85998 (612620)
Текст из файла
Федеральное агентство по образованию Российской Федерации
САРАТОВСКИЙ ГОСУДАРСТВЕННЫЙ УНИВЕРСИТЕТ
ИМЕНИ Н.Г.ЧЕРНЫШЕВСКОГО
Кафедра дискретной математики
и информационных технологий
Курсовая работа
МОНОМИАЛЬНЫЕ ДИНАМИЧЕСКИЕ СИСТЕМЫ
Студента 4 курса факультета КНиИТ
дневного отделения
Научный руководитель
доцент, к.ф.-м.н. Л.Б. Тяпаев
Зав. Кафедрой ДМиИТ
доцент, к.ф.-м.н. Л.Б. Тяпаев
Саратов 2010
СОДЕРЖАНИЕ
Введение
1. Теоретическая часть
1.1 Конечные динамические системы
1.2 Сокращение мономиальных систем
1.3 Линейные системы над конечными коммутативными кольцами.
Заключение
Список использованных источников
ВВЕДЕНИЕ
Важнейшая проблема в теории динамических систем заключается в том, чтобы связать структуру системы с её динамикой. В данной курсовой работе рассматривается такая связь для семейства нелинейных систем над произвольными конечными областями. Для систем, которые могут быть описаны мономами, можно получить информацию о конечной циклической структуре для структуры мономов. В частности, курсовая работа содержит достаточное условие для мономиальных систем, имеющих только фиксированные элементы, в качестве конечных циклов. Условие позволяет уменьшить проблему изучения Булевых мономиальных систем и линейных систем над конечными кольцами.
1. ТЕОРЕТИЧЕСКАЯ ЧАСТЬ
1.1 Конечные динамические системы
Конечные динамические системы – динамические системы с конечным набором состояний в дискретном времени. Широко известны примеры использование клеточного автомата и Булевой сети, они нашли широкое применение в машиностроении, в компьютерных науках, и, ещё раньше, в биологической статистике. Чаще общие многопозиционные системы используются в теории управления, в проектировании и анализе компьютерного моделирования. Основной математический вопрос, который обычно возникает в большинстве из этих наук – как анализировать динамику модели без фактического перечисления всех состояний переходов, так как перечисление имеет экспоненциальную сложность в количестве переменных в модели.
Для ответа на поставленный вопрос, обозначим конечную динамическую систему как функцию
, где
– конечный набор. Динамика
заключается в повторении
и кодируется в его фазовом пространстве
, которое является ориентированным графом определённым следующим образом. Вершина
– элемент из
. Существует ориентированная дуга
в
если
. В частности, допустима ориентированная дуга в саму себя. То есть
кодирует все состояния переходов
, и имеет свойство: для каждой вершины имеется полустепень исхода точно равная 1. Каждый компонент связанного графа
состоит из направленного цикла, так называемого конечного цикла, с направленным деревом приложенным к каждой вершине в цикле, состоящем из так называемых переходов.
Любую Булеву сеть можно представить как конечную динамическую систему
, где
– конечная область над двумя элементами и
. В данной курсовой работе, изучаются конечные динамические системы
, где
– любая конечная область и
. Точнее, рассматривается семейство нелинейных конечных систем, для которых можно получить информацию относительно динамики структуры функции.
Пусть
,
– конечная динамическая система. Рассмотрим, как
может быть описана в зависимости от координатных функций
, то есть,
. Известно что любая теоретико-множественная функция
может быть представлена полиномиалом в
. Этот полиномиал может быть выбран таким образом, чтобы любая переменная в нём была в степени меньшей чем
. То есть, для любого
имеется уникальное
, такое что
для всех
. Следовательно, любая конечная динамическая система над конечной областью может быть представлена как полиномиальная система.
В случае, где все
– линейные полиномиалы без константного описания, динамику линейных систем
можно полностью определить ее матричным представлением. Пусть
– матричное представление линейной системы
. Тогда количество конечных циклов и их длинна, так же как структура переходов, может быть определена разложением на множители характерной полиномиальной матрицы
. Структура конечных циклов была определена ранее Элспасом, и для аффинных систем Миллиганом и Уилсоном.
В данной курсовой работе рассматривается класс нелинейных систем, описанных специальным типом полиномиалов, а именно мономами. То есть, рассматриваются системы
, такие, что каждый
был полиномиалом вида
, или константой. Допустимо предположение, что никакая координатная функция не константа, так как это частный случай переменной. Некоторые классы мономиальных систем и их динамические поведения изучались прежде в работах: Мономы клеточного автомата, Булевы мономиальные системы, мономиальные системы над периодическими числами и мономиальные системы над конечными областями.
