49437 (609111), страница 2
Текст из файла (страница 2)
Решение
Запишем главный и побочные определители системы:
Вычислим эти определители:
Δ = 3*4*(-4)+7*(-3)*5+(-2)*(-8)*5-5*4*5-3*(-3)*(-8)-7*(-2)*(-4) = 48-105+80-100-72-56 = 128-333 = -205.
Δ1 = -112+(-45)+(-192)-(-240)-24-168 = -112-45-192+240-24-168 = 240-541 = -301.
Δ2 = -36-420-280-75+196-288 = 196-1099 = -903.
Δ3 = -144-147-30-140+27-168 = -629+27 = -602.
Главный определитель системы не равен нулю. Находим неизвестные по формулам Крамера.
Подставим найденные значения определителей в формулы Крамера:
x1 = Δ1/Δ = -301/(-205) = 1,468292682927 ≈ 1,47;
x2 = Δ2/Δ = -903/(-205) = 4,40487804878 ≈ 4,4;
x3 = Δ3/Δ = -602/(-205) = 2,936585365854 ≈ 2,93.
Вывод.
При решении систем линейных уравнений по методу Крамера используются формулы, в которых участвуют как главный, так и дополнительные определители системы:
Напомним, что главным определителем системы называется определитель главной матрицы системы, составленной из коэффициентов при неизвестных:
Если в главном определителе системы заменить поочередно столбцы коэффициентов при x1, x2,...xn на столбец свободных членов, то получим n дополнительных определителей (для каждого из n неизвестных):
При этом важен вопрос о разрешимости данной системы, который решается сравнением главного и дополнительных определителей системы с нулем:
Метод Гаусса – прямой и обратный ход.
Рассмотрим метод Гаусса. Например, пусть дана расширенная матрица некоторой системы m линейных уравнений c n неизвестными:
Будем считать, что a11 ≠ 0 (если это не так, то достаточно переставить первую и некоторую другую строку расширенной матрицы местами). Проведем следующие элементарные преобразования:
C2-(a21/a11)*C1,
...
Cm-(am1/a11)*C1,
т.е. Ci-(ai1/a11)*C1, i = 2, 3, ..., m.
Т. е. от каждой строки расширенной матрицы (кроме первой) отнимаем первую строку, умноженную на частное от деления первого элемента этой строки на диагональный элемент а11.
В результате получим матрицу:
Т. е. первая строка осталась без изменений, а в столбце под а11 на всех местах оказались нули. Обратим внимание, что преобразования коснулись всех элементов строк, начиная со второй, всей расширенной матрицы системы.
Теперь наша задача состоит в том, чтобы получить нули подо всеми диагональными элементами матрицы А – aij, где I = j.
Повторим наши элементарные преобразования, но уже для элемента α22.
C1-(a12/α22)*C2,
...
Cm-(αm2/α22)*C2,
т.е. Ci-(αi2/α22)*C2, i = 3, ..., m.
Т. е. от каждой строки расширенной матрицы (теперь кроме первой и второй) отнимаем вторую строку, умноженную на частное от деления первого элемента этой (текущей) строки на диагональный элемент α22.
Такие преобразования продолжаются до тех пор, пока матрица не приведется к верхнее - треугольному виду. Т. е. под главной диагональю не окажутся все нули:
Вспомнив, что каждая строка представляет собой одно из уравнений линейной системы уравнений, легко заметить, что последнее m-ое уравнение принимает вид:
γmn*xn = δm.
Отсюда легко можно найти значение первого корня – xn = δm/γmn.
Подставив это значение в предыдущее m-1-е уравнение, легко получим значение xn-1-ого корня.
Таким образом, поднимаясь до самого верха обратным ходом метода Гаусса, мы последовательно найдем все корни системы уравнений.
Пример 1
Рассмотрим систему уравнений:
Главный определитель данной системы:
Δ = [1*(-4)*(-2)+2*2*1+(-1)*(-1)*(-1)]-[1*(-4)*(-1)+2*(-1)*(-2)+2*(-1)*1] = [8+4-1]-[4+4-2] = 11-6 =5,
т. е. Δ ≠ 0.
Т. е. система определена и разрешима. Решим ее по методу Гаусса.
Проведем прямой ход метода Гаусса, выписав предварительно расширенную матрицу системы:
Получим нули под главной диагональю в первом столбце расширенной матрицы. Для получения нуля в элементе a21 (т. е. под диагональю во второй строке матрицы) вторую строку матрицы преобразуем по формуле C2-(a21/a11)*C1 = C2-(2/1)*C1 = C2-2*C1:
Аналогично поступаем и с элементом а31 (т. е. под диагональю в третьей строке матрицы). Третью строку матрицы преобразуем по формуле C3-(a31/a11)*C1 = C3-(-1/1)*C1 = C3+C1:
Таким образом, мы получили нули под главной диагональю в первом столбце расширенной матрицы. Осталось получить нуль под главной диагональю во втором столбце матрицы, т. е. на месте элемента а32. Для этого третью строку матрицы преобразуем по формуле C3-(a32/a22)*C2 = C3-(1/-2)*C2 = C3+1/2C2:
Таким образом, проведя прямой ход метода Гаусса, мы получили расширенную матрицу системы, приведенную к верхне-треугольному виду:
Эта матрица эквивалентна системе:
Обратным ходом метода Гаусса найдем корни системы. Из последнего уравнения найдем корень х3:
-5/2x3 = 3/2,
x3 = (3/2):(-5/2) = 3/2*(-2/5) = -3/5.
