48196 (608491), страница 7
Текст из файла (страница 7)
Обращениями к памяти причины простоя не ограничиваются. Иногда для исполнения следующей команды требуется результат предыдущей команды, который еще не вычислен. В других случаях команда вызвана быть не может, так как она следует за условным переходом, направление которого еще неизвестно. Общее правило формулируется так: если в конвейере k ступеней, но по кругу можно запустить, по меньшей мере, k программных потоков, то в одном потоке в любой отдельно взятый момент не может выполняться более одной команды, поэтому конфликты между ними исключены. В такой ситуации процессор может работать на полной скорости, без простоя.
Естественно, далеко не всегда число доступных потоков равно числу ступеней конвейера, поэтому некоторые разработчики предпочитают методику, называемую крупномодульной многопоточностью (coarse-grained multithreading), которую иллюстрирует рисунок 6.2, д. В данном случае программный поток А продолжает выполняться последовательно, вплоть до простоя. При этом теряется один цикл. Далее происходит переключение на первую команду программного потока B (B1). Так как эта команда сразу переходит в состояние простоя, в цикле 6 выполняется уже команда C1. Так как каждый раз при простое команды теряется один цикл, по своей эффективности крупномодульная многопоточность, казалось бы, уступает мелкомодульной, однако у нее есть одно существенное преимущество - за счет меньшего числа программных потоков значительно сокращается расход ресурсов процессора. При недостаточном количестве активных потоков эта методика оптимальна.
Судя по нашему описанию, при крупномодульной многопоточности просто выполняется переключение между потоками, однако это - не единственный предусматриваемый данной методикой вариант действий. Есть возможность немедленного переключения с команд, которые потенциально способны вызвать простой (например, загрузка, сохранение и переходы), без выяснения, действительно ли намечается простой. Эта стратегия позволяет переключаться раньше обычного (сразу после декодирования команды) и исключает бесконечные циклы. Иными словами, исполнение продолжается до того момента, пока не обнаружится возможность возникновения проблемы, после чего следует переключение. Такие частые переключения роднят крупномодульную многопоточность с мелкомодульной.
Вне зависимости от используемого варианта многопоточности, необходимо как-то отслеживать принадлежность каждой операции к тому или иному программному потоку. В рамках мелкомодульной многопоточности каждой операции присваивается идентификатор потока, поэтому при перемещениях по конвейеру ее принадлежность не вызывает сомнений. Крупномодульная многопоточность предусматривает возможность очистки конвейера перед запуском каждого последующего потока. В таком случае четко определяется идентичность потока, исполняемого в данный момент. Естественно, данная методика эффективна только в том случае, если паузы между переключениями значительно больше времени, необходимого для очистки конвейера.
Все сказанное относится к процессорам, способным вызывать не более одной команды за тактовый цикл. Однако мы знаем, что для современных процессоров это ограничение не актуально. Применительно к изображению на рисунке 6.3 мы допускаем, что процессор может вызывать по 2 команды за цикл, однако утверждение о невозможности запуска последующих команд в случае простоя предыдущей остается в силе. Рисунок 6.3, а иллюстрирует механизм мелкомодульной многопоточности в сдвоенном суперскалярном процессоре. Как видно, в потоке А первые две команды запускаются во время первого цикла, однако в потоке В во втором цикле запускается только одна команда.
В суперскалярных процессорах есть еще один способ организации многопоточности - так называемая синхронная многопоточность (simultaneous multithreading), которую иллюстрирует рисунок 6.3, в. Эта методика представляет собой усовершенствованный вариант крупномодульной многопоточности, где каждый программный поток может запускать по две команды за такт, однако в случае простоя с целью обеспечения полной загрузки процессора запускаются команды следующего потока. При синхронной многопоточности полностью загружаются все функциональные блоки. В случае невозможности запуска команды из-за занятости функционального блока выбирается команда из другого потока. На рисунке предполагается, что в цикле 11 простаивает команда B8, поэтому в цикле 12 запускается команда С7.
6.4 Многопоточность в Pentium 4
Разобравшись с теорией многопоточности, рассмотрим практический пример - Pentium 4. Уже на этапе разработки этого процессора инженеры Intel продолжали работу над повышением его быстродействия без внесения изменений в программный интерфейс. Рассматривалось пять простейших способов:
-
повышение тактовой частоты;
-
размещение на одной микросхеме двух процессоров;
-
введение новых функциональных блоков;
-
удлинение конвейера;
-
использование многопоточности.
Самый очевидный способ повышения быстродействия заключается в том, чтобы повысить тактовую частоту, не меняя другие параметры. Как правило, каждая последующая модель процессора имеет несколько более высокую тактовую частоту, чем предыдущая. К сожалению, при прямолинейном повышении тактовой частоты разработчики сталкиваются с двумя проблемами: увеличением энергопотребления (что актуально для портативных компьютеров и других вычислительных устройств, работающих на аккумуляторах) и перегревом (что требует создания более эффективных теплоотводов).
Второй способ - размещение на микросхеме двух процессоров - сравнительно прост, но он сопряжен с удвоением площади, занимаемой микросхемой. Если каждый процессор снабжается собственной кэш-памятью, количество микросхем на пластине уменьшается вдвое, но это также означает удвоение затрат на производство. Если для обоих процессоров предусматривается общая кэш-память, значительного увеличения занимаемой площади удается избежать, однако в этом случае возникает другая проблема - объем кэш-памяти в пересчете на каждый процессор уменьшается вдвое, а это неизбежно сказывается на производительности. Кроме того, если профессиональные серверные приложения способны полностью задействовать ресурсы нескольких процессоров, то в обычных настольных программах внутренний параллелизм развит в значительно меньшей степени.
