49408 (609091)
Текст из файла
Міністерство освіти та науки України
Харківський національний універсітет радіоелектроніки
Факультет КОМП’ЮТЕРНОЇ ІНЖЕНЕРІЇ ТА УПРАВЛІННЯ
Кафедра БЕЗПЕКИ ІНФОРМАЦІЙНИХ ТЕХНОЛОГІЙ
КУРСОВИЙ ПРОЕКТ
ПОЯСНЮВАЛЬНА ЗАПИСКА
З дисципліни “Програмування мовою Assembler ”
ТЕМА: “Хеш-функція UMAC”
Виконав: Перевірив:
Ст. гр. **** *************
*****************
Харків – 2008
Харківський національний університет радіоелектроніки
Факультет: КІУ Кафедра: Безпеки інформаційних технологій
Спеціальність: “Захист інформації з обмеженим доступом та автоматизація її обробки”
Дисципліна: Програмування мовою “Assembler”
ЗАТВЕРДЖУЮ
Зав. кафедри БІТ проф. *******
“_____“ _________________ 2008р.
ЗАВДАННЯ
НА КУРСОВИЙ ПРОЕКТ (РОБОТУ)
Студентові ___*********************************
(прізвище, ім'я, по батькові)
-
Тема проекту (роботи) ____Хеш-функція UMAC____________
-
Термін здачі студентом закінченого проекту (роботи)__________________________19.01.2008р._________________
-
Вихідні дані до проекту: ________Дані з предметної галузі, методичні вказівки.________________________________________
-
Зміст пояснювальної записки (перелік питань, що їх потрібно розробити) ____Вступ, Аналіз предметної галузі, Опис програми, Основні особливості MASM32, інструкція користувача, Висновок.____
-
Перелік графічного матеріалу (з точним зазначенням обов'язкових креслень, плакатів)
_______________________________________________________________________________________________________________________________
-
Основна література та джерела
_______________________________________________________________________________________________________________________________
7. Дата видачі завдання _________________________________________
8. Дата здачі завдання _________________________________________
Керівник проекту (роботи)______________________________________
(підпис) (посада, прізвище, ім'я, по батькові)
Завдання прийняв до виконання _________________________________
(підпис студента)
Студент______________________________________________________
(підпис)
СОДЕРЖАНИЕ
ВВЕДЕНИЕ ………………………………………………………………….5
1Анализ предметной области……………………………………………….7
1.1Основные особенности среды MASM32 ……………………………….7
1.2Анализ математических методов ……………………………………….8
2 Постановка задачи ………………………………………………………...9
3 Описание программы ……………………………………………………..10
3.1 Общие сведения
3.2 Назначение и логическая структура
4 Инструкции пользователя
Выводы
Перечень ссылок
Приложение А Экранные формы программы
Приложение Б Тексты модулей программы
ВВЕДЕНИЕ
Продолжающееся развитие компьютерных технологий и повсеместное внедрение бизнес-процессов с использованием глобальной сети Интернет коренным образом изменяет устоявшиеся способы ведения бизнеса. Системы корпоративной безопасности, обеспечивающие бизнес, тоже не могут оставаться в стороне.
В настоящее время, например, средства электронной почты используются не только для общения между людьми, а и для передачи контрактов и конфиденциальной финансовой информации. Web-серверы используются не только для рекламных целей, но и для распространения программного обеспечения и электронной коммерции. Электронная почта, доступ к Web-серверу, электронная коммерция, VPN требуют применения дополнительных средств для обеспечения конфиденциальности, аутентификации, контроля доступа, целостности и идентификации. В качестве таких средств сегодня повсеместно используются средства криптографической защиты и инфраструктура открытых ключей (Public Key Infrastructure, PKI).
Система криптографической защиты должна обеспечивать:
1. Конфиденциальность. Информация должна быть защищена от не-санкционированного прочтения как при хранении, так и при передаче. Если сравнивать с бумажной технологией, то это аналогично запечатыванию информации в конверт. Содержание становится известно только после того, как будет открыт конверт. В системах криптографической защиты обеспечивается шифрованием.