Корень x3 = -3/5 найден. Подставим его в верхнее (второе) уравнение системы (-2x2-3x3 = 1):
-2x2-3(-3/5) = 1,
-2x2+9/5 = 1,
-2x2 = 1-9/5,
-2x2 = -4/5,
x2 = (-4/5):(-2) = (-4/5)*(-1/2) = 2/5.
Корень x2 = 2/5 найден. Подставим его и корень х3 в верхнее (первое) уравнение системы (x1-x2+x3 = 0):
x1-2/5+(-3/5) = 0,
x1-5/5 = 0,
x1 = 5/5 = 1.
Проверка:
т. е.
т. е.
и т. д.
Вывод.
Итак, метод Гаусса (или, иначе, метод последовательного исключения неизвестных) состоит в следующем:
-
Путем элементарных преобразований систему уравнений приводят к эквивалентной ей системе с верхне-треугольной матрицей. Эти действия называют прямым ходом.
-
Из полученной треугольной системы переменные находят с помощью последовательных подстановок (обратный ход).
-
При этом все преобразования проводятся над так называемой расширенной матрицей системы, которую и приводят к верхнее - треугольному виду в прямом ходе метода.
Итерация для линейных систем.
Способ итераций дает возможность получить последовательность приближенных значений, сходящихся к точному решению системы, подобно тому, как это делается для одного уравнения.
Для определенности ограничимся системой из четырех уравнений с четырьмя неизвестными (система четвертого порядка), которую запишем в виде:
Разрешим первое уравнение системы относительно х1:
х1 = (-a12/a11)х2-a13/a11х3-a14/a11х4-a15/a11.
Затем разрешим второе уравнение относительно х2 и т. д. Тогда систему можно переписать в виде:
где α = -aik/aii, i = 1, 2, 3, 4; k = 1, 2, 3, 4, 5.
Система является частным случаем записи вида:
При этом линейная функция L1 фактически не зависит от х1.
Зададим какие-либо начальные значения неизвестных (нулевые приближения):
х1(0), х2(0), х3(0), х4(0).
Подставляя эти значения в правые части системы (*), получим первые приближения:
Полученные первые приближения могут быть так же использованы для получения вторых, третьих и т. д. приближений. Т. е. можно записать:
Условия сходимости итерационного процесса.
Установим условия, выполнение которых обеспечит сходимость получающихся приближений к истинному (точному) решению системы х1, х2, х3, х4.
Не вдаваясь в подробности, скажем, что для того чтобы итерационный процесс сходился к точному решению, достаточно, чтобы все коэффициенты системы были малы по сравнению с диагональными.
Это условие можно сформулировать и более точно:
Для сходимости процесса итераций достаточно, чтобы в каждом столбце сумма отношений коэффициентов системы к диагональным элементам, взятым из той же строки, была строго меньше единицы:
Итерация Якоби.
Рассмотрим систему линейных уравнений:
Уравнения можно записать в виде:
Это позволяет предложить следующий итерационный процесс:
или (другой вид записи)
Покажем, что если начать с точки P0 = (х1(0), х2(0), х3(0), х4(0)) = (1, 2, 2), то итерация (3) сходится к решению (2, 4, 3). Подставим х1 = 1, х2 = 2, х2 = 2 в правую часть каждого уравнения из (3), чтобы получить новые значения:
Новая точка P1 = (х1(1), х2(1), х3(1), х4(1)) = (1.75, 3.375, 3), ближе, чем P0.
Итерация, использующая (3), генерирует последовательность точек {Pk}, которая сходится к решению (2, 4, 3):
| k | х1(k) | х2(k) | х3(k) |
| 0 | 1.0 | 2.0 | 2.0 |
| 1 | 1.75 | 3.375 | 3.0 |
| 2 | 1.84375 | 3.875 | 3.025 |
| 3 | 1.9625 | 3.925 | 2.9625 |
| 4 | 1.990625 | 3.9765625 | 3.0 |
| 5 | 1.99414063 | 3.9953125 | 3.0009375 |
| … | … | … | … |
| 15 | 1.99999993 | 3.99999985 | 3.0009375 |
| … | … | … | … |
| 19 | 2.0 | 4.0 | 3.0 |
Этот процесс называется итерацией Якоби и может использоваться для решения определенных типов линейных систем.
Итерация Гаусса-Зейделя.
Процесс итерации Якоби иногда можно модифицировать для ускорения сходимости.
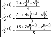
Отметим, что итеративный процесс Якоби производит три последовательности – {х1(k)}, {х2(k)}, {х3(k)}, {х4(k)}. Кажется разумным, что х1(k+1) может быть использовано вместо х2(k). Аналогично х1(k+1) и х2(k+1) можно использовать в вычислении х3(k+1). Например, для уравнений из системы (1) это даст следующий вид итерационного процесса Гаусса-Зейделя, использующий (3*):
Такой итерационный процесс даст результаты:
| k | х1(k) | х2(k) | х3(k) |
| 0 | 1.0 | 2.0 | 2.0 |
| 1 | 1.75 | 3.75 | 2.95 |
| 2 | 1.95 | 3.96875 | 2.98625 |
| 3 | 1.995625 | 3.99609375 | 2.99903125 |
| … | … | … | … |
| 8 | 1.99999983 | 3.99999988 | 2.99999996 |
| 9 | 1.99999998 | 3.99999999 | 3.0 |
| 10 | 2.0 | 4.0 | 3.0 |
Т. е. к точному решению мы пришли уже на 10-ом шаге итерации, а не на 19, как в итерации Якоби.
