Введение новых функциональных блоков также не представляет сложности, но здесь важно соблюсти баланс. Какой смысл в десятке блоков АЛУ, если микросхема не может выдавать команды на конвейер с такой скоростью, которая позволяет загрузить все эти блоки?
Конвейер с увеличенным числом ступеней, способный разделять задачи на более мелкие сегменты и обрабатывать их за короткие периоды времени, с одной стороны, повышает производительность, с другой, усиливает негативные последствия неверного прогнозирования переходов, кэш-промахов, прерываний и других событий, нарушающих нормальный ход обработки команд в процессоре. Кроме того, чтобы полностью реализовать возможности расширенного конвейера, необходимо повысить тактовую частоту, а это, как мы знаем, приводит к повышенным энергопотреблению и теплоотдаче.
Наконец, можно реализовать многопоточность. Преимущество этой технологии состоит во введении дополнительного программного потока, позволяющего ввести в действие те аппаратные ресурсы, которые в противном случае простаивали бы. По результатам экспериментальных исследований разработчики Intel выяснили, что увеличение площади микросхемы на 5 % при реализации многопоточности для многих приложений дает прирост производительности на 25 %. Первым процессором Intel с поддержкой многопоточности стал Хеоn 2002 года. Впоследствии, начиная с частоты 3,06 ГГц, многопоточность была внедрена в линейку Pentium 4. Intel называет реализацию многопоточности в Pentium 4 гиперпоточностью (hyperthreading).
7 Закон Амдала. Закон Густафсона
7.1 Ускорение, эффективность, загрузка и качество
Параллелизм достигается за счет того, что в составе вычислительной системы отдельные устройства присутствуют в нескольких копиях. Так, в состав процессора может входить несколько АЛУ, и высокая производительность обеспечивается за счет одновременной работы всех этих АЛУ. Второй подход был описан ранее.
Рассмотрим параллельное выполнение программы со следующими характеристиками:
О(n) — общее число операций (команд), выполненных на n-процессорной системе;
Т(n) — время выполнения О(n) операций на n-процессорной системе в виде числа квантов времени.
В общем случае Т(n) < О(n), если в единицу времени n процессорами выполняется более чем одна команда, где n > 2. Примем, что в однопроцессорной системе T(1)= О(1).
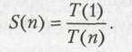
Ускорение (speedup), или точнее, среднее ускорение за счет параллельного выполнения программы — это отношение времени, требуемого для выполнения наилучшего из последовательных алгоритмов на одном процессоре, и времени параллельного вычисления на n процессорах. Без учета коммуникационных издержек ускорение S(n) определяется как
Как правило, ускорение удовлетворяет условию S(n)
n. Эффективность (efficiency) n-процессорной системы — это ускорение на один процессор, определяемое выражением
Эффективность обычно отвечает условию 1/n
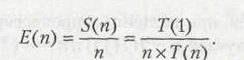
Е(n)
n. Для более реалистичного описания производительности параллельных вычислений необходимо промоделировать ситуацию, когда параллельный алгоритм может потребовать больше операций, чем его последовательный аналог.
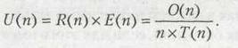
Довольно часто организация вычислений на n процессорах связана с существенными издержками. Поэтому имеет смысл ввести понятие избыточности (redundancy) в виде
Это отношение отражает степень соответствия между программным и аппаратным параллелизмом. Очевидно, что 1
R(n)
n.
Определим еще одно понятие, коэффициент полезного использования или утилизации (utilization), как
Тогда можно утверждать, что
Рассмотрим пример. Пусть наилучший из известных последовательных алгоритмов занимает 8 с, а параллельный алгоритм занимает на пяти процессорах 2 с. Тогда:
S(n) = 8/2 = 4;
Е(n) = 4/5 = 0,8;
R(n) = 1/0,8 - 1 = 0,25.
Собственное ускорение определяется путем реализации параллельного алгоритма на одном процессоре.
Если ускорение, достигнутое на n процессорах, равно n, то говорят, что алгоритм показывает линейное ускорение.
В исключительных ситуациях ускорение S(n) может быть больше, чем n. В этих случаях иногда применяют термин суперлинейное ускорение. Данное явление имеет шансы на возникновение в двух следующих случаях:
Последовательная программа может выполняться в очень маленькой памяти, вызывая свопинги (подкачки), или, что менее очевидно, может приводить к большему числу кэш-промахов, чем параллельная версия, где обычно каждая параллельная часть кода выполняется с использованием много меньшего набра данных.
Другая причина повышенного ускорения иллюстрируется примером. Пусть нам нужно выполнить логическую операцию A1 v A2, где как A1 так и А2 имеют значение «Истина» с вероятностью 50%, причем среднее время вычисления Ai, обозначенное как T(Ai), существенно различается в зависимости от того, является ли результат истинным или ложным.
Пусть
Теперь получаем четыре равновероятных случая (Т — «истина», F — «ложь»):
Таким образом, параллельные вычисления на двух процессорах ведут к среднему ускорению:
