2. Контроль доступа. Информация должна быть доступна только для того, для кого она предназначена. Если сравнивать с бумажной технологией, то только разрешенный получатель может открыть запечатанный конверт. В системах криптографической защиты обеспечивается шифрованием.
3. Аутентификацию. Возможность однозначно идентифицировать отправителя. Если сравнивать с бумажной технологией, то это аналогично подписи отправителя. В системах крипто-графической защиты обеспечивается электронной цифровой подписью и сертификатом.
4. Целостность. Информация должна быть защищена от несанкционированной модификации как при хранении, так и при передаче. В системах криптографической защиты обеспечивается электронной цифровой подписью.
5. Неопровергаемость. Отправитель не может отказаться от совершенного действия. Если сравнивать с бумажной технологией, то это аналогично предъявлению отправителем па-спорта перед выполнением действия. В системах криптографической защиты обеспечивается электронной цифровой подписью и сертификатом.
Криптографические хэш-функции играют фундаментальную роль в современной криптографии. Говоря в общем хэш-функция h отображает двоичные строки произвольной конечной длины в выходы небольшой (например, 64, 128, 160,192, 224, 256, 384, 512) фиксированной длины называемые хэш-величинами за полиномиальное время.
Область применения хэш-функции четко неоговорена: используется “для реализации процедур электронной цифровой подписи, при передаче, обработке и хранении информации в автоматизированных системах”.
Среда программирования MASM32 позволяет создавать тексты программ, компилировать их, находить ошибки и оперативно их исправлять; компоновать программы из отдельных частей, включая стандартные модули, отлаживать и выполнять отлаженную программу.
Используя перечисленные возможности, можно создавать различные прикладные программы, например, такие, как программа, написанная при выполнении данной курсовой работы.
1. АНАЛИЗ ПРЕДМЕТНОЙ ОБЛАСТИ
1.1 MAC-код аутентификации сообщения
Кодом аутентификации сообщения (MAC) является короткий фрагмент информации, используемый для проверки подлинности сообщения. Алгоритм MAC принимает в качестве ввода секретный ключ и сообщение подлинности произвольной длины, и выдает MAC (иногда называют меткой). Ценность MAC в том, что защищает целостность сообщения, а также его аутентичность, позволяя контролерам (которые также обладают секретным ключом) выявлять какие-либо изменения в первоначальном содержании передаваемого сообщения.
Сообщение целостности кода (MIC), отличается от MAC в том, что секретный ключ не используется в ее деятельности. Хотя эти термины иногда используются как взаимозаменяемые, MIC всегда должен быть закодирован в ходе передачи, если он будет использоваться в качестве надежного гаранта целостности сообщения. С другой стороны, MAC, который использует секретный ключ, не обязательно должен быть зашифрован чтобы обеспечить такой же уровень надежности.
Хотя MAC функции аналогичны криптографической хэш-функции, они имеют разные требования безопасности. MAC функция должна противостоять подделке текстового сообщения. Это означает, что даже если злоумышленник имеет доступ к оракулу, который обладает секретным ключом и генерирует MAC для выбранного злоумышленником послания, то он может "никогда" угадать MAC.
MAC отличаются от цифровых подписей, ценностью MAC является одновременно получене и проверка с помощью того же секретного ключа. Это означает, что отправитель и получатель сообщения должны договориться о ключе до начала сообщения, как это имеет место в случае с симметричным шифрованием. В отличие от цифровой подписи, где используется частноый ключ из пары ключей, который является асимметричным шифрованию. Поскольку это частный ключ, доступный только для его владельца, цифровая подпись доказывает, что документ был подписан именно владельцем, а не кем-то другим. Таким образом, цифровые подписи являются гаратнтом подлиности сообщения.
MAC алгоритмы могут быть изготовлены из других криптографических примитивов, таких, как криптографические хэш-функции (как в случае с UMAC), или для блочных алгоритмов шифрования (OMAC, CBC-MAC и PMAC).
Схема 1.Принцип MAC алгоритмов
1.2 UHASH – универсальная функция хэширования.
UHASH – функция хэширования – сердцевина MAC алгоритма UMAC.
