7) будет справедливо в полуплоскости ReS>1.
Для L-функций имеет место представление в виде бесконечного произведения по простым числам, аналогичное тождеству Эйлера. Рассмотрим вспомогательную Лемму.
Лемма 5. Пусть функция f(n) вполне мультипликативна и ряд
(2.8)
абсолютно сходится. Тогда выполняется равенство
(2.9)
Доказательство. Отметим прежде всего, что /f(n)/<1 при любом натуральном n>1. В противном случае при каждом m
/f(n)m/=/f(n)/m1,
что противоречит сходимости ряда (2.6). Поэтому при каждом простом р ряд
абсолютно сходится, и его сумма как сумма бесконечно убивающей геометрической прогрессии равна (1-f(р))-1. Кроме этого, в силу абсолютной сходимости, ряды можно перемножить. Перемножая конечное число таких рядов и используя то, что f(n) есть вполне мультипликативная функция, получим
где ne = p … ps и в сумме в правой части равенства содержатся такие и только такие слагаемые f(ne), что все просты делители ne не превосходят х. Следовательно, в разности
остаются те и только те слагаемые f(me), для которых у числа me имеется хотя бы один простой делитель р>x. Тогда оценим разность
/S-S(x)/
и из абсолютной сходимости ряда (2.8) следует, что
Это доказывает, что бесконечное произведение (2.7) сходится и выполняется утверждение Леммы.
Лемма 6. Для каждого характера (n) в области ReS > 1 справедливо представление
Доказательство. Эта лемма является следствием Леммы 5, поскольку функция (n) вполне мультипликативна, то есть (АВ)= (А) (В), и выполняется неравенство /(n)/ 1 по теореме 1.
Следствие 1. В области ReS > 1 для главного характера 1(n) по модулю m справедливо равенство
и поэтому функция L (S, 1) может быть аналитически продолжена в область ReS > 0, где она имеет единственный полюс (первого порядка) в точке S=1.
Действительно, по определению главного характера 1(n) имеет место равенство
Поэтому
Пользуясь теперь тождеством Эйлера для дзета-функции Римана получаем равенство (2.10). Остальные утверждения легко следуют из этого равенства, поскольку дзета-функция является аналитической в области ReS > 0 с единственным полюсом первого порядка в точке S = 1.
Следствие 2. Для каждого характера функция L (S, x) не обращается в нуль в области ReS > 1.
Доказательство.
Если = ReS > 1. то
Пользуясь неравенством для дзета-функции Римана, находим
Получаем:
L (S,) ≥
> 0
Теперь докажем утверждения, что L – функция, соответствующая неглавному характеру , точке S =1 отлична от нуля.
Теорема 2. Если – неглавный характер, то L (1, )≠0
Для доказательства рассмотрим 2 случая
1. Пусть характер – комплексное число, не является действительным. Тогда характер 2(n) не является главным. В этом случае доказательство теоремы будет основываться на тех же идеях, что и доказательство отсутствия нулей дзета – функции на прямой ReS=1.
Лемма7. Пусть 0<ч<1, а х – действительное число, тогда выполняется неравенство /(1 – ч)3 (1 – чеix)4 (1 – че2ix)/-1 ≥ 1
Доказательство.
Для всех z из круга /z/<1 имеет место расположение
– ln (1 – z) =
(2.11)
Так как ln(t) = Re lnt, то обозначая М (ч φ), левую часть неравенства (2.11), получим
lnM (ч φ) = 3ln (1 – ч) – 4 ln (1 – чеi4) – ln (1 – че2i4) = – 3ln (1-ч) – 4Reln/1 – чеi4/ – Reln/1 – че2i4/=
rc (3+4e)inl /1-rei4/=
(3+4cosnl+2cos2nl)=
(2+4cos+1+cos2)=
1 (1+cos)20
ln=M (r, l)=0
Следовательно, M (r, l)=1 доказана.
Из леммы 7 следует, сто при любом действительном S>1 выполняется равенство:
|L3(8, 1) L4(S, ) 4 (S, 4) 1 = П (1-
)3(1-
)4(1-
)|-1 (2.12)
Получая в лемме ч = р-s, т.е.
