48726 (608754)
Текст из файла
ФЕДЕРАЛЬНОЕ ГОСУДАРСТВЕННОЕ ОБРАЗОВАТЕЛЬНОЕ УЧРЕЖДЕНИЕ
ВЫСШЕГО ПРОФЕССИОНАЛЬНОГО ОБРАЗОВАНИЯ
"САРОВСКИЙ ГОСУДАРСТВЕННЫЙ ФИЗИКО-ТЕХНИЧЕСКИЙ ИНСТИТУТ"
ЭКОНОМИКО-МАТЕМАТИЧЕСКИЙ ФАКУЛЬТЕТ
ПОЯСНИТЕЛЬНАЯ ЗАПИСКА
К КУРСОВОЙ РАБОТЕ
На тему:
СТУДЕНТ (группа ИС-45Д)
РУКОВОДИТЕЛЬБеляев С.П.
г. Саров 2008 г
Оглавление
ВВЕДЕНИЕ 3
ТЕОРЕТИЧЕСКАЯ ЧАСТЬ 4
Исходные параметры 5
Искомые параметры 6
МЕТОД РЕШЕНИЯ 6
ОБОСНОВАНИЕ ВЫБОРА ПРОГРАММНЫХ СРЕДСТВ 9
ОПИСАНИЕ ИНТЕРФЕЙСА ПОЛЬЗОВАТЕЛЯ 10
СПИСОК ЛИТЕРАТУРЫ 11
ВВЕДЕНИЕ
Основная часть данной работы направлена на практическое освоение метода динамического программирования на примере решения хорошо изученных задач, а именно: простейшей задачи оптимального распределения ресурсов и задачи управления запасами продукта при случайном спросе на него.
Кроме теоретических основ и практических рекомендаций, необходимых для численного решения указанных задач, связанных с простым классом одномерных процессов распределения [1], дополнительно рассматриваются задачи оптимального распределения при наличии двух типов ресурсов и двух типов ограничений, в рамках которых возможны не только постановка и решение большого числа прикладных задач [1, 5], но также выявление существенных и качественных особенностей, связанных с применением метода динамического программирования, при переходе к задачам с многомерными процессами распределения.
Цель работы: знакомство с постановкой задачи оптимального распределения ограниченного ресурса и методом множителей Лагранжа в задачах условной оптимизации, изучение принципа оптимальности Беллмана и вычислительной схемы решения задачи оптимального распределения ограниченного ресурса методом динамического программирования, разработка программы для численного решения задачи и проведение расчетов.
ТЕОРЕТИЧЕСКАЯ ЧАСТЬ
Постановка простейшей задачи оптимального распределения
ограниченного ресурса
В различных производственно-экономических системах значительное число решаемых задач тесно связано с эффективным использованием и распределением ограниченных ресурсов, необходимых для нормального функционирования таких систем. Переходя к формулировке одной из простейшей задач такого класса, вначале опишем кратко процессы, обусловливающие возникновение этого типа задач.
Пусть некоторая производственно-экономическая система располагает заданным количеством какого-либо экономического ресурса, под которым подразумеваются материальные, трудовые, финансовые либо иные ресурсы, необходимые для функционирования системы. В случае нескольких потребителей указанного ресурса или далее соответствующих технологических процессов возникает следующая задача: разделить имеющееся количество ресурса между ними так, чтобы максимизировать их суммарную эффективность или получаемый доход от этих процессов [1].
Для математической постановки этой задачи требуется принять следующие основные предположения [1]:
1) эффективности каждого из рассматриваемых технологических процессов, например в виде соответствующих доходов, могут быть измерены общей единицей: либо в виде валового выпуска однородного продукта, либо в стоимостной форме;
2) эффективность каждого технологического процесса не зависит от
того, какие количества ресурсов были выделены для других технологических процессов;
3) общая эффективность или, что то же самое, суммарный доход от всех технологических процессов – аддитивная величина, то есть величина, равная сумме доходов, получаемых от каждого процесса в отдельности.
Тогда математическая постановка задачи оптимального распределения ограниченного ресурса формулируется следующим образом [1].
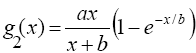
Предположим, что имеется N технологических процессов, занумерованных в определенном порядке числами 1, 2, ... , N , и каждому такому процессу поставлена в соответствие некоторая функция, оценивающая его эффективность, а именно: величина дохода в зависимости от количества выделенного ресурса для этого процесса. Пусть xi – количество выделенного ресурса i-му процессу (i = 1, 2, ... , N ), а величина дохода, получаемого в этом процессе, задается функцией gi = gi (xi ) . Отметим, что в качестве таких функций можно выбирать, например, производственные функции или функции полезности неоклассического типа [2, 3].
С учетом второго и третьего предположения – о независимости процессов и аддитивности их общей эффективности – для суммарного дохода от распределения ограниченного ресурса между указанными N технологическими процессами получим следующее выражение:
В силу ограниченности распределяемого ресурса, располагаемое количество которого здесь обозначим через z, для переменных задачи xi , i = 1, 2, ... , N , имеет место следующее ограничение:
которое вместе с условиям неотрицательности для этих же переменных
задает допустимую область определения для функции (1.1). Таким образом, задача оптимального распределения ограниченного ресурса заключается в том, чтобы определить значения переменных xi , i = 1, 2, ... , N , которые доставляют максимальное значение функции R(x1, x2 , ... , xN ) (1.1), удовлетворяя при этом ограничениям (1.2), (1.3). Задача (1.1) - (1.3) относится к классу задач условной оптимизации. Ограничения, задающие в этих задачах допустимые множества, обычно в математической экономике разделяют на две группы, а именно: ограничения вида (1.2) относят к функциональным ограничениям, а ограничения вида (1.3) – к прямым ограничениям [2]. Значения xi , i = 1, 2, ... , N , для которых доставляется максимальное значение функции (1.1) с учетом (1.2), (1.3), называют решением задачи, а соответствующие значения функции (1.1), то есть max R(x1, x2 , ... , xN ) , – значением задачи. Если ограничения задачи, заданные в виде нестрогих неравенств, для ее решения обращаются в равенства, то такие ограничения тогда называют эффективными; иначе эти ограничения являются неэффективными, и в связи с этим их можно в процессе решения задачи отбрасывать.
