49430 (609101)
Текст из файла
КУРСОВАЯ РАБОТА
“Численное интегрирование методом Гаусса”
Федеральное агентство по образованию
Тульский государственный университет
КАФЕДРА РАДИОЭЛЕКТРОНИКИ
ИНФОРМАТИКА
ЗАДАНИЕ НА КУРСОВУЮ РАБОТУ
Вариант № 42
Студенту гр.220371 Подобеденко И.В.
1. Тема: "Численное интегрирование-методом Гаусса"
Разработайте алгоритм и программу:
1) вычисления определённого интеграла методом Гаусса и 2) построения графика функции я 3) построения нескольких (по 2 - 3) “шагов” интегрирования на участках возрастания и убывания функции.
Контрольный пример.
2. Срок представления курсовой работы на проверку с 12 по 15 мая 2008 г.
3. Защита курсовой работы с 19 по 23 мая 2008 г.
4. Требования к курсовой работе:
3.1 Разработать алгоритм и программу решения поставленной задачи.
3.2 Язык программирования - Паскаль.
3.3 Предусмотреть: а) диалоговый ввод исходных данных с проверкой правильности вводимых величин, б) блок пояснений к работе с программой, в) решение контрольного примера.
5. Форма отчётности:
пояснительная записка (ПЗ) объёмом 25-40 страниц на листах с рамками и штампом, отпечатанная на принтере,
графическая часть - лист формата А1,
дискета с текстом ПЗ, рисунком алгоритма и программой (текстовый и исполняемый файлы).
6. Содержание пояснительной записки к курсовой работе:
1) титульный лист,
2) задание на курсовую работу (настоявши бланк).
3) аннотация (краткая характеристика проделанной работы, объём ПЗ, количество таблиц, рисунков, схем. программ и приложений) с основной надписью по форме 2 (ГОСТ 2.104-68) - 1 с,
4) содержание (лист содержания и все последующие листы - с основной надписью по форме 2а - ГОСТ 2.104-68),
5) введение (область применения поставленной задачи, возможность использования ЭВМ для решения поставленной задачи) – 1-2 с,
6) анализ задания (выбор входных и выходных данных) – 2-3 с.
7) обзор литературных источников и разработка (выбор) математической модели задачи – 2-4 с,
8) описание методов вычислительной математики, которые будут использованы при решении поставленной задачи - 3-4 с,
9) разработка алгоритма решения задачи и описание его особенностей (разработанных или выбранных из готовых процедур и функций) - 5-7 с,
10) разработка программы по схеме алгоритма - 1-2 с.
11) разработка инструкции пользования программой - 1 с.
12) распечатка программы (текстовый файл) – допускается привести как приложение – 2-3 страницы
13) распечатка исходных данных и результатов решения контрольного примера – 1-2 с.
14) заключение (подробные выводы по проделанной работе) – 1-2 с.
15) список использованной литературы – 1 с.
16) приложения (инструкции пользования программой и др.)
7. Графическая часть: алгоритм решения поставленной задачи – лист формата A1
8. Литература.
Аннотация
В работе рассмотрены методы численного интегрирования функций. Для подробного рассмотрения был взят метод Гаусса.
В рамках курсовой работы реализован словесный и на языке блок-схем алгоритм и программа на языке программирования Паскаль, которая вычисляет заданный интеграл по методы Гаусса и показывает графическое отображение процесса.
Объем работы – 23 листа, количество рисунков – 2, представлена одна программа.
Содержание
Аннотация 4
Введение 6
1. Анализ задания 8
2. Выбор математической модели задачи 10
2.1 Метод прямоугольников 10
2.2 Метод парабол (метод Симпсона) 11
2.4 Увеличение точности 11
2.5 Метод Гаусса 12
2.6 Метод Гаусса-Кронрода 12
3. Описание методов вычислительной математики, которые будут использованы при решении поставленной задачи 14
3.1. Разработка алгоритма решения задачи и описание его особенностей 15
3.2 Разработка программы по схеме алгоритма 18
3.3 Разработка инструкции пользования программой 19
3.4 Распечатка программы 19
3.5 Распечатка исходных данных и результатов решения контрольного примера 26
Заключение 27
Список использованной литературы 28
Введение
Появление и непрерывное совершенствование быстродействующих электронных вычислительных машин (ЭВМ) привело к подлинно революционному преобразованию пауки вообще и математики в особенности. Изменилась технология научных исследований, колоссально увеличились возможности теоретического изучения, прогноза сложных процессов, проектирования инженерных конструкций. Решение крупных научно-технических проблем, примерами которых могут служить проблемы овладения ядерной энергией и освоения космоса, стало возможным лишь благодаря применению математического моделирования и новых численных методов, предназначенных для ЭВМ.
В настоящее время можно говорить, что появился новый способ теоретического исследования сложных процессов, допускающих математическое описание, - вычислительный эксперимент, т.е. исследование естественнонаучных проблем средствами вычислительной математики. Разработка и исследование вычислительных алгоритмов и их применение к решению конкретных задач составляет содержание огромного раздела современной математики - вычислительной математики.
Численные методы дают приближенное решение задачи. Это значит, что вместо точного решения и (функции или функционала) некоторой задачи мы находим решение у другой задачи, близкое в некотором смысле (например, по норме) к искомому. Основная идея всех методов - дискретизация или аппроксимация (замена, приближение) исходной задачи другой задачей, более удобной для решения на ЭВМ, причем решение аппроксимирующей задачи зависит от некоторых параметров, управляя которыми, можно определить решение с требуемой точностью. Например, в задаче численного интегрирования такими параметрами являются узлы и веса квадратурной формулы. Далее, решение дискретной задачи является элементом конечномерного пространства.