0< ч = 1(р)<1
0< р-s <1
(р) р-s = чеi4, в силу того что (р) – комплексное
(р) р-s = че2i4
Получаем, что каждый сомножитель в правой части равенства (f) не меньше 1 и, следовательно, при любом S>1 выполняется равенство:
|L3(S1) · L4(S) L (S2)| ≥ 1 (2.13)
Допустим, что для некоторого характера (2≠1) выполняется равенство
L (1, ) = 0 (2.14)
Оценим сверху левую часть неравенства. Из оценки дзета-функции Римана
ξ(S) ≤
, следует, что при S € R, S>1 выполняется неравенство
а) 0 < 4 (S, 1) =
получили 0
б) Функция L (S, ) разложим в ряд Тейлора
L (S, ) = Cp + C1 (S – 1) + C2(S – 1)2 +… + Cn(S – 1)n +…
Предположим, что у нее есть нуль L (1, ) = 1; тогда С0 = 0
Перепишем разложение L – функции в ряд
L(S) = Cк (S – 1)к + Ск+1(S – 1)к+1 = (S – 1)1 (Cк + Ск+1(S -1) +….), где к≥1, Ск ≤ 0, т. к. S>1
| L (S, )| = |S – 1|k| Ck + Ck+1(S – 1) +….| ≤ 2 Ck|S – 1)k, при |S – | < r
Функция L (S, 2) в точке S = 1 не имеет полюса, следовательно не имеет особенности. Это в силу того, что комплексное и 2≠1
Получаем неравенство:
L (S, 2) ≤ C,
При условии | S – 1|< δ
Учитывая все неравенства и оценки
| L3 (S, ) L4(S, ) L (S, 2)| = (
)3 · 24 |Ck|4 (S – 1)4k· C≥1
Следовательно, это неравенство становится противоречивым, если перейти к пределу при S→1+0. Полученное противоречие показывает, что равенство (2.14) не выполняется.
2. Рассмотрим – вещественный характер, т.е. принимающий только вещественные значения, несовпадающий с главным характером
Лемма 8. Пусть – вещественный характер.
Рассмотрим функцию
F(S) = ξ(S) L (S, x) (2.15)
Докажем, что если Re S>1, то
(2.16)
представляется рядом Дирихле, которого справедливы следующие утверждения:
1) Все коэффициенты аn ≥ 0
2) при n=k2, k € / N(N)/ аn≥1
3) В области ReS<1 можно почленно дифференцировать, то есть
F (k) (S)=
(-1)k(ln n)k
k=1,2…; (2.17)
4) Ряд (1) в точке S=1/2 расходится.
Доказательство. В области ReS > 1 ряды, определяющие функции S(S) и L (S,), абсолютно сходятся, поэтому их можно перемножить:
где
Пусть
- расположение числа n в произведение простых сомножителей. Тогда все натуральные делители l числа n имеют вид
поэтому из равенства (14) находим, что
где ani = 1+ (pi)+ … +Li (pi), i=1,…, m (2.21)
так как – вещественный характер, то он может принимать только три значения: 0, 1, -1. Из равенства (2.21) следует, что
(2.22)
Во всех случаях числа ani0, а значит, и an=an1 … anm0
Если же число п является полным квадратом, то
N=k2=p/2 … pm 2,
и из равенств (2.20) и (2.22) следует, что аn 1
При любом > 0 в области ReS> 1 + выполняется неравенство
Ряд (2.18) сходится в области ReS > 1. Поэтому по признаку Вейерштрасса ряд (2.16) сходится равномерно в области ReS > 1 + , а по теореме Вейерштрасса его можно в этой области почленно дифференцировать любое число раз. Следовательно, в области ReS > 1 + выполняется равенство (2. 17), а в силу произвольности оно выполняется и в области ReS > 1.
Однако ряд (39) расходится, так как по второму утверждению леммы
Ряд (2.16) при S =
имеет неотрицательные члены. Поэтому, если бы он сходился, то также сходился бы ряд
Следовательно, ряд (2.23) расходится. Лемма доказана.