Исходные параметры
-
z – располагаемое количество ресурса,
-
n – мера квантования z
-
-
-
Искомые параметры
-
fN (z) = fN (nΔ ) - искомый максимум функции R
-
xN (z) – искомое оптимальное количество ресурса
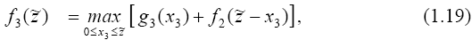
МЕТОД РЕШЕНИЯ
Переходя к изложению вычислительной схемы решения задачи с применением основного функционального уравнения (1.15), предположим (а это существенно для дальнейшего изложения), что переменные задачи N i xi , ... 2, 1, , = , а также количества распределяемого ресурса
как в (1.10), так и в (1.15) могут принимать только дискретные значения с некоторым выбранным шагом Δ >0. То есть имеет место:
где nΔ = z . Соответственно, функции (1.10) в рекуррентном соотношении (1.15) будут вычисляться только для указанных в (1.16) значений
или, что то же самое, только для таких точек:
Указанный подход позволяет избежать процедуры интерполирования при вычислении значений
, исходя из вычисленных значений fm−1( y) в точках y = 0, Δ , 2Δ , ... , z . Действительно, для вычисления под знаком максимума в (1.15) значения
− интерполирования не требуется, так как здесь с учетом (1.16) и (1.17) имеет место:
.
Согласно (1.15), для вычисления
вначале следует найти значения
для всех значений
из (1.16) с помощью соотношений (1.12)
или (1.13), которые доставляют множество всех требуемых значений
. Затем для всех
(1.16) с учетом (1.15) вычисляются значения:
где
.Процедура максимизации (1.18) заключается в том, чтобы вначале для каждого z ~ последовательно вычислить значения:
а затем выбрать из них максимальное, то есть искомое значение
; при этом определяется и соответствующее ему оптимальное значение
.
Получив множество значений
для
, можно приступить к вычислению функции
исходя из (1.15) при m =3:
и т.д. для остальных m = 4, 5, ... , N .
Таким образом, в процессе решения уравнения (1.15) для m = 2, 3, ... , N
последовательно заполняется таблица, подобная табл. 1.1.
Таблица 1.1
Оптимальные доходы в зависимости от количества процессов
и выделенного ресурса
С заполнением последних двух столбцов указанной таблицы решение
задачи фактически получено. Действительно, поскольку функция
по построению монотонно неубывающая по
, постольку fN (z) = fN (nΔ ) - искомый максимум функции R (1.1), а xN (z) – искомое оптимальное количество ресурса, выделенное для N-го процесса. Стало быть, оставшееся количество ресурса, равное z − xN (z) , должно быть распределено оптимальным образом между остальными процессами. Соответствующее решение, то есть оптимальный доход (1.10) для первых N −1 процессов, находится в столбце с заголовком
− , а именно: в строке, отвечающей значению
. В этой же строке в столбце с заголовком
− находится величина оптимального количества ресурса, который выделяется для (N −1)-го процесса. Таким образом, перемещаясь по столбцам табл. 1.1 справа налево (это т.н. обратный ход [1, 3]), можно последовательно определить все значения
, которые доставляют абсолютный максимум функции R(x1, x2 , ... , xN ) (1.1) в области (1.2), (1.3) для заданного количества распределяемого ресурса – z, конечно же, с учетом дополнительных ограничений (1.16), (1.17)
ОБОСНОВАНИЕ ВЫБОРА ПРОГРАММНЫХ СРЕДСТВ
Курсовая работа выполнена с помощью программы Microsoft Office Excel, одной из наиболее передовых, мощных и современных сред разработки Windows-приложений и электронных таблиц. Встроенное средство поиска решений позволяет быстро справиться с задачей о распределения ресурсов.
ОПИСАНИЕ ИНТЕРФЕЙСА ПОЛЬЗОВАТЕЛЯ
Для начала работы с программой следует задать n и z и нажать кнопку определить
Характеристики
Тип файла документ
Документы такого типа открываются такими программами, как Microsoft Office Word на компьютерах Windows, Apple Pages на компьютерах Mac, Open Office - бесплатная альтернатива на различных платформах, в том числе Linux. Наиболее простым и современным решением будут Google документы, так как открываются онлайн без скачивания прямо в браузере на любой платформе. Существуют российские качественные аналоги, например от Яндекса.
Будьте внимательны на мобильных устройствах, так как там используются упрощённый функционал даже в официальном приложении от Microsoft, поэтому для просмотра скачивайте PDF-версию. А если нужно редактировать файл, то используйте оригинальный файл.
Файлы такого типа обычно разбиты на страницы, а текст может быть форматированным (жирный, курсив, выбор шрифта, таблицы и т.п.), а также в него можно добавлять изображения. Формат идеально подходит для рефератов, докладов и РПЗ курсовых проектов, которые необходимо распечатать. Кстати перед печатью также сохраняйте файл в PDF, так как принтер может начудить со шрифтами.
