Численное интегрирование (историческое название: квадратура) - вычисление значения определённого интеграла (как правило, приближённое), основанное на том, что величина интеграла численно равна площади криволинейной трапеции, ограниченной осью абсцисс, графиком интегрируемой функции и отрезками прямых, которые являются пределами интегрирования.
Необходимость применения численного интегрирования чаще всего может быть вызвана отсутствием у первообразной функции представления в элементарных функциях и, следовательно, невозможностью аналитического вычисления значения определённого интеграла по формуле Ньютона-Лейбница. Также возможна ситуация, когда вид первообразной настолько сложен, что быстрее вычислить значение интеграла численным методом.
1. Анализ задания
Основная идея большинства методов численного интегрирования состоит в замене подынтегральной функции на более простую, интеграл от которой легко вычисляется аналитически. При этом для оценки значения интеграла получаются формулы вида
где
- число точек, в которых вычисляется значение подынтегральной функции. Точки
называются узлами метода, числа
- весами узлов. При замене подынтегральной функции на полином нулевой, первой и второй степени получаются соответственно методы прямоугольников, трапеций и парабол (Симпсона). Часто формулы для оценки значения интеграла называют квадратурными формулами.
Пусть функция задана на интервале
. Задача состоит в том, чтобы подобрать точки и коэффициенты так, чтобы квадратурная формула
(3.1)
была точной для всех полиномов наивысшей возможной степени.
Ввиду того, что имеется параметров и
, а полином степени определяется коэффициентами, эта наивысшая степень в общем случае .
Таким образом, входными данными для нас будет являться подынтегральная функция f(x), пределы интегрирования a и b, количество узлов метода k. А также точность вычислений eps.
На выходе мы будем иметь значение определенного интеграла при заданном количестве разбиений и пределах интегрирования. Также мы получим графическое отображение процесса интегрирования на участках возрастания и убывания функции.
2. Выбор математической модели задачи
Кратко рассмотрим основные методы численного интегрирования и выясним почему метод Гаусса наиболее подходит для решения нашей задачи.
2.1 Метод прямоугольников
Метод прямоугольников получается при замене подынтегральной функции на константу. В качестве константы можно взять значение функции в любой точке отрезка
. Наиболее часто используются значения функции в середине отрезка и на его концах. Соответствующие модификации носят названия методов средних прямоугольников, левых прямоугольников и правых прямоугольников. Формула для приближенного вычисления значения определённого интеграла методом прямоугольников имеет вид
,
где
,
или
, соответственно.
Метод трапеций
Если функцию на каждом из частичных отрезков аппроксимировать прямой, проходящей через конечные значения, то получим метод трапеций.
Площадь трапеции на каждом отрезке:
Погрешность аппроксимации на каждом отрезке:
, где
Полная формула трапеций в случае деления всего промежутка интегрирования на отрезки одинаковой длины h:
, где
Погрешность формулы трапеций:
, где
2.2 Метод парабол (метод Симпсона)
Использовав три точки отрезка интегрирования можно заменить подынтегральную функцию параболой. Обычно в качестве таких точек используют концы отрезка и его среднюю точку. В этом случае формула имеет очень простой вид
.
Если разбить интервал интегрирования на 2N равных частей, то имеем
где
.
2.4 Увеличение точности
Приближение функции одним полиномом на всем отрезке интегрирования, как правило, приводит к большой ошибке в оценке значения интеграла.
Для уменьшения погрешности отрезок интегрирования разбивают на части и применяют численный метод для оценки интеграла на каждой из них.
При стремлении количества разбиений к бесконечности, оценка интеграла стремится к его истинному значению для любого численного метода.
Приведённые выше методы допускают простую процедуру уменьшения шага в два раза, при этом на каждом шаге требуется вычислять значения функции только во вновь добавленных узлах. Для оценки погрешности вычислений используется правило Рунге.
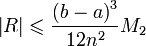
2.5 Метод Гаусса
Описанные выше методы используют фиксированные точки отрезка (концы и середину) и имеют низкий порядок точности (0 - методы правых и левых прямоугольников, 1 - методы средних прямоугольников и трапеций, 3 - метод парабол (Симпсона)). Если мы можем выбирать точки, в которых мы вычисляем значения функции
, то можно при том же количестве вычислений подынтегральной функции получить методы более высокого порядка точности. Так для двух (как в методе трапеций) вычислений значений подынтегральной функции, можно получить метод уже не 1-го, а 3-го порядка точности:
.
Характеристики
Тип файла документ
Документы такого типа открываются такими программами, как Microsoft Office Word на компьютерах Windows, Apple Pages на компьютерах Mac, Open Office - бесплатная альтернатива на различных платформах, в том числе Linux. Наиболее простым и современным решением будут Google документы, так как открываются онлайн без скачивания прямо в браузере на любой платформе. Существуют российские качественные аналоги, например от Яндекса.
Будьте внимательны на мобильных устройствах, так как там используются упрощённый функционал даже в официальном приложении от Microsoft, поэтому для просмотра скачивайте PDF-версию. А если нужно редактировать файл, то используйте оригинальный файл.
Файлы такого типа обычно разбиты на страницы, а текст может быть форматированным (жирный, курсив, выбор шрифта, таблицы и т.п.), а также в него можно добавлять изображения. Формат идеально подходит для рефератов, докладов и РПЗ курсовых проектов, которые необходимо распечатать. Кстати перед печатью также сохраняйте файл в PDF, так как принтер может начудить со шрифтами.
