Переходим непоредственно к доказательству второго случая теоремы. Допустим, что L (1,) = 0. Тогда полюс дзета-функции будет компенсироваться в произведении S(S) L (S, ) нулем функции L (S, ).
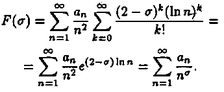
Поэтому функция (2.15) F(S) будет аналитической в области ReS > 0 так как в точке S=1 у F() – устраненная особая точка. Следовательно, ее можно разложить в ряд Тейлора в точке S = 2:
радиус сходимости которого не меньше 2 R2/
Из равенств (2.17), в частности S=2, находим
В радиусе сходимости будет брать не все S, а только вещественные ReS= S=(0,2). Пользуясь разложениями (18) и (19), находим
Члены двойного ряда неотрицательны, поэтому он сходится абсолютно, и в нем можно поменять порядок суммирования. Тогда
Следовательно, ряд (2.16) сходится во всех точках, < (, 0, 2), и в точке
, а это противоречит четвертому утверждению леммы. Поэтому L (S,)0/
Этим завершается доказательство теоремы
По следствию 2 леммы 2 функция
является аналитической в области ReS > 1. Для дальнейшего доказательства теоремы Дирихле нам будет необходимо представление этой функции в виде ряда, аналогичного ряда (2.16).
Лемма. Для каждого характера (n) в области ReS > 1 справедливо равенство
Доказательство.
Так как S=+it имеет место неравенство
получаем, что ряд стоящий в правой части равенства (2.26), абсолютно сходится в области >1. Умножим этот ряд на ряд определяющий L (S, ). Получили
Предпоследнее равенство имеет место ввиду равенства
), а последнее – по следствию из леммы 3, равенство 2.7.
3. Доказательство теоремы Дирихле
Теорема. Если разность и первый член арифметической прогрессии есть взаимно простые натуральные числа, то она содержит бесконечное множество простых чисел.
Доказательство.
Рассмотрим равенство (2.26), которое справедливое по Лемме в области ReS > 1. Поскольку
(n) = 0 для всех n, не являющихся степенями простых чисел, то все отличные от нуля члены ряда в правой части (2.26) имеют вид
где р – простое и k – натуральное числа. Ряд (2.26) абсолютно сходится, следовательно, его можно представить в виде двойного ряда) и, значит, в области ReS > 1
Второе слагаемое в правой части этого равенства равномерно ограничено по s в области ReS3/4. Действительно, если S=+it, 3/4, то
Следовательно, при S1+0 для каждого характера имеет место равенство
(3.2)
Здесь и в дальнейшем s 1 + обозначает, что S стремится к 1 по действительной оси справа.
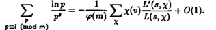
Пусть – некоторое натуральное число, удовлетворяющее сравнению
Умножим обе части равенства (3.2) на () и просуммируем получившиеся равенства по всем числовым характерам . Тогда получим
Если простое число р удовлетворяет сравнению р l (mod m), то p ≠ 1 (mod m), и по теореме 1
Если же p≠l (mod m), то p≠ 1 и по той же теореме
Таким образом, равенство (3.3) можно переписать в виде
По лемме 3 и теореме 2 для неглавного характера функция
является аналитической в точке S = 1. Поэтому для таких характеров при S 1 + 0 имеем
По следствию 1 леммы 4 функция L (S, 1) имеет в точке S=1 полюс первого порядка. Значит, при S1+0
(3/6)
Учитывая равенства (3.5) и (3.6.) из равенства (26) получаем, что
Так как число удовлетворяет сравнению (3.3), то (, m) = 1 и 0()=1. Итак, при S1+0
(3.7)
Правая часть равенства а (3.7) при S1+0 имеет бесконечный предел. Значит, сумма, стоящая в левой части этого равенства, имеет бесконечное множество слагаемых. Поэтому существует бесконечное множество простых чисел, удовлетворяющих сравнению
pe (mod m)
Теорема Дирихле доказана.
1>1>1>1>1>