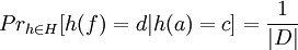
Допустим функция хеширования выбирается из класса хэш-функции H, которая отображает сообщения в D, набор возможных резюме сообщения. Этот класс называется универсальным, если для каких-либо отдельных пар сообщений, имеются на множестве | H | / | D | функциий, которые отображают их в элемент D.
Это означает, что если злоумышленник хочет заменить одно сообщение другим, и, с его точки зрения, хэш-функция была выбрана абсолютно случайно, то вероятность того, что UMAC не обнаружить его изменение в большинстве случаев будет 1 / | D |.
Но это определение не является достаточно строгим, - если возможные сообщения 0 и 1, D = (0,1) и Н состоит из личности и операции «не», то H носит универсальный характер. Но если дайджест затем шифруется сложением по модулю, злоумышленник может изменить сообщение и дайджест в то же время, и приемник не распознает знать разницу.
-
Математический анализ функции UHASH.
Класс хэш-функции Н хорош в использовании тем, что затруднит для атакующего угадать правильный дайджест d фальшивого сообщение f после перехвата одного сообщения А с дайджестом С. Другими словами
должна быть очень небольшой, желательно 1 / | D |.
Можно легко построить класс хэш-функции, когда D является полем. Например, если | D | является простым, все операции, принятые по модулю | D |. Сообщение а затем кодируется как н-мерный вектор над D (a1, a2, .., аn). Н затем | D | n +1 членов, каждый из которых соответствует n +1- мерному вектору над D (h0, h1, .., hn). Если принять, что
мы можем использовать правила вероятностей и комбинаторикичтобы доказать, что
Если мы правильно зашифровали все дайджесты (например, при поможи кодировки (OTP)), злоумышленник не сможет получить от них что-либо и в то же время хэш-функция может быть использована для всех контактов между двумя сторонами. Это не может быть правдой для шифрования ECB, поскольку может быть весьма вероятным, что два послания производят то же хэш-значение. Потом какой-либо вектор инициализации должен быть использован, который часто называют «nonce». Это стало распространенной практикой для установки h0 = f (nonce), где f является также секретом.
Обратите внимание, что наличие огромного количества вычислительной мощности не поможет злоумышленнику вообще. Если получатель ограничивает количество подделок она принимает ,| D | может быть 2 в 32 степени или меньше.
2. ПОСТАНОВКА ЗАДАЧИ
Создать хэш-функцию UMAC (message authentication code based on universal hashing).
Наша функция будет 24-битной. Причем ключ должен быть не длиннее сообщения. А зашифрованное сообщение будет также 24 бита и уже содержит ключ. Например, f («nonce»). Причем «nonce» не обязательно должно содержаться в незашифрованом сообщении.
3. ОПИСАНИЕ ПРОГРАММЫ
3.1 Основные действия.
3.1.1 Операции со строками
Сообщения, которые будут хэшированными рассматриваются как строки битов, заполненные нулями до определенной длины байта. После того, как сообщение мягкий, все строки рассматриваются как строки байт. А "байт" состоит из 8 бит строка. Следующие записи используется для того, чтобы манипулировать этими строками.
bytelength (S): Длина строки S в байтах.
Характеристики
Тип файла документ
Документы такого типа открываются такими программами, как Microsoft Office Word на компьютерах Windows, Apple Pages на компьютерах Mac, Open Office - бесплатная альтернатива на различных платформах, в том числе Linux. Наиболее простым и современным решением будут Google документы, так как открываются онлайн без скачивания прямо в браузере на любой платформе. Существуют российские качественные аналоги, например от Яндекса.
Будьте внимательны на мобильных устройствах, так как там используются упрощённый функционал даже в официальном приложении от Microsoft, поэтому для просмотра скачивайте PDF-версию. А если нужно редактировать файл, то используйте оригинальный файл.
Файлы такого типа обычно разбиты на страницы, а текст может быть форматированным (жирный, курсив, выбор шрифта, таблицы и т.п.), а также в него можно добавлять изображения. Формат идеально подходит для рефератов, докладов и РПЗ курсовых проектов, которые необходимо распечатать. Кстати перед печатью также сохраняйте файл в PDF, так как принтер может начудить со шрифтами.
