В работе «Булевы мономиальные системы» изучался специальный класс Булевых мономиальных систем, а именно те, которые имеют фиксированные элементы в качестве конечных циклов, так называемые системы конечных элементов. Причиной для рассмотрения именно этого класса стало использование полиномиальных систем в качестве моделей для биохимических сетей. В зависимости от экспериментально рассматриваемой системы, такие сети часто проявляют устойчивые состояния динамики. То есть, их динамические модели имеют фазовые пространства, в которых конечные циклы – фиксированные элементы. С целью подбора модели, было бы полезно иметь структурный критерий распознания фиксированных элементов системы. Главная цель данной работы ответить на вопрос о мономиальных системах над общей конечной областью
, а так же, на вопрос о связи Булевой мономиальной системы и линейной системы над кольцом
.
1.2 Сокращение мономиальных систем
Пусть
:
– полиномиальная система, где каждый
– моном, такой, что
, где
– неотрицательное целое число. То есть,
может быть описано матрицей
. В первую очередь связывается
с Булевой мономиальной системой
и линейной системой
над кольцами
. В работе «Булевы мономиальные системы»
называется системой конечных элементов если все конечные циклы
заключаются в фиксированном элементе. Покажем что
– конечный элемент системы тогда, и только тогда, когда
и
– системы конечных элементов.
Определение 1.2.1.
Для
, мы определим базис
, обозначенный supp(u), равный
, где
Мономиальная система
порождает Булеву мономиальную систему
на
с параметрами
, где
и v=supp(u).
Лемма 1.2.1.
- коммутативная диаграмма.
Доказательство.
Это прямо доказывается тем что supp(f(u))=f(supp(u)).
Так как
на множестве всех
таких, что supp(u)=u, появляется следующие прямые следствия.
Следствие 1.2.1.
Фазовое пространство
– подграф фазового пространства
.
Следствие 1.2.2.
Предположим что
– система конечных элементов. Если
– цикл в фазовом пространстве
, тогда
для всех
.
Пример 1.2.1.
Пусть
.
- состоит из всех возможных наборов длины 3 из трёх элементов: 0, 1, 2.
Это наборы:
Используя функцию
, определим переходы в фазовом пространстве
.
000 -
,
001 -
,
002 -
,
010 -
,
020 -
,
100 -
,
200 -
,
111 -
,
110 -
,
112 -
,
101 -
,
121 -
,
011 -
,
211 -
,
222 -
,
220 -
,
221 –
,
202 -
,
212 -
,
022 -
,
122 -
,
012 -
,
021 -
,
210 -
,
102 -
,
120 -
,
210 -
,
201 -
,
Так как
, то
. Используя эту функцию, определим переходы в фазовом пространстве
.
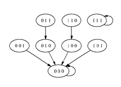
000 -
,
001 -
,
010 -
,
100 -
,
101 -
,
011 -
,
110 -
,
111 -
.
На рисунке 1.2.1 и 1.2.2 изображены фазовое пространство системы
и ее «Булеанизяция»
, соответственно.
Рис. 1.2.1. Фазовое пространство
.
Рис. 1.2.2. Фазовое пространство
.
Затем связывается
с
- размерной линейной системой над конечным кольцом. Заметим сначала что
– изоморфный, как Абелева группа, для
через изоморфизм
, появляется возможность генератора для циклической группы
. В первую очередь обратим внимание, что множество векторов
со всеми ненулевыми вхождениями – постоянны для
.
Пусть
– генератор для циклической группы
,и пусть
.
Тогда
.
Определение 1.2.2.
Обозначим
для
.
Видно что
– линейное преобразование
- элемента. Но можно рассматривать его, как линейное преобразование для
- элемента, рассматривая
как конечное кольцо, которое обозначим –
. То есть, имеется линейное преобразование
.
Это доказывает следующую лемму.
Лемма 1.2.2.
- коммутативная диаграмма.
Обратим внимание, что вертикальные стрелки – изоморфизмы. Это значит, что они сохраняют фазовое пространство структуры, включая длину конечных циклов. В частности, имеется следующее следствие.
Следствие 1.2.3.
Фазовое пространство
изоморфно к подграфу фазового пространства
, состоя из всех наборов с базисным вектором
.
Характеристики
Тип файла документ
Документы такого типа открываются такими программами, как Microsoft Office Word на компьютерах Windows, Apple Pages на компьютерах Mac, Open Office - бесплатная альтернатива на различных платформах, в том числе Linux. Наиболее простым и современным решением будут Google документы, так как открываются онлайн без скачивания прямо в браузере на любой платформе. Существуют российские качественные аналоги, например от Яндекса.
Будьте внимательны на мобильных устройствах, так как там используются упрощённый функционал даже в официальном приложении от Microsoft, поэтому для просмотра скачивайте PDF-версию. А если нужно редактировать файл, то используйте оригинальный файл.
Файлы такого типа обычно разбиты на страницы, а текст может быть форматированным (жирный, курсив, выбор шрифта, таблицы и т.п.), а также в него можно добавлять изображения. Формат идеально подходит для рефератов, докладов и РПЗ курсовых проектов, которые необходимо распечатать. Кстати перед печатью также сохраняйте файл в PDF, так как принтер может начудить со шрифтами.















